Genome-Wide Identification and Expression Analysis of the HCT Gene Family in Upland Cotton (Gossypium hirsutum L.) in Response to Verticillium wilt Infection
Simple Summary
Abstract
1. Introduction
2. Materials and Methods
2.1. Plant Materials and Treatments
2.2. Identification of GhHCT Genes
2.3. Physicochemical Properties and Chromosomal Localization Analysis of Proteins
2.4. Gene Structure and Conserved Motif Analysis
2.5. Analysis of Promoter Cis-Acting Elements
2.6. Phylogenetic Classification Analysis
2.7. Collinearity Analysis of the GhHCT Gene Family
2.8. Expression Analysis of the GhHCT Gene Family
2.9. Prediction of the GhHCT Protein Interaction Network
3. Results
3.1. Identification of the GhHCT Gene Family and Analysis of Protein Physicochemical Properties
3.2. Chromosomal Localization Analysis of the GhHCT Gene Family
3.3. Analysis of Conserved Protein Domains and the Gene Structure of the GhHCT Gene Family
3.4. Analysis of cis-Acting Elements in GhHCT Promoters
3.5. Phylogenetic Analysis of GhHCT Family Members
3.6. Synteny Analysis of the GhHCT Gene Family
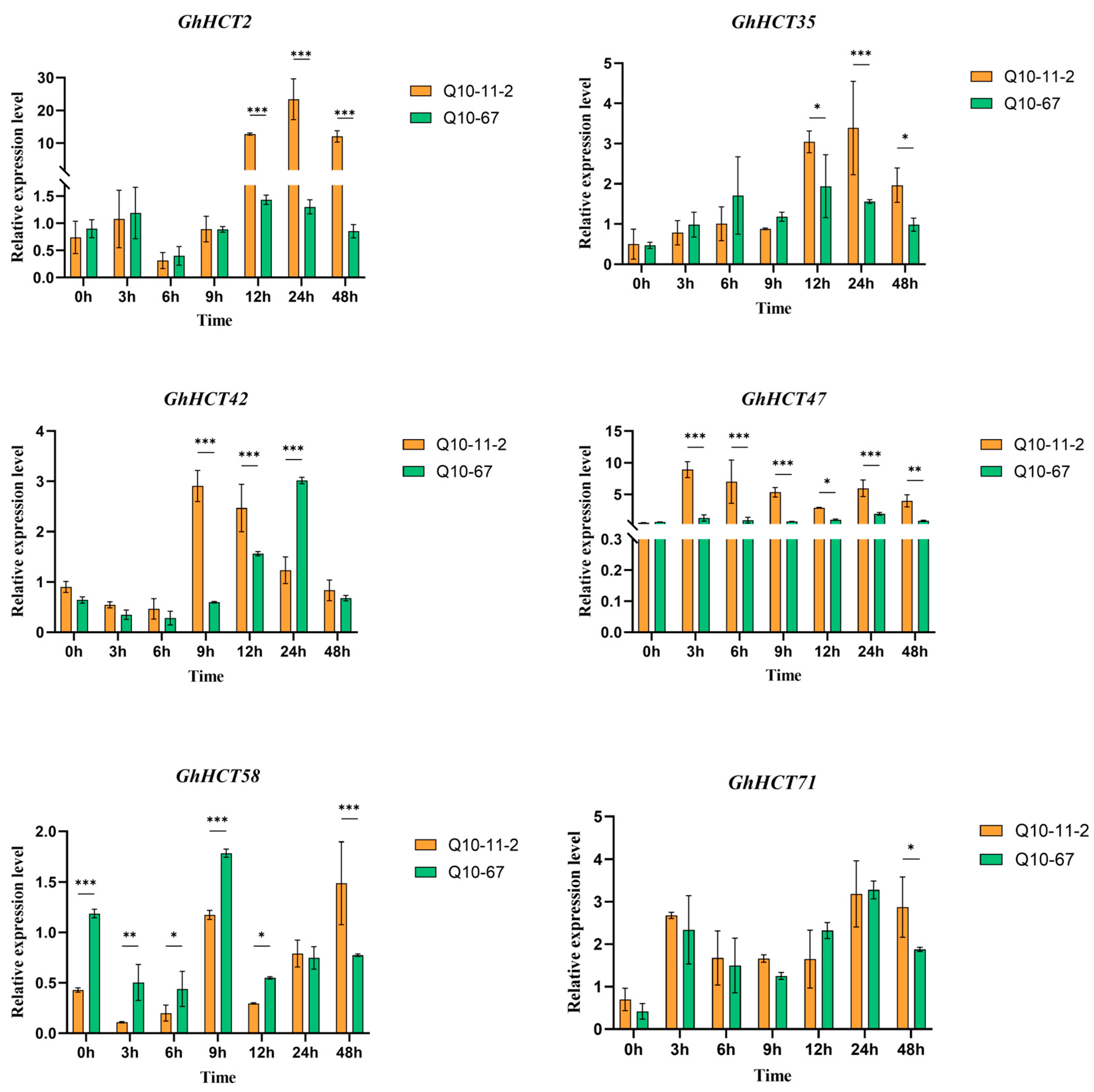
3.7. Expression Analysis of GhHCT Family Genes in Response to V. dahliae Infection in Cotton
3.8. Prediction of the GhHCT Protein–Protein Interaction Network
4. Discussion
4.1. Identification and Evolutionary Characteristics of the G. hirsutum HCT Gene Family
4.2. Regulatory Potential and Expression Specificity of GhHCT Genes
4.3. Core Role and Mechanism of the GhHCT Gene in Resisting V. dahliae Stress
5. Conclusions
Supplementary Materials
Author Contributions
Funding
Institutional Review Board Statement
Informed Consent Statement
Data Availability Statement
Conflicts of Interest
References
- Zhao, Y.Y.; Wu, H.Y.; Zhao, T.; Huang, S.C.; Hao, Y.P.; Chen, Y.D.; Feng, S.L.; Wang, L.Y.; Zhu, Y.M.; Huang, K.; et al. Harnessing GhGRDP1 natural variation for enhanced cotton seed yield: A rhamnose-dependent strategy in breeding. J. Adv. Res. 2026, 82, 171–188. [Google Scholar] [CrossRef]
- Long, X.Q.; Nie, C.; He, J.Z.; Tian, Y.; Li, X.R.; Pi, X.; Wang, W.J.; Zhu, Q.K. Bioinformatics and Expression of Hydroxycinnamyl transferase Gene Family from Dendrobium officinale. Fujian J. Agric. Sci. 2022, 37, 492–502. [Google Scholar] [CrossRef]
- Zhuang, J.; Zhang, Y.D.; Sun, W.X.; Zong, J.; Li, J.J.; Dai, X.F.; Klosterman, S.J.; Chen, J.Y.; Tian, L.; Subbarao, K.V.; et al. The acyl-CoA-binding protein VdAcb1 is essential for carbon starvation response and contributes to virulence in Verticillium dahliae. Abiotech 2024, 5, 431–448. [Google Scholar] [CrossRef] [PubMed]
- Liu, Y.C.; Tang, Y.; Wu, J.H.; Song, X.L.; Liu, G. Research progress of biocontrol microbial strains in prevention of cotton wilt disease. Acta Microbiol. Sin. 2025, 65, 994–1006. [Google Scholar] [CrossRef]
- Wang, Y.J.; Qin, J.; Wei, M.M.; Liao, X.W.; Shang, W.; Chen, J.; Subbarao, K.V.; Hu, X. Verticillium dahliae Elicitor VdSP8 Enhances Disease Resistance Through Increasing Lignin Biosynthesis in Cotton. Plant Cell Environ. 2025, 1, 728–745. [Google Scholar] [CrossRef]
- Chen, Y.; Zhu, C.; Zhao, J.; Liu, T.; Gao, F.; Zhang, Y.; Duan, C. DNA methylation-dependent epigenetic regulation of Verticillium dahliae virulence in plants. Abiotech 2023, 4, 185–201. [Google Scholar] [CrossRef]
- Zhang, Y.; Xue, C.; Wang, X.; Zhang, J.H.; Wang, A.Y.; Yang, Y.X.; Jia, X.; Zhang, W.J.; Zhao, M. The control effect of endophytic fungus Fusarium equiseti FUS-8 on cotton Verticillium wilt and its effects on soil microbial communities. Plant Soil 2025, 512, 1221–1241. [Google Scholar] [CrossRef]
- Huang, S.; Wang, J.; Song, R.; Jia, A.; Xiao, Y.; Sun, Y.; Wang, L.; Mahr, D.; Wu, Z.; Han, Z.; et al. Balanced plant helper NLR activation by a modified host protein complex. Nature 2025, 639, 447–455. [Google Scholar] [CrossRef] [PubMed]
- Swaminathan, S.; Lionetti, V.; Zabotina, O.A. Plant Cell Wall Integrity Perturbations and Priming for Defense. Plants 2022, 11, 3539. [Google Scholar] [CrossRef]
- Mottiar, Y.; Karlen, S.D.; Goacher, R.E.; Ralph, J.; Mansfield, S.D. Metabolic engineering of p-hydroxybenzoate in poplar lignin. Plant Biotechnol. J. 2022, 21, 176–188. [Google Scholar] [CrossRef]
- Ma, L.; Wang, J.; Qiao, K.K.; Quan, Y.W.; Fan, S.L.; Wu, L.Q. Genome-Wide Analysis of Caffeoyl-CoA-O-methyltransferase (CCoAOMT) Family Genes and the Roles of GhCCoAOMT7 in Lignin Synthesis in Cotton. Plants 2024, 13, 2969. [Google Scholar] [CrossRef]
- Ngou, B.P.M.; Ding, P.; Jones, J.D.G. Thirty years of resistance: Zig-zag through the plant immune system. Plant Cell 2022, 34, 1447–1478. [Google Scholar] [CrossRef]
- Nawaz, M.; Sun, J.; Shabbir, S.; Khattak, W.A.; Ren, G.; Nie, X.; Bo, Y.; Javed, Q.; Du, D.; Sonne, C. A review of plants strategies to resist biotic and abiotic environmental stressors. Sci. Total Environ. 2023, 900, 165832. [Google Scholar] [CrossRef]
- Mi, X.; Li, W.; Chen, C.; Xu, H.; Wang, G.; Jin, X.; Zhang, D.; Guo, W. GhMPK9-GhRAF39_1-GhWRKY40a Regulates the GhERF1b- and GhABF2-Mediated Pathways to Increase Cotton Disease Resistance. Adv. Sci. 2024, 11, 2404400. [Google Scholar] [CrossRef]
- Zhang, W.W.; Zhang, H.C.; Liu, K.; Jian, G.L.; Qi, F.J.; Si, N. Large-scale identification of Gossypium hirsutum genes associated with Verticillium dahliae by comparative transcriptomic and reverse genetics analysis. PLoS ONE 2017, 12, 181609. [Google Scholar] [CrossRef]
- Dora, S.; Terrett, O.M.; Sánchez-Rodríguez, C. Plant-microbe interactions in the apoplast: Communication at the plant cell wall. Plant Cell 2022, 34, 1532–1550. [Google Scholar] [CrossRef] [PubMed]
- Zhang, M.J.; Wang, H.M.; Wang, S.Z.; Fan, P.; Xia, Q.Z. Research on the Mechanism of Plant Defense Against Vascular Pathogens. Plant Physiol. J. 2015, 51, 601–609. [Google Scholar] [CrossRef]
- Zhang, Y.L.; Zhao, L.H.; Li, D.P.; Li, Z.M.; Feng, H.J.; Feng, Z.L.; Wei, F.; Zhou, J.L.; Ma, Z.Y.; Yang, J.; et al. A comprehensive review on elucidating the host disease resistance mechanism from the perspective of the interaction between cotton and Verticillium dahliae. J. Cotton Res. 2025, 1, 5–19. [Google Scholar] [CrossRef]
- Zhao, X.; Zhao, Y.; Zeng, Q.; Liu, C. Cytochrome b5 diversity in green lineages preceded the evolution of syringyl lignin biosynthesis. Plant Cell 2024, 36, 2709–2728. [Google Scholar] [CrossRef] [PubMed]
- Chen, P.Z.; Wu, X.G.; Wei, Q.; Wu, X.; Ji, K.S. Research progress of lignin synthesis gene in Pinaceae. J. Nanjing For. Univ. 2017, 41, 169–176. [Google Scholar] [CrossRef]
- Kriegshauser, L.; Knosp, S.; Grienenberger, E.; Tatsumi, K.; Gütle, D.D.; Sørensen, I.; Herrgott, L.; Zumsteg, J.; Rose, J.K.C.; Reski, R.; et al. Function of the HYDROXYCINNAMOYL-CoA:SHIKIMATE HYDROXYCINNAMOYL TRANSFERASE is evolutionarily conserved in embryophytes. Plant Cell 2021, 33, 1472–1491. [Google Scholar] [CrossRef]
- Zheng, K.; Cai, Y.S.; Qu, Y.Y.; Teng, L.; Wang, C.Y.; Gao, J.; Chen, Q.J. Effect of the HCT Gene on Lignin Synthesis and Fiber Development in Gossypium barbadense. Plant Sci. 2023, 338, 111914. [Google Scholar] [CrossRef]
- Chao, N.; Qi, Q.; Li, S.; Ruan, B.; Jiang, X.N.; Gai, Y. Characterization and functional analysis of the Hydroxycinnamoyl-CoA: Shikimate hydroxycinnamoyl transferase (HCT) gene family in poplar. PeerJ 2021, 9, e10741. [Google Scholar] [CrossRef]
- Yan, W.; Chen, H.T.; Ye, Q.; Liu, G.C.; Liu, X.; Hou, L.X. Identification of the Grape HCT Gene Family and Their Responses toLow-temperature Stress. Biotechnol. Bull. 2025, 41, 175–186. [Google Scholar] [CrossRef]
- Wang, X.N.; Chai, X.F.; Gao, B.B.; Deng, C.; Günther, C.S.; Wu, T.; Zhang, X.Z.; Xu, X.F.; Han, Z.H.; Wang, Y. Multi-omics analysis reveals the mechanism of bHLH130 responding to low-nitrogen stress of apple rootstock. Plant Physiol. 2023, 191, 1305–1323. [Google Scholar] [CrossRef]
- Ma, Q.C. Molecular Marker-Assisted Selection for Resistance to Verticillium wilt in Cotton Breeding. Master’s Thesis, Xinjiang Agricultural University, Ürümqi, China, 2016. [Google Scholar]
- Ben, H.Y.; Qu, H.Y.; Huo, J.F.; Yao, Y.R.; Gao, W.; Hao, Y.J.; Wang, W.L.; Zhang, X.Y.; Hu, J.K.; Huang, R.R. Research on Inoculative Method of Eggplant Verticillium wilt and Evaluation of Resistance Source at Seedling Stage. Acta Agric. Univ. Jiangxiensis 2022, 44, 62–73. [Google Scholar] [CrossRef]
- Liu, B.; Kong, L.Y.; Ma, J.B.; Jiang, S.; Ma, L.L.; Xu, J.; Ren, W.C.; Ma, W. Systematic Analysis of the CCoAOMT Gene Family in Isatis indigotica and the Molecular Mechanism of CCoAOMT8-Mediated Flavonoid Synthesis Under Alkaline Stress Treatment. Biology 2025, 14, 1518. [Google Scholar] [CrossRef]
- Chen, C.J.; Wu, Y.; Li, J.W.; Wang, X.; Zeng, Z.H.; Xu, J.; Liu, Y.L.; Feng, J.T.; Chen, H.; He, Y.H.; et al. TBtools-II: A “one for all, all for one” bioinformatics platform for biological big-data mining. Mol. Plant 2023, 16, 1733–1742. [Google Scholar] [CrossRef] [PubMed]
- Zaman, Q.U.; Hussain, M.A.; Khan, L.U.; Cui, J.; Hui, L.; Khan, D.; Lv, W.; Wang, H. Genome-Wide Identification and Expression Pattern of the GRAS Gene Family in Pitaya (Selenicereus undatus L.). Biology 2022, 12, 11. [Google Scholar] [CrossRef] [PubMed]
- Wang, Y.Q.; Zheng, J.; Xu, Y.C.; Cai, X.Y.; Zhou, Z.L.; Hou, Y.Q.; Wang, K.B.; Wang, Y.H.; Chen, H.D.; Liu, F.; et al. Identification of cotton HDAC gene family and expression analysis of HDAC genes under Verticillium dahliae stress. Cotton Sci. 2021, 33, 469–481. [Google Scholar]
- Yang, Y.N.; Li, Y.; Guo, Z.Q.; Zhao, Y.X.; Zhou, X.K.; Han, Y.C.; Lin, X.H. Identification of DREB gene family in foxtail millet (Setaria italica) and analysis of its expression pattern in response to abiotic stress. Front. Plant Sci. 2025, 16, 1552120. [Google Scholar] [CrossRef]
- Deng, F.Y.; Zhang, Y.; Chen, Y.; Li, Y.X.; Li, L.; Lei, Y.X.; Li, Z.H.; Pi, B.; Chen, J.J.; Qiao, Z.Q. Genome-wide identification and expression analysis of the BBX gene family in Lagerstroemia indica grown under light stress. Int. J. Biol. Macromol. 2025, 297, 139899. [Google Scholar] [CrossRef]
- Hernandez-Garcia, C.M.; Finer, J.J. Identification and validation of promoters and cis-acting regulatory elements. Plant Sci. 2014, 217–218, 109–119. [Google Scholar] [CrossRef]
- Kai, K.; Mizutani, M.; Kawamura, N.; Yamamoto, R.; Tamai, M.; Yamaguchi, H.; Sakata, K.; Shimizu, B. Scopoletin is biosynthesized via ortho-hydroxylation of feruloyl CoA by a 2-oxoglutarate-dependent dioxygenase in Arabidopsis thaliana. Plant J. 2008, 55, 989–999. [Google Scholar] [CrossRef]
- Li, Y.; Su, L.; Huang, T.; Liu, H.; Tan, S.; Deng, Y.; Wang, Y.; Xiong, A. The telomere-to-telomere genome of Pucai (蒲菜) (Typha angustifolia L.): A distinctive semiaquatic vegetable with lignin and chlorophyll as quality characteristics. Hortic. Res. 2025, 12, uhaf79. [Google Scholar] [CrossRef] [PubMed]
- Zhou, Q.; Mao, P.; Luo, D.; Chai, X.T.; Deng, H.; Fang, Q.G.; Fang, L.F.; Nan, Z.B.; Wen, J.Q.; Liu, Z.P. Comparative transcriptome analyses reveal that the MsNST1 gene affects lignin synthesis in alfalfa (Medicago sativa L.). Crop J. 2022, 10, 1059–1072. [Google Scholar] [CrossRef]
- Thompson, A.L.; Pauli, D.; Tomasi, P.; Yurchenko, O.; Jenks, M.A.; Dyer, J.M.; Gore, M.A. Chemical variation for fiber cuticular wax levels in upland cotton (Gossypium hirsutum L.) evaluated under contrasting irrigation regimes. Ind. Crops Products 2017, 100, 153–162. [Google Scholar] [CrossRef]
- Chen, Y.F.; Yi, N.; Yao, S.B.; Zhuang, J.H.; Fu, Z.P.; Ma, J.; Yin, S.X.; Jiang, X.L.; Liu, Y.J.; Gao, L.P.; et al. CsHCT-Mediated Lignin Synthesis Pathway Involved in the Response of Tea Plants to Biotic and Abiotic Stresses. J. Agric. Food Chem. 2021, 69, 10069–10081. [Google Scholar] [CrossRef] [PubMed]
- Xia, C.Y.; Zhang, X.; Zuo, Y.W.; Zhang, X.X.; Zhang, H.; Wang, B.R.; Deng, H.P. Genome-wide identification, expression analysis, and abiotic stress response of the CBL and CIPK gene families in Artocarpus nanchuanensis. J. Agric. Food Chem. 2024, 267, 131454. [Google Scholar] [CrossRef]
- Wittkopp, P.J.; Kalay, G. Cis-regulatory elements: Molecular mechanisms and evolutionary processes underlying divergence. Nat. Rev. Genet. 2011, 13, 59–69. [Google Scholar] [CrossRef]
- Sun, J.L.; Cui, X.K.; Zhang, J.Q.; Meng, F.S.; Li, J.G.; Zhou, S.H.; Wu, C.G.; Zhou, P.; Sun, S.L.; Han, L. Genome-wide identification, tissue expression pattern, and salt stress response analysis of the NAC gene family in Thinopyrum elongatum. BMC Plant Biol. 2025, 25, 643. [Google Scholar] [CrossRef]
- Wei, C.Y.; Wang, C.F.; Zhang, X.; Huang, W.Y.; Xing, M.H.; Han, C.Y.; Lei, C.B.; Zhang, Y.P.; Zhang, X.Y.; Cheng, K.; et al. Histone deacetylase GhHDA5 negatively regulates Verticillium wilt resistance in cotton. Plant Physiol. 2024, 196, 2918–2935. [Google Scholar] [CrossRef]
- Cheng, G.F.; Li, C.Z.; Zhang, G.S.; Fernando, W.G.D.; Bi, Y.Q.; Lei, J.F.; Dai, P.H.; Su, X.F.; Li, Y. A Cotton Laccase Confers Disease Resistance Against Verticillium dahliae by Promoting Cell Wall Lignification. Mol. Plant Pathol. 2025, 26, e70125. [Google Scholar] [CrossRef]
- Guo, Y.T.; Qian, Y.M.; Fu, Y.R.; Miao, K.; Wang, X.; Tian, H.; Fu, R.; Yang, F.; Guo, J.; Li, K.; et al. The R2R3-MYB transcription factor GhMYB315 associates with GhVQ28 to enhance Verticillium wilt resistance in upland cotton by regulating phenylpropanoid metabolism. Plant J. 2025, 124, e70562. [Google Scholar] [CrossRef] [PubMed]
- Zhou, Z.; Zhang, H.; Yao, J.; Gao, Q.; Wang, Y.; Liu, Z.; Zhang, Y.; Tian, Y.; Yan, Z.; Zhu, Y.; et al. The MdERF61-mdm-miR397b-MdLAC7b module regulates apple resistance to Fusarium solani via lignin biosynthesis. Plant Physiol. 2024, 197, kiae518. [Google Scholar] [CrossRef]
- Ma, C. Cloning and Expressiong of Genesrelated to Stone Cells Andbioinformatic Analysis of Hct gene Family. Master’s Thesis, Nanjing Agricultural University, Nanjing, China, 2015. [Google Scholar]
- Wang, X.X.; Xue, Y.C.; Zhao, W.C. The research progress of C3H/HCT in lignin biosynthesis. Chem. Life 2008, 650–653. [Google Scholar] [CrossRef]
- Gallego-Giraldo, L.; Escamilla-Trevino, L.; Jackson, L.A.; Dixon, R.A. Salicylic acid mediates the reduced growth of lignin down-regulated plants. Proc. Natl. Acad. Sci. USA 2011, 108, 20814–20819. [Google Scholar] [CrossRef]
- Bhattarai, K.; Rajasekar, S.; Dixon, R.A.; Monteros, M.J. Agronomic Performance and Lignin Content of HCT Down-Regulated Alfalfa ( Medicago sativa L.). Bioenergy Res. 2018, 11, 505–515. [Google Scholar] [CrossRef]
- Jin, S.; Song, Y.; Wang, Y.; Guo, Y.; Fan, S.; Gan, Q.; Luo, N.; Fan, Y.; Ni, Y. MYB46 integrates cuticle and cell wall remodeling to coordinate drought tolerance and pathogen resistance in Arabidopsis. New Phytol. 2025, 248, 2764–2780. [Google Scholar] [CrossRef] [PubMed]
- Ma, Q.H. Lignin Biosynthesis and Its Diversified Roles in Disease Resistance. Genes 2024, 15, 295. [Google Scholar] [CrossRef] [PubMed]
- Liu, J.; Wang, Z.C.; Chen, B.; Wang, G.N.; Ke, H.F.; Zhang, J.; Jiao, M.J.; Wang, Y.; Xie, M.X.; Li, Y.; et al. Expression analysis of the R2R3-MYB gene family in upland cotton and functional study of GhMYB3D5 in regulating Verticillium wilt resistance. J. Integr. Agric. 2024, 23, 3294–3310. [Google Scholar] [CrossRef]
- Ninkuu, V.; Aluko, O.O.; Yan, J.; Zeng, H.; Liu, G.; Zhao, J.; Li, H.; Chen, S.; Dakora, F.D. Phenylpropanoids metabolism: Recent insight into stress tolerance and plant development cues. Front. Plant Sci. 2025, 16, 1571825. [Google Scholar] [CrossRef] [PubMed]
- Wagner, A.; Tobimatsu, Y.; Phillips, L.; Flint, H.; Torr, K.; Donaldson, L.; Pears, L.; Ralph, J. CCoAOMT suppression modifies lignin composition in Pinus radiata. Plant J. 2011, 67, 119–129. [Google Scholar] [CrossRef] [PubMed]








| Gene Rename | Gene Name | Protein Length (aa) | Molecular Weight (KDa) | Isoelectric Point | Instability Index | Aliphatic Index | GRAVY | Subcellular Localization Predicted |
|---|---|---|---|---|---|---|---|---|
| GhHCT1 | GhChrA03G0712.1 | 433 | 47.84 | 5.25 | 32.12 | 95.03 | −0.048 | Cytoplasm |
| GhHCT2 | GhChrA04G1205.1 | 466 | 51.40 | 8.24 | 33.8 | 81.14 | −0.195 | Chloroplast |
| GhHCT3 | GhChrA05G0578.1 | 433 | 48.25 | 7.16 | 44.15 | 85.59 | −0.202 | Cytoplasm |
| GhHCT4 | GhChrA05G1241.1 | 457 | 50.90 | 5.4 | 49.48 | 90 | −0.053 | Cytoplasm |
| GhHCT5 | GhChrA05G1244.1 | 461 | 51.41 | 5.32 | 50.6 | 88.35 | −0.059 | Cytoplasm |
| GhHCT6 | GhChrA05G1245.1 | 456 | 50.56 | 6.04 | 49.65 | 88.27 | −0.118 | Cytoplasm |
| GhHCT7 | GhChrA05G3785.1 | 477 | 53.89 | 8.59 | 38.97 | 79.94 | −0.223 | Nucleus |
| GhHCT8 | GhChrA05G3821.1 | 442 | 48.42 | 8.68 | 31.68 | 90.41 | −0.038 | Cytoplasm |
| GhHCT9 | GhChrA05G3901.1 | 445 | 49.10 | 5.64 | 35.34 | 92.22 | −0.073 | Cytoplasm |
| GhHCT10 | GhChrA06G0077.1 | 448 | 50.66 | 6.95 | 38.55 | 96.76 | −0.085 | Cytoplasm |
| GhHCT11 | GhChrA06G0199.1 | 455 | 50.77 | 6.02 | 42.54 | 86.77 | −0.149 | Nucleus |
| GhHCT12 | GhChrA06G0200.1 | 455 | 50.98 | 5.89 | 43.06 | 88.04 | −0.161 | Nucleus |
| GhHCT13 | GhChrA06G0589.1 | 458 | 50.90 | 7.57 | 45.84 | 87.1 | −0.007 | Nucleus |
| GhHCT14 | GhChrA06G2600.1 | 445 | 50.18 | 9.06 | 37.32 | 81.75 | −0.346 | Nucleus |
| GhHCT15 | GhChrA07G0597.1 | 438 | 48.76 | 5.48 | 31.59 | 100.16 | 0.019 | Cytoplasm |
| GhHCT16 | GhChrA07G2867.1 | 478 | 53.33 | 8.03 | 37.08 | 85.04 | −0.118 | Cytoplasm/Nucleus |
| GhHCT17 | GhChrA08G1431.1 | 441 | 48.94 | 6.2 | 34.64 | 81.79 | −0.284 | Cytoplasm |
| GhHCT18 | GhChrA08G3015.1 | 449 | 50.09 | 5.54 | 35.62 | 88.82 | −0.106 | Cytoplasm |
| GhHCT19 | GhChrA09G0511.1 | 445 | 49.60 | 6 | 35.38 | 80.45 | −0.309 | Cytoplasm |
| GhHCT20 | GhChrA10G0715.1 | 443 | 48.92 | 5.59 | 30.34 | 90.27 | −0.112 | Cytoplasm |
| GhHCT21 | GhChrA10G1754.1 | 456 | 51.50 | 7.28 | 43.55 | 84.01 | −0.177 | Nucleus |
| GhHCT22 | GhChrA10G1819.1 | 436 | 48.66 | 7.7 | 34.46 | 85.21 | −0.263 | Cytoplasm |
| GhHCT23 | GhChrA10G1836.1 | 436 | 48.55 | 6.03 | 34.35 | 95.05 | −0.147 | Cytoskeleton |
| GhHCT24 | GhChrA10G2916.1 | 480 | 53.84 | 8.23 | 42.96 | 73.33 | −0.247 | Nucleus |
| GhHCT25 | GhChrA10G2917.1 | 466 | 52.15 | 8.57 | 44.06 | 74.1 | −0.266 | Chloroplast |
| GhHCT26 | GhChrA10G2987.1 | 444 | 48.91 | 9.6 | 31.68 | 93.04 | −0.012 | Cytoplasm |
| GhHCT27 | GhChrA11G0125.1 | 451 | 49.64 | 5.48 | 32.05 | 78.23 | −0.31 | Cytoskeleton |
| GhHCT28 | GhChrA11G0828.1 | 464 | 51.45 | 7.16 | 30.67 | 86.81 | −0.124 | Cytoplasm |
| GhHCT29 | GhChrA11G2229.1 | 440 | 49.08 | 6.35 | 33.4 | 88.23 | −0.064 | Chloroplast |
| GhHCT30 | GhChrA11G2230.1 | 440 | 48.76 | 6.64 | 31.28 | 84.68 | −0.177 | Chloroplast |
| GhHCT31 | GhChrA11G2231.1 | 433 | 48.88 | 5.83 | 38.83 | 92.56 | −0.153 | Mitochondrion |
| GhHCT32 | GhChrA12G1811.1 | 496 | 54.97 | 6.5 | 40.53 | 82.94 | −0.047 | Chloroplast |
| GhHCT33 | GhChrA13G0475.1 | 470 | 52.26 | 6.15 | 43.6 | 86.62 | −0.029 | Cytoplasm |
| GhHCT34 | GhChrA13G1398.1 | 448 | 49.99 | 6.32 | 40.03 | 91.65 | −0.113 | Cytoplasm |
| GhHCT35 | GhChrA13G2137.1 | 454 | 50.44 | 7.57 | 41.77 | 91.06 | −0.027 | Cytoplasm |
| GhHCT36 | GhChrA13G2139.1 | 435 | 48.41 | 6.39 | 36.18 | 98.67 | 0.139 | Cytoplasm |
| GhHCT37 | GhChrA13G2140.1 | 461 | 51.23 | 7.94 | 43.2 | 93.73 | 0.041 | Chloroplast |
| GhHCT38 | GhChrA13G2141.1 | 435 | 48.51 | 6.39 | 38.65 | 99.1 | 0.12 | Cytoplasm |
| GhHCT39 | GhChrD04G0770.1 | 477 | 53.69 | 8.2 | 39.33 | 79.52 | −0.232 | Cytoplasm |
| GhHCT40 | GhChrD04G0805.1 | 442 | 48.29 | 8.67 | 31.83 | 91.09 | −0.028 | Cytoplasm |
| GhHCT41 | GhChrD04G0868.1 | 445 | 49.15 | 5.64 | 35.8 | 91.35 | −0.086 | Cytoplasm |
| GhHCT42 | GhChrD04G1682.1 | 466 | 51.47 | 7.97 | 36.15 | 81.97 | −0.182 | Chloroplast |
| GhHCT43 | GhChrD05G0573.1 | 433 | 48.36 | 7.62 | 42.15 | 86.26 | −0.203 | Cytoplasm |
| GhHCT44 | GhChrD05G1224.1 | 451 | 50.32 | 5.37 | 50.09 | 88.82 | −0.035 | Cytoplasm |
| GhHCT45 | GhChrD05G1225.1 | 461 | 51.39 | 5.53 | 50.46 | 90.04 | −0.057 | Cytoplasm |
| GhHCT46 | GhChrD05G1226.1 | 452 | 50.35 | 5.93 | 51.14 | 86.24 | −0.131 | Cytoplasm |
| GhHCT47 | GhChrD05G1240.1 | 467 | 52.02 | 6.47 | 34.73 | 82.06 | −0.239 | Mitochondrion |
| GhHCT48 | GhChrD06G0074.1 | 448 | 50.61 | 6.59 | 38.79 | 95.69 | −0.09 | Nucleus |
| GhHCT49 | GhChrD06G0183.1 | 454 | 50.64 | 6.28 | 48.18 | 87.58 | −0.069 | Cytoplasm |
| GhHCT50 | GhChrD06G0188.1 | 455 | 51.18 | 5.93 | 49.65 | 86.53 | −0.145 | Cytoplasm |
| GhHCT51 | GhChrD06G0195.1 | 455 | 50.65 | 6.32 | 42.41 | 86.13 | −0.16 | Cytoplasm |
| GhHCT52 | GhChrD06G0321.1 | 438 | 48.82 | 5.84 | 35.06 | 92.79 | −0.062 | Cytoplasm |
| GhHCT53 | GhChrD06G0565.1 | 457 | 50.76 | 6.79 | 46.49 | 83.22 | −0.014 | Nucleus |
| GhHCT54 | GhChrD06G0566.1 | 473 | 52.99 | 6.07 | 45.16 | 83.04 | −0.049 | Cytoplasm |
| GhHCT55 | GhChrD07G2756.1 | 472 | 52.33 | 6.1 | 34.88 | 83.03 | −0.136 | Nucleus |
| GhHCT56 | GhChrD07G2757.1 | 471 | 52.10 | 5.97 | 36.19 | 86.73 | −0.136 | Chloroplast |
| GhHCT57 | GhChrD08G1324.1 | 441 | 48.98 | 5.8 | 34.96 | 80.68 | −0.317 | Cytoplasm |
| GhHCT58 | GhChrD08G2898.1 | 449 | 49.79 | 5.54 | 33.93 | 89.47 | −0.072 | Cytoplasm |
| GhHCT59 | GhChrD10G0858.1 | 443 | 48.99 | 5.93 | 30.13 | 90.93 | −0.108 | Cytoplasm |
| GhHCT60 | GhChrD10G1381.1 | 457 | 51.59 | 8.61 | 43.89 | 84.68 | −0.177 | Nucleus |
| GhHCT61 | GhChrD10G2819.1 | 480 | 53.86 | 8.38 | 41.25 | 74.75 | −0.247 | Chloroplast |
| GhHCT62 | GhChrD10G2879.1 | 447 | 49.38 | 9.41 | 32.05 | 93.71 | −0.007 | Cytoplasm |
| GhHCT63 | GhChrD11G0113.1 | 473 | 52.41 | 5.57 | 30.07 | 82.22 | −0.238 | Chloroplast |
| GhHCT64 | GhChrD11G0825.1 | 464 | 51.38 | 6.47 | 31.4 | 88.69 | −0.081 | Cytoplasm |
| GhHCT65 | GhChrD11G2217.1 | 433 | 48.93 | 5.93 | 40.93 | 93.9 | −0.144 | Mitochondrion |
Disclaimer/Publisher’s Note: The statements, opinions and data contained in all publications are solely those of the individual author(s) and contributor(s) and not of MDPI and/or the editor(s). MDPI and/or the editor(s) disclaim responsibility for any injury to people or property resulting from any ideas, methods, instructions or products referred to in the content. |
© 2026 by the authors. Licensee MDPI, Basel, Switzerland. This article is an open access article distributed under the terms and conditions of the Creative Commons Attribution (CC BY) license.
Share and Cite
Zhang, Y.; Liu, G.; Liu, B.; Zhang, M.; Hu, Y.; Wang, S.; Sun, J.; Gu, A. Genome-Wide Identification and Expression Analysis of the HCT Gene Family in Upland Cotton (Gossypium hirsutum L.) in Response to Verticillium wilt Infection. Biology 2026, 15, 520. https://doi.org/10.3390/biology15070520
Zhang Y, Liu G, Liu B, Zhang M, Hu Y, Wang S, Sun J, Gu A. Genome-Wide Identification and Expression Analysis of the HCT Gene Family in Upland Cotton (Gossypium hirsutum L.) in Response to Verticillium wilt Infection. Biology. 2026; 15(7):520. https://doi.org/10.3390/biology15070520
Chicago/Turabian StyleZhang, Yujia, Gang Liu, Baojun Liu, Mengxue Zhang, Yang Hu, Shu Wang, Jidi Sun, and Aixing Gu. 2026. "Genome-Wide Identification and Expression Analysis of the HCT Gene Family in Upland Cotton (Gossypium hirsutum L.) in Response to Verticillium wilt Infection" Biology 15, no. 7: 520. https://doi.org/10.3390/biology15070520
APA StyleZhang, Y., Liu, G., Liu, B., Zhang, M., Hu, Y., Wang, S., Sun, J., & Gu, A. (2026). Genome-Wide Identification and Expression Analysis of the HCT Gene Family in Upland Cotton (Gossypium hirsutum L.) in Response to Verticillium wilt Infection. Biology, 15(7), 520. https://doi.org/10.3390/biology15070520
