Willaertia Lysate: A Hydrobiome-Biosourced Ingredient with Multi-Site Antioxidative and Antiaging Properties
Abstract
1. Introduction
2. Materials and Methods
2.1. Expression of Genes of Interest
2.2. Antioxidant Activity
- Amoeba Extracts
 
- DPPH Assay
 
2.3. Dermal Fibroblast and Keratinocyte Cell Migration Measure
- Cell culture
 
- In vitro scratch test
 
- Image acquisition
 
- Statistical analysis
 
2.4. Murine Melanoma Cell Pigmentation Assays
- Cell culture
 
- Tyrosinase enzyme activity and pigmentation assays
 
- Statistical analysis
 
2.5. Aging Studies on Reconstructed Skins
- Ethical considerations and human cutaneous cell isolation
 
- Three-dimensional reconstructed aged skin for intrinsic aging study
 
- Three-dimensional reconstructed young skin for extrinsic aging study
 
- Histological analysis
 
- Immuno-histological analysis
 
- Ki67, loricrin, and filaggrin for epidermis;
 - Collagen-7 for the dermal–epidermal junction (DEJ);
 - Hyaluronic acid for dermis.
 - Malonyl dialdehyde (MDA) and carbonylation for antioxidative stress
 
- Image acquisition and analysis
 
3. Results
3.1. Preliminary Test to Evaluate the Potential Activity of Willaertia Lysate
3.2. Wound Healing Assay
3.3. Pigmentation Assay
3.3.1. Tyrosinase Activity
3.3.2. Melanin Synthesis
3.4. Intrinsic Aging Study
3.4.1. Histological Analysis of 3D Young vs. 3D Aged Untreated and Treated Skin Models
3.4.2. Immuno-Histological Analysis of Specific Markers in 3D Young Untreated vs. 3D Aged Untreated and Treated Skin Models
3.5. Extrinsic Aging Study
3.5.1. Histological Analysis of 3D Unirradiated Untreated Young Skin vs. 3D Irradiated Untreated and Irradiated Treated Young Skins
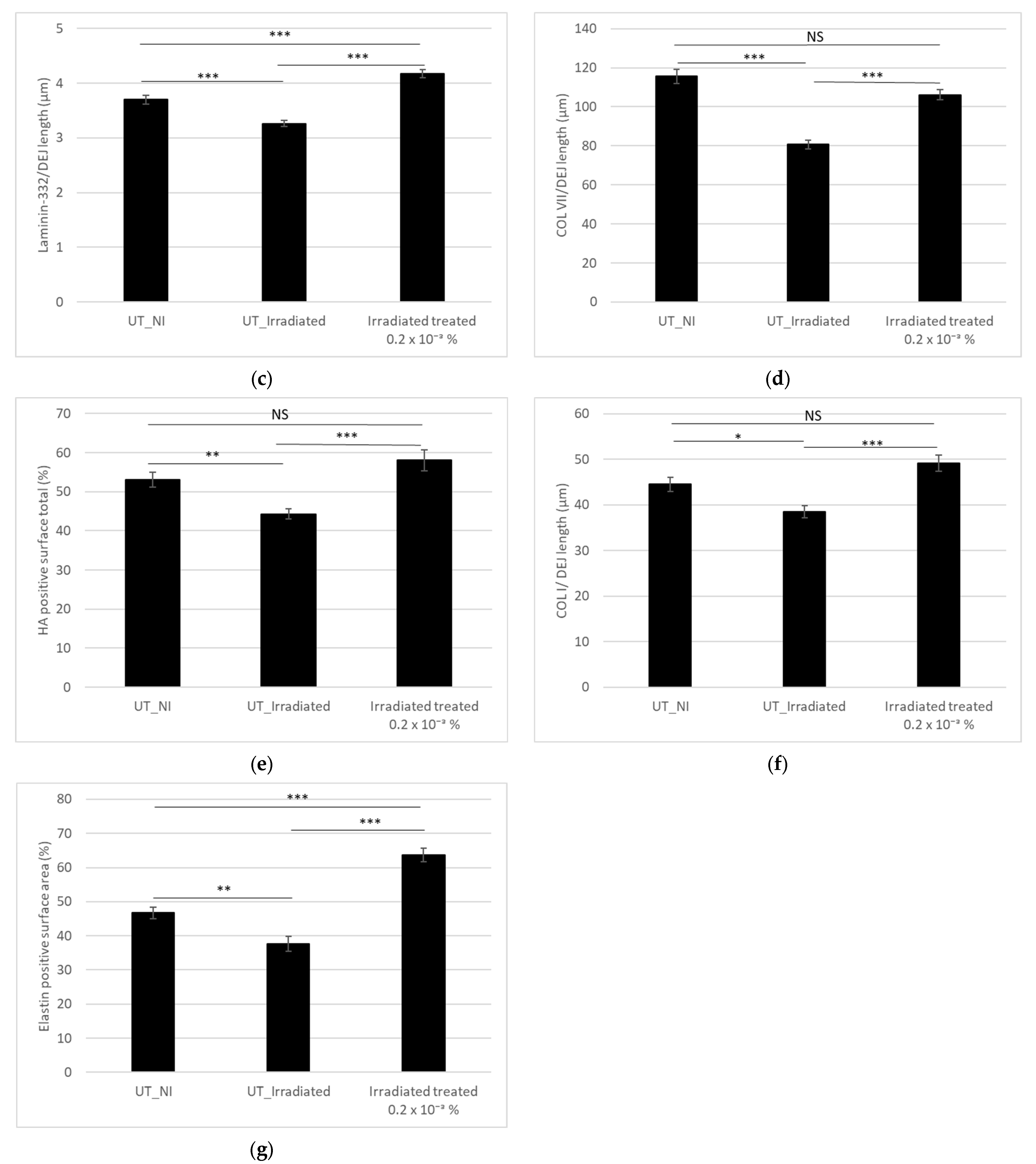
3.5.2. Immuno-Histological Analysis of Specific Markers in 3D Unirradiated Untreated Young Skin vs. 3D Irradiated Untreated and Irradiated Treated Young Skins
4. Discussion
5. Conclusions
Author Contributions
Funding
Institutional Review Board Statement
Informed Consent Statement
Data Availability Statement
Acknowledgments
Conflicts of Interest
References
- Gilchrest, B.A. Skin and Aging Processes; CRC Press: Boca Raton, FL, USA, 1984; ISBN 978-0-8493-5472-4. [Google Scholar]
 - Kligman, A.M. Early Destructive Effect of Sunlight on Human Skin. JAMA 1969, 210, 2377–2380. [Google Scholar] [CrossRef] [PubMed]
 - Martin, K.I.; Glaser, D.A. Cosmeceuticals: The New Medicine of Beauty. Mo. Med. 2011, 108, 60–63. [Google Scholar] [PubMed]
 - Dhaliwal, S.; Rybak, I.; Ellis, S.R.; Notay, M.; Trivedi, M.; Burney, W.; Vaughn, A.R.; Nguyen, M.; Reiter, P.; Bosanac, S.; et al. Prospective, Randomized, Double-Blind Assessment of Topical Bakuchiol and Retinol for Facial Photoageing. Br. J. Dermatol. 2019, 180, 289–296. [Google Scholar] [CrossRef] [PubMed]
 - Fathalla, Z.; Shoman, M.E.; Barakat, H.S.; Al Fatease, A.; Alamri, A.H.; Abdelkader, H. Cyclodextrins and Amino Acids Enhance Solubility and Tolerability of Retinoic Acid/Tretinoin: Molecular Docking, Physicochemical, Cytotoxicity, Scratch Assay, and Topical Gel Formulations Investigation. Pharmaceutics 2024, 16, 853. [Google Scholar] [CrossRef]
 - Chaudhuri, R.K.; Bojanowski, K. Bakuchiol: A Retinol-like Functional Compound Revealed by Gene Expression Profiling and Clinically Proven to Have Anti-Aging Effects. Int. J. Cosmet. Sci. 2014, 36, 221–230. [Google Scholar] [CrossRef]
 - Malinauskiene, L.; Linauskiene, K.; Černiauskas, K.; Chomičiene, A. Bakuchiol-A New Allergen in Cosmetics. Contact Dermat. 2019, 80, 398–399. [Google Scholar] [CrossRef]
 - Gibielle, C.; Bousseksou, L.; Guéhenneux, S.; Vié, K. In a Preliminary Study on Human Subjects, a Cosmetic Cream Containing a Harungana Madagascariensis Plant Extract Induces Similar Anti-Aging Effects to a Retinol-Containing Cream. Clin. Cosmet. Investig. Dermatol. 2023, 16, 1051–1058. [Google Scholar] [CrossRef]
 - Gupta, P.L.; Rajput, M.; Oza, T.; Trivedi, U.; Sanghvi, G. Eminence of Microbial Products in Cosmetic Industry. Nat. Prod. Bioprospect. 2019, 9, 267–278. [Google Scholar] [CrossRef]
 - Janjetovic, Z.; Slominski, A.T. Promising Functions of Novel Vitamin D Derivatives as Cosmetics: A New Fountain of Youth in Skin Aging and Skin Protection. Cosmetics 2024, 11, 37. [Google Scholar] [CrossRef]
 - Luangpraditkun, K.; Pimjuk, P.; Phimnuan, P.; Wisanwattana, W.; Wisespongpand, C.; Waranuch, N.; Viyoch, J. Anti-Aging Properties of Cannabis Sativa Leaf Extract against UVA Irradiation. Cosmetics 2024, 11, 45. [Google Scholar] [CrossRef]
 - Gavrilescu, M.; Chisti, Y. Biotechnology—A Sustainable Alternative for Chemical Industry. Biotechnol. Adv. 2005, 23, 471–499. [Google Scholar] [CrossRef] [PubMed]
 - Murray, P.M.; Moane, S.; Collins, C.; Beletskaya, T.; Thomas, O.P.; Duarte, A.W.F.; Nobre, F.S.; Owoyemi, I.O.; Pagnocca, F.C.; Sette, L.D.; et al. Sustainable Production of Biologically Active Molecules of Marine Based Origin. New Biotechnol. 2013, 30, 839–850. [Google Scholar] [CrossRef] [PubMed]
 - Pérez-Rivero, C.; López-Gómez, J.P. Unlocking the Potential of Fermentation in Cosmetics: A Review. Fermentation 2023, 9, 463. [Google Scholar] [CrossRef]
 - Kim, J.; Lee, Y.I.; Mun, S.; Jeong, J.; Lee, D.-G.; Kim, M.; Jo, H.; Lee, S.; Han, K.; Lee, J.H. Efficacy and Safety of Epidermidibacterium Keratini EPI-7 Derived Postbiotics in Skin Aging: A Prospective Clinical Study. Int. J. Mol. Sci. 2023, 24, 4634. [Google Scholar] [CrossRef]
 - Duarte, M.; Oliveira, A.L.; Oliveira, C.; Pintado, M.; Amaro, A.; Madureira, A.R. Current Postbiotics in the Cosmetic Market—An Update and Development Opportunities. Appl. Microbiol. Biotechnol. 2022, 106, 5879–5891. [Google Scholar] [CrossRef]
 - Dey, R.; Mameri, M.R.; Trajkovic-Bodennec, S.; Bodennec, J.; Pernin, P. Impact of Inter-Amoebic Phagocytosis on the L. Pneumophila Growth. FEMS Microbiol. Lett. 2020, 367, fnaa147. [Google Scholar] [CrossRef]
 - Hasni, I.; Chelkha, N.; Baptiste, E.; Mameri, M.R.; Lachuer, J.; Plasson, F.; Colson, P.; La Scola, B. Investigation of Potential Pathogenicity of Willaertia Magna by Investigating the Transfer of Bacteria Pathogenicity Genes into Its Genome. Sci. Rep. 2019, 9, 18318. [Google Scholar] [CrossRef]
 - De Jonckheere, J.F.; Dive, D.G.; Pussard, M.; Vickerman, K. Willaertia Magna Gen. Nov., Sp. Nov.(Vahlkampfiidae), a Thermophilic Amoeba Found in Different Habitats. Protistologica 1984, 20, 5–13. [Google Scholar]
 - Robinson, B.S.; Christy, P.E.; De Jonckheere, J.F. A Temporary Flagellate (Mastigote) Stage in the Vahlkampfiid Amoeba Willaertia Magna and Its Possible Evolutionary Significance. Biosystems 1989, 23, 75–86. [Google Scholar] [CrossRef]
 - Fuentes-Herrera, P.B.; Herrera-Cabrera, B.E.; Martínez-Ayala, A.L.; Zamilpa, A.; Delgado-Alvarado, A. Content and Yield of L-DOPA and Bioactive Compounds of Broad Bean Plants: Antioxidant and Anti-Inflammatory Activity In Vitro. Plants 2023, 12, 3918. [Google Scholar] [CrossRef]
 - Rahman, M.M.; Islam, M.B.; Biswas, M.; Khurshid Alam, A.H.M. In Vitro Antioxidant and Free Radical Scavenging Activity of Different Parts of Tabebuia Pallida Growing in Bangladesh. BMC Res. Notes 2015, 8, 621. [Google Scholar] [CrossRef] [PubMed]
 - Brand-Williams, W.; Cuvelier, M.E.; Berset, C. Use of a Free Radical Method to Evaluate Antioxidant Activity. LWT-Food Sci. Technol. 1995, 28, 25–30. [Google Scholar] [CrossRef]
 - Germain, L.; Rouabhia, M.; Guignard, R.; Carrier, L.; Bouvard, V.; Auger, F.A. Improvement of Human Keratinocyte Isolation and Culture Using Thermolysin. Burns 1993, 19, 99–104. [Google Scholar] [CrossRef]
 - Dos Santos, M.; Metral, E.; Boher, A.; Rousselle, P.; Thepot, A.; Damour, O. In Vitro 3-D Model Based on Extending Time of Culture for Studying Chronological Epidermis Aging. Matrix Biol. 2015, 47, 85–97. [Google Scholar] [CrossRef]
 - de Oliviera Nascimento, L.; Massari, P.; Wetzler, L. The Role of TLR2 in Infection and Immunity. Front. Immunol. 2012, 3, 79. [Google Scholar] [CrossRef]
 - Khanmohammadi, S.; Rezaei, N. Role of Toll-like Receptors in the Pathogenesis of COVID-19. J. Med. Virol. 2021, 93, 2735–2739. [Google Scholar] [CrossRef]
 - Takeda, K.; Akira, S. TLR Signaling Pathways. Semin. Immunol. 2004, 16, 3–9. [Google Scholar] [CrossRef]
 - Koshak, A.E.; Algandaby, M.M.; Mujallid, M.I.; Abdel-Naim, A.B.; Alhakamy, N.A.; Fahmy, U.A.; Alfarsi, A.; Badr-Eldin, S.M.; Neamatallah, T.; Nasrullah, M.Z.; et al. Wound Healing Activity of Opuntia Ficus-Indica Fixed Oil Formulated in a Self-Nanoemulsifying Formulation. Int. J. Nanomed. 2021, 16, 3889–3905. [Google Scholar] [CrossRef]
 - Shive, C.; Pandiyan, P. Inflammation, Immune Senescence, and Dysregulated Immune Regulation in the Elderly. Front. Aging 2022, 3, 840827. [Google Scholar] [CrossRef]
 - Abbasi, S.; Sinha, S.; Labit, E.; Rosin, N.L.; Yoon, G.; Rahmani, W.; Jaffer, A.; Sharma, N.; Hagner, A.; Shah, P.; et al. Distinct Regulatory Programs Control the Latent Regenerative Potential of Dermal Fibroblasts during Wound Healing. Cell Stem Cell 2020, 27, 396–412.e6. [Google Scholar] [CrossRef]
 - Johnson, K.; Zhu, S.; Tremblay, M.S.; Payette, J.N.; Wang, J.; Bouchez, L.C.; Meeusen, S.; Althage, A.; Cho, C.Y.; Wu, X.; et al. A Stem Cell-Based Approach to Cartilage Repair. Science 2012, 336, 717–721. [Google Scholar] [CrossRef] [PubMed]
 - Umansky, K.B.; Gruenbaum-Cohen, Y.; Tsoory, M.; Feldmesser, E.; Goldenberg, D.; Brenner, O.; Groner, Y. Runx1 Transcription Factor Is Required for Myoblasts Proliferation during Muscle Regeneration. PLoS Genet. 2015, 11, e1005457. [Google Scholar] [CrossRef] [PubMed]
 - Xue, H.; Zha, M.; Tang, Y.; Zhao, J.; Du, X.; Wang, Y. Research Progress on the Extraction and Purification of Anthocyanins and Their Interactions with Proteins. Molecules 2024, 29, 2815. [Google Scholar] [CrossRef] [PubMed]
 - Zeng, A.; Li, H.; Guo, L.; Gao, X.; McKinney, S.; Wang, Y.; Yu, Z.; Park, J.; Semerad, C.; Ross, E.; et al. Prospectively Isolated Tetraspanin+ Neoblasts Are Adult Pluripotent Stem Cells Underlying Planaria Regeneration. Cell 2018, 173, 1593–1608.e20. [Google Scholar] [CrossRef]
 - Busjahn, A.; Aydin, A.; Uhlmann, R.; Krasko, C.; Bähring, S.; Szelestei, T.; Feng, Y.; Dahm, S.; Sharma, A.M.; Luft, F.C.; et al. Serum- and Glucocorticoid-Regulated Kinase (SGK1) Gene and Blood Pressure. Hypertension 2002, 40, 256–260. [Google Scholar] [CrossRef]
 - Jiang, D.; Fu, C.; Xiao, J.; Zhang, Z.; Zou, J.; Ye, Z.; Zhang, X. SGK1 Attenuates Oxidative Stress-Induced Renal Tubular Epithelial Cell Injury by Regulating Mitochondrial Function. Oxid. Med. Cell. Longev. 2019, 2019, 2013594. [Google Scholar] [CrossRef]
 - Mason, J.A.; Cockfield, J.A.; Pape, D.J.; Meissner, H.; Sokolowski, M.T.; White, T.C.; Valentín López, J.C.; Liu, J.; Liu, X.; Martínez-Reyes, I.; et al. SGK1 Signaling Promotes Glucose Metabolism and Survival in Extracellular Matrix Detached Cells. Cell Rep. 2021, 34, 108821. [Google Scholar] [CrossRef]
 - Daitoku, H.; Kaneko, Y.; Yoshimochi, K.; Matsumoto, K.; Araoi, S.; Sakamaki, J.; Takahashi, Y.; Fukamizu, A. Nontranscriptional Function of FOXO1/DAF-16 Contributes to Translesion DNA Synthesis. Mol. Cell. Biol. 2016, 36, 2755–2766. [Google Scholar] [CrossRef]
 - Dang, R.; Yang, M.; Cui, C.; Wang, C.; Zhang, W.; Geng, C.; Han, W.; Jiang, P. Activation of Angiotensin-Converting Enzyme 2/Angiotensin (1-7)/Mas Receptor Axis Triggers Autophagy and Suppresses Microglia Proinflammatory Polarization via Forkhead Box Class O1 Signaling. Aging Cell 2021, 20, e13480. [Google Scholar] [CrossRef]
 - Graves, D.T.; Milovanova, T.N. Mucosal Immunity and the FOXO1 Transcription Factors. Front. Immunol. 2019, 10, 2530. [Google Scholar] [CrossRef]
 - Link, W. Introduction to FOXO Biology. In FOXO Transcription Factors. Methods in Molecular Biology; Humana: New York, NY, USA, 2019; Volume 1890, pp. 1–9. [Google Scholar] [CrossRef]
 - Korsmeyer, S.J. BCL-2 Gene Family and the Regulation of Programmed Cell Death. Cancer Res. 1999, 59, 1693s–1700s. [Google Scholar] [CrossRef] [PubMed]
 - Ruvolo, P.P.; Deng, X.; May, W.S. Phosphorylation of Bcl2 and Regulation of Apoptosis. Leukemia 2001, 15, 515–522. [Google Scholar] [CrossRef] [PubMed]
 - Siddiqui, W.A.; Ahad, A.; Ahsan, H. The Mystery of BCL2 Family: Bcl-2 Proteins and Apoptosis: An Update. Arch. Toxicol. 2015, 89, 289–317. [Google Scholar] [CrossRef] [PubMed]
 - He, Z.; Mei, L.; Connell, M.; Maxwell, C.A. Hyaluronan Mediated Motility Receptor (HMMR) Encodes an Evolutionarily Conserved Homeostasis, Mitosis, and Meiosis Regulator Rather than a Hyaluronan Receptor. Cells 2020, 9, 819. [Google Scholar] [CrossRef]
 - Wang, S.; Xiong, Y.; Chen, J.; Ghanem, A.; Wang, Y.; Yang, J.; Sun, B. Three Dimensional Printing Bilayer Membrane Scaffold Promotes Wound Healing. Front. Bioeng. Biotechnol. 2019, 7, 348. [Google Scholar] [CrossRef]
 - Liu, L.; Liu, Y.; Li, J.; Du, G.; Chen, J. Microbial Production of Hyaluronic Acid: Current State, Challenges, and Perspectives. Microb. Cell Factories 2011, 10, 99. [Google Scholar] [CrossRef]
 - Siiskonen, H.; Oikari, S.; Pasonen-Seppänen, S.; Rilla, K. Hyaluronan Synthase 1: A Mysterious Enzyme with Unexpected Functions. Front. Immunol. 2015, 6, 43. [Google Scholar] [CrossRef]
 - Skandalis, S.S.; Karalis, T.; Heldin, P. Intracellular Hyaluronan: Importance for Cellular Functions. Semin. Cancer Biol. 2020, 62, 20–30. [Google Scholar] [CrossRef]
 - Claus, S.; Fischer, J.; Mégarbané, H.; Mégarbané, A.; Jobard, F.; Debret, R.; Peyrol, S.; Saker, S.; Devillers, M.; Sommer, P.; et al. A p.C217R Mutation in Fibulin-5 from Cutis Laxa Patients Is Associated with Incomplete Extracellular Matrix Formation in a Skin Equivalent Model. J. Investig. Dermatol. 2008, 128, 1442–1450. [Google Scholar] [CrossRef]
 - Halper, J.; Kjaer, M. Basic Components of Connective Tissues and Extracellular Matrix: Elastin, Fibrillin, Fibulins, Fibrinogen, Fibronectin, Laminin, Tenascins and Thrombospondins. Adv. Exp. Med. Biol. 2014, 802, 31–47. [Google Scholar] [CrossRef]
 - Papke, C.L.; Yanagisawa, H. Fibulin-4 and Fibulin-5 in Elastogenesis and beyond: Insights from Mouse and Human Studies. Matrix Biol. 2014, 37, 142–149. [Google Scholar] [CrossRef] [PubMed]
 - Athikomkulchai, S.; Tunit, P.; Tadtong, S.; Jantrawut, P.; Sommano, S.R.; Chittasupho, C. Moringa Oleifera Seed Oil Formulation Physical Stability and Chemical Constituents for Enhancing Skin Hydration and Antioxidant Activity. Cosmetics 2021, 8, 2. [Google Scholar] [CrossRef]
 - Figueiredo, A.C.; Rodrigues, M.; Mourelle, M.L.; Araujo, A.R.T.S. Thermal Spring Waters as an Active Ingredient in Cosmetic Formulations. Cosmetics 2023, 10, 27. [Google Scholar] [CrossRef]
 - Merial-Kieny, C.; Castex-Rizzi, N.; Selas, B.; Mery, S.; Guerrero, D. Avène Thermal Spring Water: An Active Component with Specific Properties. J. Eur. Acad. Dermatol. Venereol. 2011, 25, 2–5. [Google Scholar] [CrossRef] [PubMed]
 - Station Thermale d’Aix Les Bains—Thermes Chevalley|ValVital. Available online: https://www.valvital.fr/Nos-stations-thermales/Aix-les-Bains-Station-thermale-d-Aix-les-Bains (accessed on 19 August 2024).
 - Cure Thermale Rhumatologie & Voies Respiratoires à Aix-les-Bains. Available online: https://www.thermes-aixlesbains.com/ (accessed on 19 August 2024).
 - Mourelle, M.L.; Gómez, C.P.; Legido, J.L. Hydrobiome of Thermal Waters: Potential Use in Dermocosmetics. Cosmetics 2023, 10, 94. [Google Scholar] [CrossRef]
 - Li, W.-H.; Wong, H.-K.; Serrano, J.; Randhawa, M.; Kaur, S.; Southall, M.D.; Parsa, R. Topical Stabilized Retinol Treatment Induces the Expression of HAS Genes and HA Production in Human Skin in Vitro and in Vivo. Arch. Dermatol. Res. 2017, 309, 275–283. [Google Scholar] [CrossRef]
 













| Gene Name | Function | References | 
|---|---|---|
| TLR2 | Immunity | [26,27,28] | 
| TGF-beta | Cellular multiplication, anti-inflammation | [29,30] | 
| RunX1 | Cell regeneration regulation, cellular multiplication, cell cohesion, and differentiation | [31,32,33] | 
| PiwiL1 | Cell renewal | [34,35] | 
| SGK1 | Blood pressure regulation, UV protection, oxidative stress, cell survival | [36,37,38] | 
| FOXO1 | Stress resistance, antioxidation | [39,40,41,42] | 
| BCL2 | Regulation of apoptosis | [43,44,45] | 
| HMMR | Hyaluronic acid receptor, neoplastic process | [46] | 
| COL1A1 | Collagen synthesis | [47] | 
| HAS | Hyaluronic acid synthesis | [48,49,50] | 
| FBL5 | Wound healing | [51,52,53] | 
Disclaimer/Publisher’s Note: The statements, opinions and data contained in all publications are solely those of the individual author(s) and contributor(s) and not of MDPI and/or the editor(s). MDPI and/or the editor(s) disclaim responsibility for any injury to people or property resulting from any ideas, methods, instructions or products referred to in the content.  | 
© 2024 by the authors. Licensee MDPI, Basel, Switzerland. This article is an open access article distributed under the terms and conditions of the Creative Commons Attribution (CC BY) license (https://creativecommons.org/licenses/by/4.0/).
Share and Cite
Dos Santos, M.; Rorteau, J.; Laho, K.; Osman-Ponchet, H.; Barthe, M.; Quelard, B.; Carlino, A.; Saha, A.; Troussieux, S. Willaertia Lysate: A Hydrobiome-Biosourced Ingredient with Multi-Site Antioxidative and Antiaging Properties. Cosmetics 2024, 11, 200. https://doi.org/10.3390/cosmetics11060200
Dos Santos M, Rorteau J, Laho K, Osman-Ponchet H, Barthe M, Quelard B, Carlino A, Saha A, Troussieux S. Willaertia Lysate: A Hydrobiome-Biosourced Ingredient with Multi-Site Antioxidative and Antiaging Properties. Cosmetics. 2024; 11(6):200. https://doi.org/10.3390/cosmetics11060200
Chicago/Turabian StyleDos Santos, Morgan, Julie Rorteau, Kilian Laho, Hanan Osman-Ponchet, Manon Barthe, Benjamin Quelard, Antoine Carlino, Adeline Saha, and Sandrine Troussieux. 2024. "Willaertia Lysate: A Hydrobiome-Biosourced Ingredient with Multi-Site Antioxidative and Antiaging Properties" Cosmetics 11, no. 6: 200. https://doi.org/10.3390/cosmetics11060200
APA StyleDos Santos, M., Rorteau, J., Laho, K., Osman-Ponchet, H., Barthe, M., Quelard, B., Carlino, A., Saha, A., & Troussieux, S. (2024). Willaertia Lysate: A Hydrobiome-Biosourced Ingredient with Multi-Site Antioxidative and Antiaging Properties. Cosmetics, 11(6), 200. https://doi.org/10.3390/cosmetics11060200
        
