Pharmacokinetics and Metabolomic Mechanism of the Diuretic Effects of Barbatic Acid from Pyrrosia petiolosa (Christ) Ching
Simple Summary
Abstract
1. Introduction
2. Materials and Methods
2.1. Chemicals and Reagents
2.2. Animal Experiments
2.3. Metabonomics Research
2.3.1. Sample Pretreatment
2.3.2. LC-MS/MS Conditions
2.3.3. Untargeted Metabolite Identification
2.4. Pharmacokinetic Study
2.4.1. Sample Preparation
2.4.2. Instrument Conditions
2.4.3. Methodology Investigation
2.5. Statistical Analysis
2.5.1. Pharmacological Active Analysis
2.5.2. Metabonomics Analysis
2.5.3. Pharmacokinetic Analysis
3. Results
3.1. Pharmacodynamic Evaluation
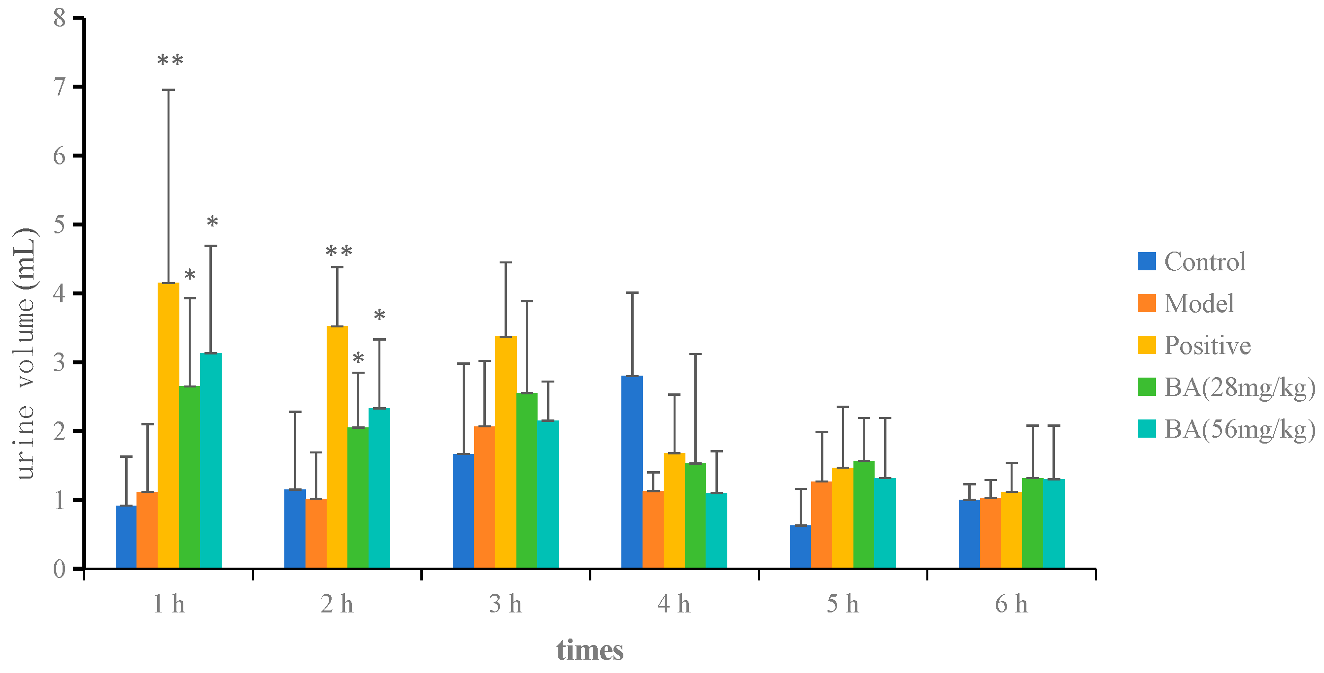
3.1.1. The Urine Volume Changes
3.1.2. Detection the Levels of Na+, K+ and Cl−
3.1.3. Results of Haematoxylin and Eosin
3.2. Metabonomics Results
3.2.1. Multivariate Statistical Analysis
3.2.2. Identification of Differential Metabolites
3.2.3. KEGG Functional Enrichment Analysis
3.3. Pharmacokinetic Results
4. Discussion
5. Conclusions
Supplementary Materials
Author Contributions
Funding
Institutional Review Board Statement
Informed Consent Statement
Data Availability Statement
Conflicts of Interest
References
- Chinese Pharmacopoeia Commission. Pharmacopoeia of the People’s Republic of China; China Medical Science Press: Beijing, China, 2020; Volume 1, p. 91. [Google Scholar]
- Chen, J.; Ning, S.; Lu, X.; Xiang, W.; Zhou, X.; Bu, Y.; Li, L.; Huang, R. Variation in flavonoid and antioxidant activities of Pyrrosia petiolosa (Christ) Ching from different geographic origins. Front. Plant Sci. 2023, 14, 1173489. [Google Scholar] [CrossRef]
- Xiao, W.; Peng, Y.; Tan, Z.; Lv, Q.; Chan, C.-O.; Yang, J.; Chen, S. Comparative Evaluation of Chemical Profiles of Pyrrosiae Folium Originating from Three Pyrrosia Species by HPLC-DAD Combined with Multivariate Statistical Analysis. Molecules 2017, 22, 2122. [Google Scholar] [CrossRef] [PubMed]
- Deng, J.H.; Wang, H.Y.; Wang, X.; Meng, Y.; Guo, T.T.; He, J.Q.; Chu, J.H.; Fan, S.X.; Shu, P.H.; Zhang, P.P. Progress of chemical composition and biological activity of Stemmed Shivet. Chin. J. Tradit. Chin. Med. 2024, 3, 136–142. Available online: https://qikan.cqvip.com/Qikan/Article/Detail?id=7200455303 (accessed on 19 March 2026).
- Lang, T.Q.; Zhang, Y.; Chen, F.; Luo, G.Y.; Yang, W.D. Characterization of chemical components with diuretic potential from Pyrrosia petiolosa. J. Asian Nat. Prod. Res. 2021, 23, 764–771. [Google Scholar] [CrossRef] [PubMed]
- He, H.; Wei, Q.; Chang, J.; Yi, X.; Yu, X.; Luo, G.; Li, X.; Yang, W.; Long, Y. Exploring the hypoglycemic mechanism of chlorogenic acids from Pyrrosia petiolosa (Christ) Ching on type 2 diabetes mellitus based on network pharmacology and transcriptomics strategy. J. Ethnopharmacol. 2024, 322, 117580. [Google Scholar] [CrossRef] [PubMed]
- Wang, Y.R.; Yang, W.D. Preliminary Study on Diuresis of Pyrrosia petiolosa from Guizhou Province Extracts in Rats. Lishizhen Med. Meteria Medica Res. 2017, 28, 2583–2585. [Google Scholar]
- Chen, F.; Luo, G.Y.; Yang, W.D. Chemical Constituents from Promoting Diuresis and Relieving Stranguria Effective Part of Pyrrosia petiolosa in Guizhou. J. Chin. Med. Mater. 2019, 42, 2822–2826. [Google Scholar] [CrossRef]
- Sui, Y.; Teng Mg Luo, G.Y.; Chai, H.F.; Long, Y.; Yang, W.D. Screening of active components from Pyrrosia petiolosa based on inhibition of NaCl reabsorption. Chin. Tradit. Herb. Drugs 2021, 52, 1026–1030. [Google Scholar]
- Yu, X.; Sui, Y.; Xi, Y.; Zhang, Y.; Luo, G.; Long, Y.; Yang, W. Semisynthesis, Biological Evaluation and Molecular Docking Studies of Barbatic Acid Derivatives as Novel Diuretic Candidates. Molecules 2023, 28, 4010. [Google Scholar] [CrossRef]
- Xue, M.; Yang, C.; Huang, W.; He, Y.; Yang, C.; Xue, Y.; Zheng, Y.; Diao, X.; Wang, X. Pharmacokinetics and metabolite identification of 23-hydroxybetulinic acid in rats by using liquid chromatography-mass spectrometry method. J. Chromatogr. B 2024, 1234, 124016. [Google Scholar] [CrossRef]
- Silva, H.A.M.F.; Aires, A.L.; Soares, C.L.R.; Sá, J.L.F.; Martins, M.C.B.; Albuquerque, M.C.P.A.; Silva, T.G.; Brayner, F.A.; Alves, L.C.; Melo, A.M.M.A.; et al. Barbatic acid from Cladia aggregata (lichen): Cytotoxicity and in vitro schistosomicidal evaluation and ultrastructural analysis against adult worms of Schistosoma mansoni. Toxicol. In Vitro 2020, 65, 104771. [Google Scholar] [CrossRef]
- Wang, H.; Xuan, M.; Diao, J.; Xu, N.; Li, M.; Huang, C.; Wang, C. Metabolism and toxicity of usnic acid and barbatic acid based on microsomes, S9 fraction, and 3T3 fibroblasts in vitro combined with a UPLC-Q-TOF-MS method. Front. Pharmacol. 2023, 14, 1207928. [Google Scholar] [CrossRef]
- Yu, X.; Xi, Y.K.; Luo, G.Y.; Long, Y.; Yang, W.D. Synthesis of barbacic acid. J. Asian Nat. Prod. Res. 2022, 24, 1150–1156. [Google Scholar] [CrossRef]
- Cao, C.; Li, L.M.; Zi, M.J.; Fu, J.; Ren, J.; Li, L.; Liu, J. Methods for determining animal sample sizes in medical experimental studies. Chin. J. Comp. Med. 2023, 33, 99–105. [Google Scholar] [CrossRef]
- Reynolds, P.S. A Guide to Sample Size for Animal-Based Studies; Wiley-Blackwell: Hoboken, NJ, USA, 2024. [Google Scholar]
- National Institutes of Health. New Policy on Rigor and Reproducibility: Essential 10 Requirements for Animal Studies [EB/OL]. Available online: https://www.nih.gov/sites/default/files/2025-08/2025-gss.pdf (accessed on 1 January 2025).
- Masereeuw, R.; Moons, W.M.; Russel, F.G. Saturable accumulation and diuretic activity of hydrochlorothiazide in the isolated perfused rat kidney. Pharmacology 1997, 54, 33–42. [Google Scholar] [CrossRef]
- Pezzatti, J.; Boccard, J.; Codesido, S.; Gagnebin, Y.; Joshi, A.; Guillarme, D.; Schappler, J.; Picard, D.; Boccard, J.; Rudaz, S. A scoring approach for multi-platform acquisition in metabolomics. J. Chromatogr. A 2019, 1592, 47–54. [Google Scholar] [CrossRef] [PubMed]
- Yamamoto, F.Y.; Pereira-Filho, E.R.; Tauler, R. Linking MS1 and MS2 signals in positive and negative modes of LC-HRMS in untargeted metabolomics using the ROIMCR approach. Anal. Bioanal. Chem. 2023, 415, 6213–6225. [Google Scholar] [CrossRef]
- Kluger, B.; Bueschl, C.; Neumann, N.; Stückler, R.; Doppler, M.; Chassy, A.W.; Waterhouse, A.L.; Rechthaler, J.; Kampleitner, N.; Thallinger, G.G.; et al. Untargeted profiling of tracer-derived metabolites using stable isotopic labeling and fast polarity-switching LC-ESI-HRMS. Anal. Chem. 2014, 86, 11533–11537. [Google Scholar] [CrossRef] [PubMed]
- Skogvold, H.B.; Sand, E.S.; Elgstøen, K.B. Global Metabolomics Using LC-MS for Clinical Applications. Methods Mol. Biol. 2025, 2855, 23–39. [Google Scholar] [CrossRef] [PubMed]
- Diehl, K.H.; Hull, R.; Morton, D.; Pfister, R.; Rabemampianina, Y.; Smith, D.; Vidal, J.; Van De Vorstenbosch, C. A good practice guide to the administration of substances and removal of blood, including routes and volumes. J. Appl. Toxicol. 2001, 21, 15–23. [Google Scholar] [CrossRef]
- Turner, P.V.; Brabb, T.; Pekow, C.; Vasbinder, M.A. Administration of substances to laboratory animals: Routes of administration and factors to consider. J. Am. Assoc. Lab. Anim. Sci. 2011, 50, 600–613. [Google Scholar]
- Lardy, H.; Henwood, S.M.; Weeks, C.E. An acute oral gavage study of 3beta-acetoxyandrost-5-ene-7,17-dione (7-oxo-DHEA-acetate) in rats. Biochem. Biophys. Res. Commun. 1999, 254, 120–123. [Google Scholar] [CrossRef]
- Sellers, R.S.; Antman, M.; Phillips, J.; Khan, K.N.; Furst, S.M. Effects of miglyol 812 on rats after 4 weeks of gavage as compared with methylcellulose/tween 80. Drug Chem. Toxicol. 2005, 28, 423–432. [Google Scholar] [CrossRef] [PubMed]
- Hu, M.F. Study on repeated-dose toxicity of Qubai Babuqi Tablets in rats by gavage. J. Pharm. Res. 2018, 37, 146–148+177. [Google Scholar] [CrossRef]
- Zhu, M.; Gao, Y.; Wu, Z.; Zhao, Y. A rapid HPLC/ESI-MS/MS method for quantitative analysis of isovalerylshikonin in rat plasma using emodin as internal standard. Biomed. Chromatogr. 2010, 24, 413–419. [Google Scholar] [CrossRef]
- Ji, L.; Wang, P.; Wan, Q.; Wang, G.; Liu, W.; Liu, D. A Sensitive Ultraperformance Liquid Chromatography–Tandem Mass Spectrometric Method for Determination of Secalonic Acid F in Rat Plasma and Its Application to Pharmacokinetic Study. J. Chromatogr. Sci. 2024, 62, 281–286. [Google Scholar] [CrossRef] [PubMed]
- Xu, Y.; Huang, K.; Pan, Y.; Wang, X.; Yan, P.; Ren, Y.; Xiang, Z. A rapid UFLC-MS/MS method for simultaneous determination of formononetin, cryptotanshinone, tanshinone IIA and emodin in rat plasma and its application to a pharmacokinetic study of Bu Shen Huo Xue formula. J. Chromatogr. B 2013, 932, 92–99. [Google Scholar] [CrossRef]
- Wang, J.; Du, Y.; Jiang, L.; Li, J.; Yu, B.; Ren, C.; Yan, T.; Jia, Y.; He, B. LC-MS/MS-based chemical profiling of water extracts of Moringa oleifera leaves and pharmacokinetics of their major constituents in rat plasma. Food Chem. X 2024, 23, 101585. [Google Scholar] [CrossRef]
- Kehrenberg, M.C.A.; Bachmann, H.S. Diuretics: A contemporary pharmacological classification? Naunyn-Schmiedeberg’s Arch. Pharmacol. 2022, 395, 619–627. [Google Scholar] [CrossRef] [PubMed]
- Huxel, C.; Raja, A.; Ollivierre-Lawrence, M.D. Loop Diuretics. In StatPearls [Internet]; Updated 22 May 2023; StatPearls Publishing: Treasure Island, FL, USA, 2025. Available online: https://www.ncbi.nlm.nih.gov/books/NBK546656/ (accessed on 19 March 2026).
- LiverTox: Clinical and Research Information on Drug-Induced Liver Injury [Internet]; Loop Diuretics; Updated 13 October 2021; National Institute of Diabetes and Digestive and Kidney Diseases: Bethesda, MD, USA, 2012. Available online: https://www.ncbi.nlm.nih.gov/books/NBK548619/ (accessed on 19 March 2026).
- Ernst, M.E.; Fravel, M.A. Thiazide and the Thiazide-Like Diuretics: Review of Hydrochlorothiazide, Chlorthalidone, and Indapamide. Am. J. Hypertens. 2022, 35, 573–586. [Google Scholar] [CrossRef]
- Martins, V.M.; Ziegelmann, P.K.; Ferrari, F.; Bottino, L.G.; Lucca, M.B.; Corrêa, H.L.R.; Blum, G.B.; Helal, L.; Fuchs, S.C.; Fuchs, F.D. Thiazide diuretics alone or combined with potassium-sparing diuretics to treat hypertension: A systematic review and network meta-analysis of randomized controlled trials. J. Hypertens. 2023, 41, 1108–1116. [Google Scholar] [CrossRef]
- Di Fulvio, M.; Alvarez-Leefmans, F.J. Diuretics: A review of the pharmacology and effects on glucose homeostasis. Front. Pharmacol. 2025, 16, 1513125. [Google Scholar] [CrossRef] [PubMed]
- Zakrocka, I.; Targowska-Duda, K.M.; Kocki, T.; Turski, W.; Urbańska, E.M.; Załuska, W. Loop diuretics inhibit kynurenic acid production and kynurenine aminotransferases activity in rat kidneys. Pharmacol. Rep. 2024, 76, 1415–1428. [Google Scholar] [CrossRef]
- Ben Salem, C.; Slim, R.; Fathallah, N.; Hmouda, H. Drug-induced hyperuricaemia and gout. Rheumatology 2017, 56, 679–688. [Google Scholar] [CrossRef] [PubMed]
- Gozhenko, A.; Zukow, W.; Gozhenko, O.; Ivanov, D. The Extracellular Matrix of the Renal Medulla as a Dynamic Reservoir of Osmolytes. Pedagog. Psychol. Sport 2025, 27, 67029. [Google Scholar] [CrossRef]
- Knol, M.G.E.; Wulfmeyer, V.C.; Müller, R.U.; Rinschen, M.M. Amino acid metabolism in kidney health and disease. Nat. Rev. Nephrol. 2024, 20, 771–788. [Google Scholar] [CrossRef]
- Maiuolo, J.; Oppedisano, F.; Gratteri, S.; Muscoli, C.; Mollace, V. Regulation of uric acid metabolism and excretion. Int. J. Cardiol. 2016, 213, 8–14, Erratum in Int. J. Cardiol. 2023, 387, 131126. https://doi.org/10.1016/j.ijcard.2023.131126. [Google Scholar] [CrossRef]
- Goldberg, R.B.; Chait, A. A Comprehensive Update on the Chylomicronemia Syndrome. Front. Endocrinol. 2020, 11, 593931. [Google Scholar] [CrossRef] [PubMed]
- Hsieh, C.Y.; Tsai, P.W.; Tomioka, Y.; Matsumoto, Y.; Akiyama, Y.; Wang, C.C.; Tayo, L.L.; Lee, C.J. Chronopharmacology of diuresis via metabolic profiling and key biomarker discovery of the traditional Chinese prescription Ji-Ming-San using tandem mass spectrometry in rat models. Phytomedicine 2024, 124, 155260. [Google Scholar] [CrossRef]
- Kitada, K.; Daub, S.; Zhang, Y.; Klein, J.D.; Nakano, D.; Pedchenko, T.; Lantier, L.; LaRocque, L.M.; Marton, A.; Neubert, P.; et al. High salt intake reprioritizes osmolyte and energy metabolism for body fluid conservation. J. Clin. Investig. 2017, 127, 1944–1959. [Google Scholar] [CrossRef]
- Chen, F.; Zou, H.; Zhang, P.; Yan, Y. Investigation on the in vitro metabolism of bicyclol using liver microsomes, hepatocytes and human recombinant cytochrome P450 enzymes. Xenobiotica 2023, 53, 231–240. [Google Scholar] [CrossRef]
- Schroeter, T.; Prueksaritanont, T.; Zamek-Gliszczynski, M.J. Positioning Enzyme- and Transporter-Based Precipitant Drug-Drug Interaction Studies in Drug Design. J. Med. Chem. 2025, 68, 1021–1032. [Google Scholar] [CrossRef] [PubMed]
- Kharve, K.; Engley, A.S.; Paine, M.F.; Sprowl, J.A. Impact of Drug-Mediated Inhibition of Intestinal Transporters on Nutrient and Endogenous Substrate Disposition…an Afterthought? Pharmaceutics 2024, 16, 447. [Google Scholar] [CrossRef]
- Meng, J.; Chan, M.Y.; Peng, C.; Jiang, X.; Qian, F. Enhancing leuprolide penetration through enterocytes via the ER-Golgi pathway using lipophilic complexation. Eur. J. Pharm. Biopharm. 2025, 207, 114624. [Google Scholar] [CrossRef] [PubMed]
- Mandati, P.; Nyavanandi, D.; Narala, S.; Alzahrani, A.; Vemula, S.K.; Repka, M.A. A comparative assessment of Cocrystal and amorphous solid dispersion Printlets developed by hot melt extrusion paired fused deposition modeling for dissolution enhancement and stability of ibuprofen. AAPS PharmSciTech 2023, 24, 203. [Google Scholar] [CrossRef] [PubMed]
- Lehr, T.; Tillmann, C.; Staab, A.; Schaefer, H.G.; Kloft, C. Evaluation of an enterohepatic circulation model: Predicting the influence of cholestyramine on the pharmacokinetics of meloxicam. In Proceedings of the PAGE Meeting, Pamplona, Spain, 16–17 June 2005. Abstract 766. [Google Scholar]






| Number | Compounds | Formula | Rt/min | C-vs.-M | M-vs.-H | Mode |
|---|---|---|---|---|---|---|
| 1 | Isorhapontigenin | C15H14O4 | 5.155 | ↓ | ↓ | POS |
| 2 | Riboflavin | C17H20N4O6 | 5.265 | ↓ | ↓ | POS |
| 3 | Nicotinuric acid | C8H8N2O3 | 5.344 | ↓ | ↓ | POS |
| 4 | S-Adenosylmethionine | C15H22N6O5S | 2.038 | ↑ | ↓ | POS |
| 5 | N-Acetylhistamine | C7H11N3O | 1.327 | ↓ | ↓ | POS |
| 6 | Uric acid | C5H4N4O3 | 1.421 | ↑ | ↓ | NEG |
| 7 | cis-Aconitic acid | C6H6O6 | 1.37 | ↓ | ↑ | NEG |
| 8 | 2-Hydroxy-2-methylbutanedioic acid | C5H8O5 | 1.371 | ↓ | ↑ | NEG |
| 9 | 2-(acetyloxy)-3-amino-1-[1,2-di(acetyloxy)ethyl]-3-oxopropyl acetate | C13H19NO9 | 4.624 | ↓ | ↑ | POS |
| 10 | N-[1-(4-methoxy-2-oxo-2H-pyran-6-yl)-2-methylbutyl] acetamide | C13H19NO4 | 5.149 | ↓ | ↓ | POS |
| 11 | 7-(2-aminophenyl) heptanoic acid | C13H19NO2 | 1.327 | ↓ | ↑ | POS |
| 12 | FLK | C21H34N4O4 | 1.333 | ↓ | ↑ | POS |
| 13 | 3-oxoindane-1-carboxylic acid | C10H8O3 | 5.280 | ↑ | ↓ | POS |
| 14 | 3-methyl-5-oxo-5-(4-toluidino) pentanoic acid | C13H17NO3 | 1.285 | ↓ | ↑ | POS |
| Number | Compounds | Formula | Rt/min | C-vs.-M | M-vs.-H | Mode |
|---|---|---|---|---|---|---|
| 1 | 2-Hydroxyvaleric acid | C5H10O3 | 5.271 | ↑ | ↓ | NEG |
| 2 | Dodecanedioic acid | C12H22O4 | 6.335 | ↑ | ↓ | NEG |
| Pathway Name | Match Status | p | −log10(p) | FDR | Impact |
|---|---|---|---|---|---|
| Citrate cycle (TCA cycle) | 4/20 | 8.06 × 10−5 | 4.0936 | 0.00644 | 0.24395 |
| Nicotinate and nicotinamide metabolism | 2/15 | 0.014574 | 1.8364 | 0.29325 | 0.1943 |
| Riboflavin metabolism | 1/4 | 0.049881 | 1.3021 | 0.66508 | 0.5 |
| Arginine and proline metabolism | 2/36 | 0.074599 | 1.1273 | 0.74599 | 0.06628 |
| Caffeine metabolism | 1/10 | 0.12029 | 0.91976 | 0.96234 | 0 |
| Arginine biosynthesis | 1/14 | 0.16445 | 0.78397 | 1 | 0 |
| Butanoate metabolism | 1/15 | 0.17515 | 0.75658 | 1 | 0 |
| Purine metabolism | 2/70 | 0.22207 | 0.6535 | 1 | 0.01146 |
| beta-Alanine metabolism | 1/21 | 0.2367 | 0.6258 | 1 | 0 |
| Lipoic acid metabolism | 1/28 | 0.30299 | 0.51857 | 1 | 0 |
| Glutathione metabolism | 1/28 | 0.30299 | 0.51857 | 1 | 0.00719 |
| Glycine, serine and threonine metabolism | 1/33 | 0.34695 | 0.45973 | 1 | 0 |
| Glycerophospholipid metabolism | 1/36 | 0.37205 | 0.4294 | 1 | 0.02582 |
| Tryptophan metabolism | 1/41 | 0.41186 | 0.38525 | 1 | 0 |
| Primary bile acid biosynthesis | 1/46 | 0.44926 | 0.34751 | 1 | 0.00758 |
| Cysteine and methionine metabolism | 2/33 | 0.063949 | 1.1942 | 0.73508 | 0.15717 |
| Glyoxylate and dicarboxylate metabolism | 3/32 | 0.0068712 | 2.163 | 0.27485 | 0.05556 |
| Alanine, aspartate and glutamate metabolism | 2/28 | 0.047542 | 1.3229 | 0.66508 | 0.04808 |
| Tyrosine metabolism | 3/42 | 0.014663 | 1.8338 | 0.29325 | 0.10123 |
| Taurine and hypotaurine metabolism | 1/8 | 0.097392 | 1.0115 | 0.86571 | 0.42857 |
| Histidine metabolism | 1/16 | 0.18573 | 0.73112 | 1 | 0.12295 |
| Pathway Name | Match Status | p | −log10(p) | FDR | Impact |
|---|---|---|---|---|---|
| Primary bile acid biosynthesis | 3/46 | 0.0011794 | 2.9283 | 0.094353 | 0.01563 |
| Valine, leucine and isoleucine biosynthesis | 1/8 | 0.040007 | 1.3979 | 0.71853 | 0 |
| Phenylalanine metabolism | 1/8 | 0.040007 | 1.3979 | 0.71853 | 0.14286 |
| Taurine and hypotaurine metabolism | 1/8 | 0.040007 | 1.3979 | 0.71853 | 0.42857 |
| Glycine, serine and threonine metabolism | 1/33 | 0.15615 | 0.80646 | 1 | 0 |
| Tyrosine metabolism | 1/42 | 0.19484 | 0.71032 | 1 | 0.00077 |
| Steroid hormone biosynthesis | 1/87 | 0.36595 | 0.43658 | 1 | 0.02538 |
| Arginine and proline metabolism | 2/36 | 0.0048663 | 2.3128 | 0.38931 | 0.04535 |
| Biosynthesis of unsaturated fatty acids | 1/36 | 0.10931 | 0.96133 | 1 | 0 |
| Fatty acid degradation | 1/39 | 0.11797 | 0.92823 | 1 | 0 |
| Vitamin B6 metabolism | 1/9 | 0.044908 | 1.3477 | 0.71853 | 0.07843 |
| Parameters | 28 mg/kg | 56 mg/kg | 112 mg/kg |
|---|---|---|---|
| AUC0–t (μg·h·L−1) | 581.73 ± 7.54 (1.30%) | 2111.09 ± 14.70 (0.70%) | 4775.96 ± 92.62 (1.94%) |
| AUC0–∞ (μg·h·L−1) | 582.90 ± 7.60 (1.30%) | 2111.57 ± 14.05 (0.67%) | 4776.37 ± 93.09 (1.95%) |
| MRT (0–t) | 13.18 ± 0.53 (4.02%) | 15.95 ± 0.82 (5.14%) | 18.25 ± 0.39 (2.14%) |
| MRT (0–∞) | 13.35 ± 0.12 (0.90%) | 15.95 ± 0.61 (3.82%) | 18.26 ± 0.87 (4.76%) |
| t1/2 (h) | 5.88 ± 0.64 (10.88%) | 5.23 ± 2.33 (44.55%) | 2.61 ± 0.99 (37.93%) |
| Tmax (h) | 10.67 ± 1.15 (10.78%) | 11.33 ± 0.32 (2.82%) | 12 ± 0.01 (0.08%) |
| Vz/F (L/kg) | 0.27 ± 0.20 (74.07%) | 0.20 ± 0.09 (45.00%) | 0.088 ± 0.03 (34.09%) |
| CLz/F (L·h·kg−1) | 0.034 ± 0.02 (58.82%) | 0.026 ± 0.01 (38.46%) | 0.023 ± 0.01 (43.48%) |
| Cmax (μg/L) | 36.35 ± 1.47 (4.04%) | 96.36 ± 3.93 (4.08%) | 224.80 ± 21.87 (9.73%) |
Disclaimer/Publisher’s Note: The statements, opinions and data contained in all publications are solely those of the individual author(s) and contributor(s) and not of MDPI and/or the editor(s). MDPI and/or the editor(s) disclaim responsibility for any injury to people or property resulting from any ideas, methods, instructions or products referred to in the content. |
© 2026 by the authors. Licensee MDPI, Basel, Switzerland. This article is an open access article distributed under the terms and conditions of the Creative Commons Attribution (CC BY) license.
Share and Cite
Liang, S.; Zhang, M.; Xue, J.; Lang, T.; Luo, G.; Zhang, Y.; Yu, X.; Yang, W. Pharmacokinetics and Metabolomic Mechanism of the Diuretic Effects of Barbatic Acid from Pyrrosia petiolosa (Christ) Ching. Biology 2026, 15, 521. https://doi.org/10.3390/biology15070521
Liang S, Zhang M, Xue J, Lang T, Luo G, Zhang Y, Yu X, Yang W. Pharmacokinetics and Metabolomic Mechanism of the Diuretic Effects of Barbatic Acid from Pyrrosia petiolosa (Christ) Ching. Biology. 2026; 15(7):521. https://doi.org/10.3390/biology15070521
Chicago/Turabian StyleLiang, Shanshan, Minjie Zhang, Juan Xue, Tianqiong Lang, Guoyong Luo, Yan Zhang, Xiang Yu, and Wude Yang. 2026. "Pharmacokinetics and Metabolomic Mechanism of the Diuretic Effects of Barbatic Acid from Pyrrosia petiolosa (Christ) Ching" Biology 15, no. 7: 521. https://doi.org/10.3390/biology15070521
APA StyleLiang, S., Zhang, M., Xue, J., Lang, T., Luo, G., Zhang, Y., Yu, X., & Yang, W. (2026). Pharmacokinetics and Metabolomic Mechanism of the Diuretic Effects of Barbatic Acid from Pyrrosia petiolosa (Christ) Ching. Biology, 15(7), 521. https://doi.org/10.3390/biology15070521
