Influence of Sampling Effort and Taxonomic Resolution on Benthic Macroinvertebrate Taxa Richness and Bioassessment in a Non-Wadable Hard-Bottom River (China)
Abstract
Simple Summary
Abstract
1. Introduction
2. Materials and Methods
2.1. Study Area
2.2. Sample Collection and Identification
2.3. Sampling Effort Estimation
2.4. Sampling Efficiency Evaluation
2.5. Biological Index Calculation
2.6. Data Analysis
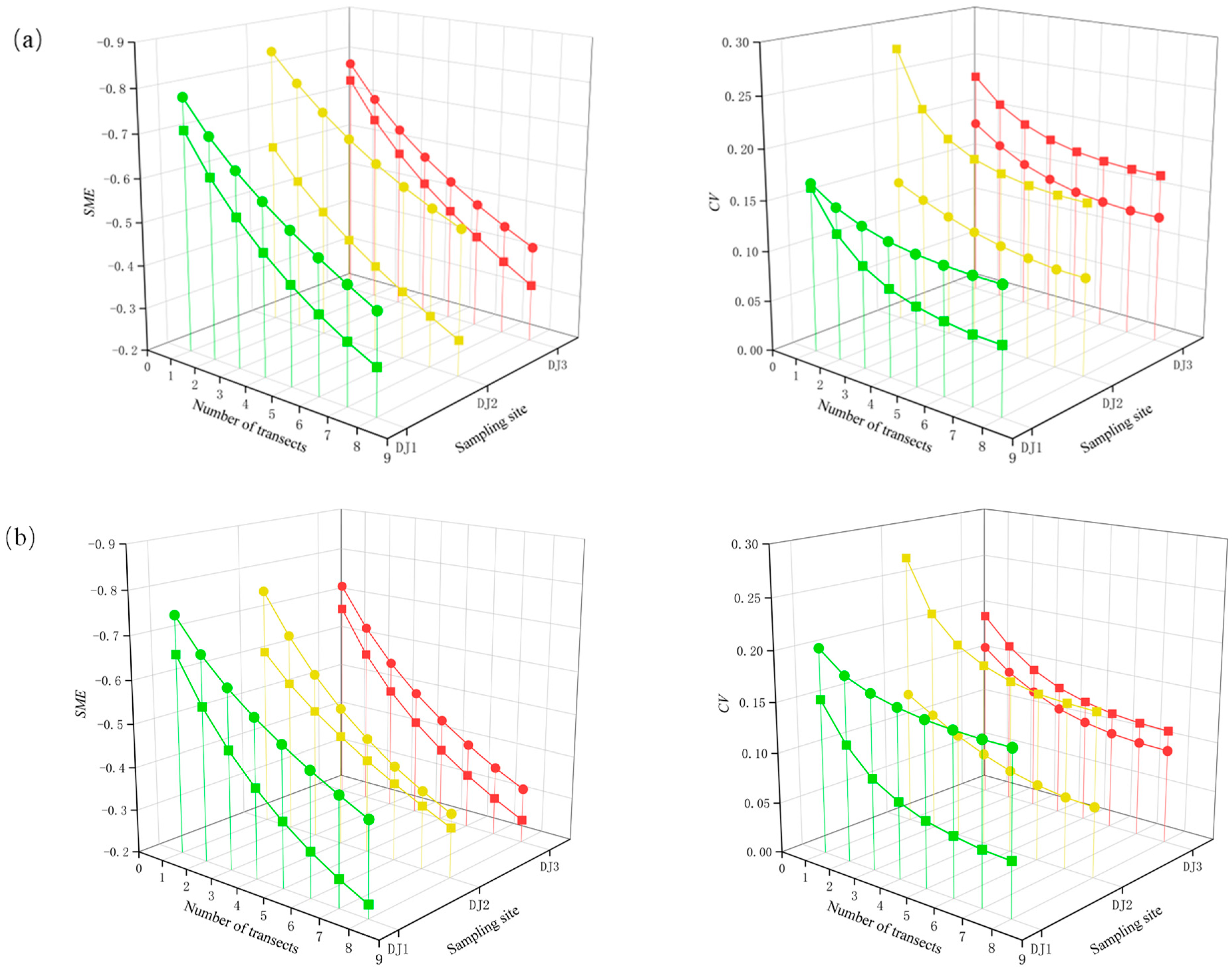
3. Results
4. Discussion
5. Conclusions
Supplementary Materials
Author Contributions
Funding
Institutional Review Board Statement
Informed Consent Statement
Data Availability Statement
Acknowledgments
Conflicts of Interest
References
- Schreiber, J.; Brauns, M. How much is enough? Adequate sample size for littoral macroinvertebrates in lowland lakes. Hydrobiologia 2010, 649, 365–373. [Google Scholar] [CrossRef]
- Hanisch, J.R.; Connor, S.J.; Scrimgeour, G.J.; Cobbaert, D. Bioassessment of benthic macrooinvertebrates in wetlands: A paired comparison of two standardized sampling protocols. Wetl. Ecol. Manag. 2020, 28, 199–216. [Google Scholar] [CrossRef]
- Gill, B.A.; Allen, D.C.; Mims, M.C.; Neeson, T.M.; Ruhi, A.; Atkinson, C.L.; Shogren, A.J.; Apgar, T.M.; Compson, Z.G.; Cook, S.; et al. Combined benthic and stream edge sampling better represent macroinvertebrate assemblages than benthic sampling alone along an aridity gradient. Limnol. Oceanogr. Methods 2024, 22, 208–216. [Google Scholar] [CrossRef]
- Simaika, J.P.; Stribling, J.; Lento, J.; Bruder, A.; Poikane, S.; Moretti, M.S.; Rivers-Moore, N.; Meissner, K.; Macadam, C.R. Towards harmonized standards for freshwater biodiversity monitoring and biological assessment using benthic macroinvertebrates. Sci. Total Environ. 2024, 918, 170360. [Google Scholar] [CrossRef] [PubMed]
- Wu, H.; Chen, J.; Xu, J.; Zeng, G.; Sang, L.; Liu, Q.; Yin, Z.; Dai, J.; Yin, D.; Liang, J.; et al. Effects of dam construction on biodiversity: A review. J. Clean. Prod. 2019, 221, 480–489. [Google Scholar] [CrossRef]
- Gutiérrez-Rial, D.; González, B.S.; Vázquez, D.G.; Méndez-Martínez, G.; Diego, M.A.P.; González, J.G. Freshwater biodiversity loss in urbanised rivers. Ecol. Indic. 2023, 156, 111150. [Google Scholar] [CrossRef]
- Correa-Araneda, F.; Núnez, D.; Díaz, M.E.; Gómez-Capponi, F.; Figueroa, R.; Acuna, J.; Boyero, L.; Esse, C. Comparison of sampling methods for benthic macroinvertebrates in forested wetlands. Ecol. Indic. 2021, 125, 107551. [Google Scholar] [CrossRef]
- Mao, C.X.; Colwell, R.K. Estimation of species richness: Mixture models, the role of rare species, and inferential challenges. Ecology 2005, 86, 1143–1153. [Google Scholar] [CrossRef]
- Grey, E.K.; Bernatchez, L.; Cassey, P.; Deiner, K.; Deveney, M.; Howland, K.L.; Lacoursière-Roussel, A.; Leong, S.C.Y.; Li, Y.; Olds, B.; et al. Effects of sampling effort on biodiversity patterns estimated from environmental DNA metabarcoding surveys. Sci. Rep. 2018, 8, 8843. [Google Scholar] [CrossRef] [PubMed]
- Silva, D.R.O.; Ligeiro, R.; Hughes, R.M.; Callisto, M. The role of physical habitat and sampling effort on estimates of benthic macroinvertebrate taxonomic richness at basin and site scale. Environ. Monit. Assess. 2016, 188, 340. [Google Scholar] [CrossRef] [PubMed]
- da Silva Santos, J.V.A.; Lima, M.; Monteles, J.S.; Carrera, D.L.R.; de Faria, A.P.J.; Brasil, L.S.; Juen, L. Assessing physical habitat structure and biological condition in eastern Amazonia stream sites. Water Biol. Secur. 2023, 2, 100132. [Google Scholar]
- Gleason, J.E.; Bortolotti, J.Y.; Rooney, R.C. Wetland microhabitats support distinct communities of aquatic macroinvertebrates. J. Freshw. Ecol. 2018, 33, 73–82. [Google Scholar] [CrossRef]
- Bevilacqua, M.S.; Vitório, A.; Felix, R.W.; Ribeiro, E.G.; Bozelli, R.L.; Figueiredo-Barros, M.P.; Esteves, F.A. Small is better: Comparing the efficiency of two Surber samplers’ sizes for biomonitoring programs in tropical headwater streams in the Amazon region. Environ. Monit. Assess. 2020, 192, 708. [Google Scholar] [CrossRef] [PubMed]
- Getachew, M.; Mulat, W.L.; Mereta, S.T.; Gebrie, G.S.; Kelly-Quinn, M. Refining benthic macroinvertebrate kick sampling protocol for wadeable rivers and streams in Ethiopia. Environ. Monit. Assess. 2022, 194, 196. [Google Scholar] [CrossRef]
- Chatzinikolaou, Y.; Findik, O.; Ilia, G.; Lazaridou, M. Comparative study of two benthic macroinvertebrate sampling methods: The 3-minute kick-and-sweep sampling method versus artificial substrate colonization in a large Mediterranean river in cen-tral Greece. In Proceedings of the Fourth Symposium for European Freshwater Sciences (SEFS4), Krakow, Poland, 22–26 August 2005; p. 52. Available online: http://hispagua.cedex.es/en/formacion/congreso/29613 (accessed on 27 September 2025).
- Ekoko, W.A.; Qu, G.J.; Liu, M.H.; Shabani, I.E. Benthic macroinvertebrate diversity and water quality bioassessment of the Central Lake in Qingtongxia Reservoir Wetland Nature Reserve, China. Appl. Ecol. Environ. Res. 2022, 20, 3379–3392. [Google Scholar] [CrossRef]
- Birk, S.; Bonne, W.; Borja, A.; Brucet, S.; Courrat, A.; Poikane, S.; Solimini, A.; van de Bund, W.; Zampoukas, N.; Hering, D. Three hundred ways to assess Europe’s surface waters: An almost complete overview of biological methods to implement the Water Framework Directive. Ecol. Indic. 2012, 18, 31–41. [Google Scholar] [CrossRef]
- Poikane, S.; Johnson, R.K.; Sandin, L.; Schartau, A.K.; Solimini, A.G.; Urbanič, G.; Arbačiauskas, K.; Aroviita, J.; Gabriels, W.; Miler, O.; et al. Benthic macroinvertebrates in lake ecological assessment: A review of methods, intercalibration and practical recommendations. Sci. Total Environ. 2016, 543, 123–134. [Google Scholar] [CrossRef]
- Paller, M.H.; Blas, S.A.; Kelley, R.W. Macroinvertebrate taxonomic richness in minimally disturbed streams on the Southeastern USA coastal plain. Diversity 2020, 12, 459. [Google Scholar] [CrossRef]
- Romero, K.C.; Del Río, J.P.; Villarreal, K.C.; Anillo, J.C.C.; Zarate, Z.P.; Gutierrez, L.C.; Franco, O.L.; Valencia, J.W.A. Lentic water quality characterization using macroinvertebrates as bioindicators: An adapted BMWP index. Ecol. Indic. 2017, 72, 53–66. [Google Scholar] [CrossRef]
- Ochieng, H.; Odong, R.; Okot-Okumu, J. Comparison of temperate and tropical versions of Biological Monitoring Working Party (BMWP) index for assessing water quality of River Aturukuku in Eastern Uganda. Glob. Ecol. Conserv. 2020, 23, e01183. [Google Scholar] [CrossRef]
- Singh, N.; Choudhary, B.K.; Singh, S.; Kumar, R. Monitoring and assessment of anthropogenic impacts on water quality by estimating the BMWP and ASPT indices for a headwater stream in Doon Valley, India. Sustain. Water Resour. Manag. 2022, 8, 108. [Google Scholar] [CrossRef]
- Armitage, P.D.; Moss, D.; Wright, J.F.; Furse, M.T. The performance of a new biological water quality score system based on macroinvertebrates over a wide range of unpolluted running-water sites. Water Res. 1983, 17, 333–347. [Google Scholar] [CrossRef]
- HJ 1295-2023; Technical Guidelines for Water Ecological Monitoring–Aquatic Organism Monitoring and Evaluation of Rivers (on Trial). Ministry of Ecology and Environment (MEE): Beijing, China, 2023.
- Colwell, R.K.; Mao, C.X.; Chang, J. Interpolating, extrapolating, and comparing incidence-based species accumulation curves. Ecology 2004, 81, 2717–2727. [Google Scholar] [CrossRef]
- Thompson, G.G.; Thompson, S.A. Using species accumulation curves to estimate trapping effort in fauna surveys and species richness. Austral. Ecol. 2007, 32, 564–569. [Google Scholar]
- Willott, S.J. Species accumulation curves and the measure of sampling effort. J. Appl. Ecol. 2001, 38, 484–486. [Google Scholar] [CrossRef]
- Gotelli, N.J.; Colwell, R.K. Quantifying biodiversity: Procedures and pitfalls in the measurement and comparison of species richness. Ecol. Lett. 2001, 4, 379–391. [Google Scholar] [CrossRef]
- Walther, B.A.; Morand, S. Comparative performance of species richness estimation methods. Parasitology 1998, 116, 395–405. [Google Scholar] [CrossRef]
- Ramos-Merchante, A.; Prenda, J. Macroinvertebrate taxa richness uncertainty and kick sampling in the establishment of Mediterranean rivers ecological status. Ecol. Indic. 2017, 72, 1–12. [Google Scholar] [CrossRef]
- Ntislidou, C.; Bobori, D.; Lazaridou, M. Suggested sampling methodology for lake benthic macroinvertebrates under the requirements of the European Water Framework Directive. Water 2021, 13, 1353. [Google Scholar] [CrossRef]
- Everall, N.C.; Johnson, M.F.; Wood, P.; Farmer, A.; Wilby, R.L.; Measham, N. Comparability of macroinvertebrate biomonitoring indices of river health derived from semi-quantitative and quantitative methodologies. Ecol. Indic. 2017, 78, 437–448. [Google Scholar] [CrossRef]
- Rosati, M.; Cantonati, M.; Fenoglio, S.; Segadelli, S.; Levati, G.; Rossetti, G. Is there an ideal protocol for sampling macroinvertebrates in springs? J. Freshw. Ecol. 2016, 31, 199–209. [Google Scholar] [CrossRef]
- Blocksom, K.A.; Flotemersch, J.E. Comparison of macroinvertebrate sampling methods for nonwadeable streams. Environ. Monit. Assess. 2005, 102, 243–262. [Google Scholar] [CrossRef]
- Theodoropoulos, C.; Vourka, A.; Stamou, A.; Rutschmann, P.; Skoulikidis, N. Response of freshwater macroinvertebrates to rainfall-induced high flows: A hydroecological approach. Ecol. Indic. 2017, 73, 432–442. [Google Scholar] [CrossRef]
- Rossini, R.A.; Fensham, R.J.; Walter, G.H. Determining optimal sampling strategies for monitoring threatened endemic macro-invertebrates in Australia. Mar. Freshw. Res. 2016, 67, 653. [Google Scholar] [CrossRef]
- Bady, P.; Doledec, S.; Fesl, C.; Gayraud, S.; Bacchi, M.; Scholl, F. Use of invertebrate traits for biomonitoring of European large rivers: The effects of sampling effort on genus richness and functional diversity. Freshw. Biol. 2005, 50, 159–173. [Google Scholar] [CrossRef]
- Bradey, D.C.; Ormerod, S.J. Evaluating the precision of kick-sampling in upland streams for assessments of long-term change: The effects of sampling effort, habitat and rarity. Arch. Hydrobiol. 2002, 155, 199–221. [Google Scholar] [CrossRef]
- Larras, F.; Usseglio-Polatera, P. Heterogeneity in macroinvertebrate sampling strategy introduces variability in community characterization and stream trait-based biomonitoring: Influence of sampling effort and habitat selection criteria. Ecol. Indic. 2020, 119, 106758. [Google Scholar] [CrossRef]
- Villeneuve, B.; Piffady, J.; Valette, L.; Souchon, Y.; Usseglio-Polatera, P. Direct and indirect effects of multiple stressors on stream invertebrates across watershed, reach and site scales: A structural equation modelling better informing on hydromorphological impacts. Sci. Total Environ. 2018, 612, 660–671. [Google Scholar] [CrossRef] [PubMed]
- Buss, D.F.; Vitorino, A.S. Rapid bioassessment protocols using benthic macroinvertebrates in Brazil: Evaluation of taxonomic sufficiency. J. N. Am. Benthol. Soc. 2010, 29, 562–571. [Google Scholar] [CrossRef]
- De Bikuña, B.G.; López, E.; Leonardo, J.M.; Arrate, J.; Martínez, A.; Agirre, A.; Manzanos, A. Reduction of sampling effort assessing macroinvertebrate assemblages for biomonitoring of rivers. Knowl. Manag. Aquat. Ecosyst. 2015, 416, 08. [Google Scholar] [CrossRef]
- Friberg, N.; Sandin, L.; Furse, M.T.; Larsen, S.E.; Clarke, R.T.; Haase, P. Comparison of macroinvertebrate sampling methods in Europe. Hydrobiologia 2006, 566, 365–378. [Google Scholar] [CrossRef]
- Feeley, H.B.; Woods, M.; Baars, J.R.; Kelly-Quinn, M. Refining a kick sampling strategy for the bioassessment of benthic macroinvertebrates in headwater streams. Hydrobiologia 2012, 683, 53–68. [Google Scholar] [CrossRef]
- Hering, D.; Moog, O.; Sandin, L.; Verdonschot, P.F.M. Overview and application of the AQEM assessment system. Hydrobiologia 2004, 516, 1–20. [Google Scholar] [CrossRef]





| Order | Family (ESV) | Taxa | Pre-Flood Season | Post-Flood Season | ||||
|---|---|---|---|---|---|---|---|---|
| DJ1 | DJ2 | DJ3 | DJ1 | DJ2 | DJ3 | |||
| Basommatophora | Lymnaeidae (3) | Radix swinhoei | ++ | ++ | + | + | ||
| Physidae (3) | Physa sp. | + | + | |||||
| Planorbidae (3) | Gyraulus convexiusculus | + | ||||||
| Mesogastropoda | Viviparidae (6) | Bellamya sp. | + | |||||
| Stenothyridae (6) | Stenothyra glabra | + | + | |||||
| Semisulcospiridae (6) | Semisulcospira cancellata | + | ||||||
| Veneroida | Corbiculidae (6) | Corbicula sp. | + | + | + | + | ||
| Sphaeriidae (6) | Sphaerium sp. | + | + | |||||
| Mytioida | Mytilidae (7) | Limnoperna lacustris | +++ | ++ | + | + | ||
| Decapoda | Palaemonidae (6) | Palaemon sp. | ++ | + | + | + | + | +++ |
| Hemiptera | Aphelocheiridae (10) | Diplonychus sp. | + | |||||
| Corixidae (5) | Sigara sp. | + | + | + | ||||
| Coleoptera | Carabidae (5) | Carabidae sp. | + | ++ | + | + | ||
| Chrysomelidae (5) | Galerucella sp. | + | ||||||
| Psephenidae (10) | Psephenidae sp. | + | ||||||
| Elmidae (8) | Elmidae sp. | ++ | + | |||||
| Hydrophilidae (5) | Enochrus sp. | + | ||||||
| Dytiscidae (6) | Rhantus sp. | + | + | + | + | |||
| Oreodytes sp. | + | + | ||||||
| Ephemeroptera | Heptageniidae (10) | Heptagenia sp. | ++ | +++ | ++ | ++ | + | |
| Ecdyonurus tobiironis | ++ | |||||||
| Ephemerellidae (8) | Serratella sp. | + | + | |||||
| Cincticostella sp. | + | |||||||
| Polymitarcyidae (10) | Ephoron sp. | ++ | ++ | + | ||||
| Caenidae (7) | Caenis sp. | + | ++ | ++ | ||||
| Isonychiidae (8) | Isonychia sp. | + | + | |||||
| Baetidae (7) | Baetis sp. | + | ++ | ++ | + | ++ | ||
| Cloeon sp. | ++ | + | ++ | |||||
| Baetiella sp. | + | + | ||||||
| Potamanthidae (10) | Potamanthus sp. | +++ | ++ | ++ | ++ | + | ||
| Trichoptera | Phryganeidae (10) | Phryganeidae sp. | + | |||||
| Hydropsychidae (6) | Hydropsychidae sp. | +++ | +++ | ++ | ++ | + | ||
| Polycentropodidae (7) | Plectrocnemia sp. | + | ||||||
| Polyplectropus sp. | + | + | ||||||
| Stenopsychidae (8) | Stenopsyche sp. | + | + | + | ||||
| Rhyacophilidae (10) | Rhyacophila sp. | + | + | + | ||||
| Diptera | Tipulidae (8) | Tipulidae sp. | + | + | + | |||
| Antocha bifida | + | + | ||||||
| Hexatoma sp. | + | |||||||
| Dicranota sp. | + | |||||||
| Chironomidae (3) | Chironomus riparus | + | ||||||
| Chironomus striatipennis | + | |||||||
| Natarsia sp. | ++ | + | + | |||||
| Cricotopus sp. | + | + | ||||||
| Hydrobaenus sp. | ++ | + | ||||||
| Robackia sp. | + | |||||||
| Saetheria sp. | + | |||||||
| Cryptochironomus sp. | + | |||||||
| Glyptotendipes sp. | + | |||||||
| Eukiefferiella claripennis | + | |||||||
| Odonata | Coenagrionidae (6) | Platycnemis sp. | + | |||||
| Libellulidae (8) | Sympetrum sp. | + | ||||||
| Gomphidae (8) | Gomphidae sp. | ++ | + | |||||
| Lamelligomphus formosanus | + | |||||||
| Plecoptera | Perlidae (10) | Paragnetina sp. | + | |||||
| Megaloptera | Corydalidae (8) | Protohermes sp. | + | + | ++ | + | ||
| Arhynchobdellida | Erpobdellidae (3) | Herpobdella octoculata | ++ | |||||
| Rhynchobdellida | Glossiphoniidae (3) | Glossiphonia lata | + | + | ||||
| Tubificida | Tubificidae (1) | Limnodrilus sp. | ++ | + | + | ++ | + | + |
| Branchiura sowerbyi | + | |||||||
| Tricladida | Dugesiidae (5) | Dugesia sp. | + | |||||
Disclaimer/Publisher’s Note: The statements, opinions and data contained in all publications are solely those of the individual author(s) and contributor(s) and not of MDPI and/or the editor(s). MDPI and/or the editor(s) disclaim responsibility for any injury to people or property resulting from any ideas, methods, instructions or products referred to in the content. |
© 2025 by the authors. Licensee MDPI, Basel, Switzerland. This article is an open access article distributed under the terms and conditions of the Creative Commons Attribution (CC BY) license (https://creativecommons.org/licenses/by/4.0/).
Share and Cite
Liu, J.; Shan, H.; Xia, C.; Ding, S. Influence of Sampling Effort and Taxonomic Resolution on Benthic Macroinvertebrate Taxa Richness and Bioassessment in a Non-Wadable Hard-Bottom River (China). Biology 2025, 14, 1444. https://doi.org/10.3390/biology14101444
Liu J, Shan H, Xia C, Ding S. Influence of Sampling Effort and Taxonomic Resolution on Benthic Macroinvertebrate Taxa Richness and Bioassessment in a Non-Wadable Hard-Bottom River (China). Biology. 2025; 14(10):1444. https://doi.org/10.3390/biology14101444
Chicago/Turabian StyleLiu, Jiaxuan, Hongjia Shan, Chengxing Xia, and Sen Ding. 2025. "Influence of Sampling Effort and Taxonomic Resolution on Benthic Macroinvertebrate Taxa Richness and Bioassessment in a Non-Wadable Hard-Bottom River (China)" Biology 14, no. 10: 1444. https://doi.org/10.3390/biology14101444
APA StyleLiu, J., Shan, H., Xia, C., & Ding, S. (2025). Influence of Sampling Effort and Taxonomic Resolution on Benthic Macroinvertebrate Taxa Richness and Bioassessment in a Non-Wadable Hard-Bottom River (China). Biology, 14(10), 1444. https://doi.org/10.3390/biology14101444

