The Influence of Sexual Behavior and Demographic Characteristics in the Expression of HPV-Related Biomarkers in a Colposcopy Population of Reproductive Age Greek Women
Abstract
Simple Summary
Abstract
1. Introduction
2. Materials and Methods
2.1. Study Population—Inclusion and Exclusion Criteria
2.2. Study Protocol
- HPV DNA genotyping (CLART-2 HPV test® (Genomica, Madrid, Spain))
- Detection of E6/E7 mRNA from the 14 high-risk HPV types (APTIMA® HPV Assay, (Hologic, Marlborough, MA, USA)).
2.3. Statistical Analysis
3. Results
3.1. Demographic Data
3.2. Factors Related to HPV DNA
3.2.1. Univariate Analysis
3.2.2. Multivariate Analysis
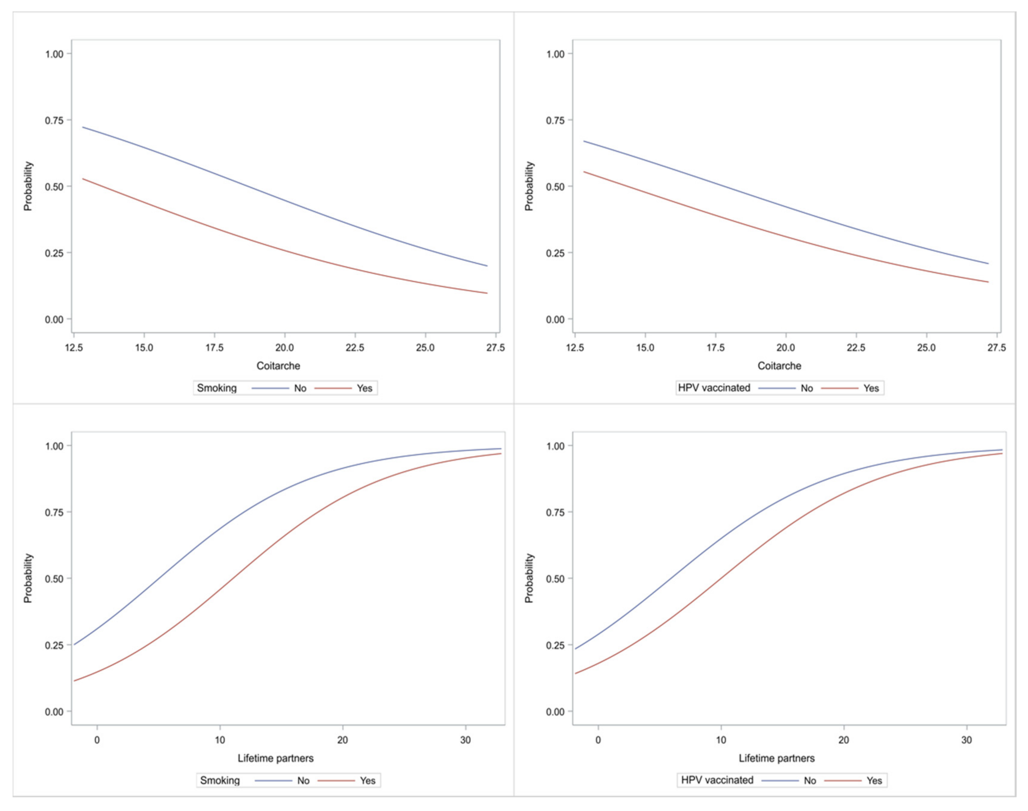
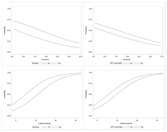
3.3. Factors Related to HPV mRNA Positivity
3.3.1. Univariate Analysis
3.3.2. Multivariate Analysis
3.4. Performance in Comparison to Histological Results
4. Discussion
5. Conclusions
Author Contributions
Funding
Institutional Review Board Statement
Informed Consent Statement
Data Availability Statement
Conflicts of Interest
References
- Sung, H.; Ferlay, J.; Siegel, R.L.; Laversanne, M.; Soerjomataram, I.; Jemal, A.; Bray, F. Global cancer statistics 2020: GLOBOCAN estimates of incidence and mortality worldwide for 36 cancers in 185 countries. CA Cancer J. Clin. 2021, 71, 209–249. [Google Scholar] [CrossRef]
- Vesco, K.K.; Whitlock, E.P.; Eder, M.; Burda, B.U.; Senger, C.A.; Lutz, K. Risk factors and other epidemiologic considerations for cervical cancer screening: A narrative review for the U.S. Preventive Services Task Force. Ann. Intern. Med. 2011, 155, 698–705. [Google Scholar] [CrossRef] [PubMed]
- Walboomers, J.M.; Jacobs, M.V.; Manos, M.M.; Bosch, F.X.; Kummer, J.A.; Shah, K.V.; Snijders, P.J.; Peto, J.; Meijer, C.J.; Muñoz, N. Human papillomavirus is a necessary cause of invasive cervical cancer worldwide. J Pathol. 1999, 189, 12–19. [Google Scholar] [CrossRef]
- Muñoz, N.; Franceschi, S.; Bosetti, C.; Moreno, V.; Herrero, R.; Smith, J.S.; Shah, K.V.; Meijer, C.J.; Bosch, F.X. Role of parity and human papillomavirus in cervical cancer: The IARC multicentric case-control study. Lancet 2002, 359, 1093–1101. [Google Scholar] [CrossRef]
- Moreno, V.; Bosch, F.X.; Muñoz, N.; Meijer, C.J.; Shah, K.V.; Walboomers, J.M.; Herrero, R.; Franceschi, S. Effect of oral contraceptives on risk of cervical cancer in women with human papillomavirus infection: The IARC multicentric case-control study. Lancet 2002, 359, 1085–1092. [Google Scholar] [CrossRef]
- Valasoulis, G.; Stasinou, S.M.; Nasioutziki, M.; Athanasiou, A.; Zografou, M.; Spathis, A.; Loufopoulos, A.; Karakitsos, P.; Paraskevaidis, E.; Kyrgiou, M. Expression of HPV-related biomarkers and grade of cervical intraepithelial lesion at treatment. Acta Obstet. Gynecol. Scand. 2013, 93, 194–200. [Google Scholar] [CrossRef]
- Ronco, G.; Dillner, J.; Elfstrom, K.M.; Tunesi, S.; Snijders, P.J.; Arbyn, M.; Kitchener, H.; Segnan, N.; Gilham, C.; Giorgi-Rossi, P.; et al. Efficacy of HPV-based screening for prevention of invasive cervical cancer: Follow-up of four European randomised controlled trials. Lancet 2014, 383, 524–532. [Google Scholar] [CrossRef]
- Melnikow, J.; Henderson, J.T.; Burda, B.U.; Senger, C.A.; Durbin, S.; Soulsby, M.A. U.S. Preventive Services Task Force Evidence Syntheses, formerly Systematic Evidence Reviews. In Screening for Cervical Cancer with High-Risk Human Papillomavirus Testing: A Systematic Evidence Review for the U.S. Preventive Services Task Force; Agency for Healthcare Research and Quality (US): Rockville, MD, USA, 2018. [Google Scholar]
- Tsakiroglou, M.; Bakalis, M.; Valasoulis, G.; Paschopoulos, M.; Koliopoulos, G.; Paraskevaidis, E. Women’s knowledge and utilization of gynecological cancer prevention services in the Northwest of Greece. Eur. J. Gynaecol. Oncol. 2011, 32, 178–181. [Google Scholar]
- Massad, L.S.; Einstein, M.H.; Huh, W.K.; Katki, H.A.; Kinney, W.K.; Schiffman, M.; Solomon, D.; Wentzensen, N.; Lawson, H.W. 2012 updated consensus guidelines for the management of abnormal cervical cancer screening tests and cancer precursors. J. Low. Genit. Tract Dis. 2013, 17, S1–S27. [Google Scholar] [CrossRef]
- Henry, M.R. The Bethesda System 2001: An update of new terminology for gynecologic cytology. Clin. Lab. Med. 2003, 23, 585–603. [Google Scholar] [CrossRef]
- Smith, J.H. Bethesda 2001. Cytopathol. Off. J. Br. Soc. Clin. Cytol. 2002, 13, 4–10. [Google Scholar] [CrossRef] [PubMed]
- Gomez-Roman, J.J.; Echevarria, C.; Salas, S.; González-Morán, M.A.; Perez-Mies, B.; García-Higuera, I.; Nicolás Martínez, M.; Val-Bernal, J.F. A type-specific study of human papillomavirus prevalence in cervicovaginal samples in three different Spanish regions. Apmis 2009, 117, 22–27. [Google Scholar] [CrossRef] [PubMed]
- Pecourt, M.; Gondry, J.; Foulon, A.; Lanta-Delmas, S.; Sergent, F.; Chevreau, J. Value of large loop excision of the transformation zone (LLETZ) without histological proof of high-grade cervical intraepithelial lesion: Results of a two-year continuous retrospective study. J. Gynecol. Obstet. Hum. Reprod. 2020, 49, 101621. [Google Scholar] [CrossRef]
- Tamposis, I.; Iordanidis, E.; Tzortzis, L.; Bountris, P.; Haritou, M.; Koutsouris, D.; Pouliakis, A.; Karakitsos, P. HPVGuard: A software platform to support management and prognosis of cervical cancer. In Proceedings of the 2014 4th International Conference on Wireless Mobile Communication and Healthcare—Transforming Healthcare Through Innovations in Mobile and Wireless Technologies (MOBIHEALTH), Athens, Greece, 3–5 November 2014; pp. 401–405. [Google Scholar]
- Tsiodras, S.; Hatzakis, A.; Spathis, A.; Margari, N.; Meristoudis, C.; Chranioti, A.; Kyrgiou, M.; Panayiotides, J.; Kassanos, D.; Petrikkos, G.; et al. Molecular epidemiology of HPV infection using a clinical array methodology in 2952 women in Greece. Clin. Microbiol. Infect. 2011, 17, 1185–1188. [Google Scholar] [CrossRef][Green Version]
- Argyri, E.; Tsimplaki, E.; Papatheodorou, D.; Daskalopoulou, D.; Panotopoulou, E. Recent Trends in HPV Infection and Type Distribution in Greece. Anticancer Res. 2018, 38, 3079–3084. [Google Scholar] [CrossRef] [PubMed]
- Plummer, M.; Herrero, R.; Franceschi, S.; Meijer, C.J.; Snijders, P.; Bosch, F.X.; de Sanjosé, S.; Muñoz, N. Smoking and cervical cancer: Pooled analysis of the IARC multi-centric case—Control study. Cancer Causes Control 2003, 14, 805–814. [Google Scholar] [CrossRef]
- Nagelhout, G.; Ebisch, R.M.; Van Der Hel, O.; Meerkerk, G.J.; Magnée, T.; De Bruijn, T.; Van Straaten, B. Is smoking an independent risk factor for developing cervical intra-epithelial neoplasia and cervical cancer? A systematic review and meta-analysis. Expert Rev. Anticancer Ther. 2021, 1–14. [Google Scholar] [CrossRef]
- Daponte, A.; Pournaras, S.; Tsakris, A. Self-sampling for high-risk human papillomavirus detection: Future cervical cancer screening? Women Health 2014, 10, 115–118. [Google Scholar] [CrossRef]
- Kostopoulou, E.; Samara, M.; Kollia, P.; Zacharouli, K.; Mademtzis, I.; Daponte, A.; Messinis, I.E.; Koukoulis, G. Different patterns of p16 immunoreactivity in cervical biopsies: Correlation to lesion grade and HPV detection, with a review of the literature. Eur. J. Gynaecol. Oncol. 2011, 32, 54–61. [Google Scholar]
- Kostopoulou, E.; Samara, M.; Kollia, P.; Zacharouli, K.; Mademtzis, I.; Daponte, A.; Messinis, I.E.; Koukoulis, G. Correlation between cyclin B1 immunostaining in cervical biopsies and HPV detection by PCR. Appl. Immunohistochem. Mol. Morphol. 2009, 17, 115–120. [Google Scholar] [CrossRef] [PubMed]
- Daponte, A.; Tsezou, A.; Oikonomou, P.; Hadjichristodoulou, C.; Maniatis, A.N.; Pournaras, S.; Messinis, I.E. Use of real-time PCR to detect human papillomavirus-16 viral loads in vaginal and urine self-sampled specimens. Clin. Microbiol. Infect. 2008, 14, 619–621. [Google Scholar] [CrossRef] [PubMed]
- Daponte, A.; Pournaras, S.; Mademtzis, I.; Hadjichristodoulou, C.; Kostopoulou, E.; Maniatis, A.N.; Messinis, I.E. Evaluation of HPV 16 PCR detection in self- compared with clinician-collected samples in women referred for colposcopy. Gynecol. Oncol. 2006, 103, 463–466. [Google Scholar] [CrossRef]
- Daponte, A.; Pournaras, S.; Mademtzis, I.; Hadjichristodoulou, C.; Kostopoulou, E.; Maniatis, A.N.; Messinis, I.E. Evaluation of high-risk human papillomavirus types PCR detection in paired urine and cervical samples of women with abnormal cytology. J. Clin. Virol. 2006, 36, 189–193. [Google Scholar] [CrossRef] [PubMed]
- Valasoulis, G.; Pouliakis, A.; Michail, G.; Kottaridi, C.; Spathis, A.; Kyrgiou, M.; Paraskevaidis, E.; Daponte, A. Alterations of HPV-Related Biomarkers after Prophylactic HPV Vaccination. A Prospective Pilot Observational Study in Greek Women. Cancers 2020, 12, 1164. [Google Scholar] [CrossRef]
- Dardiotis, E.; Siokas, V.; Garas, A.; Paraskevaidis, E.; Kyrgiou, M.; Xiromerisiou, G.; Deligeoroglou, E.; Galazios, G.; Kontomanolis, E.N.; Spandidos, D.A.; et al. Genetic variations in the SULF1 gene alter the risk of cervical cancer and precancerous lesions. Oncol. Lett. 2018, 16, 3833–3841. [Google Scholar] [CrossRef]
- Daponte, A.; Michail, G.; Daponte, A.I.; Daponte, N.; Valasoulis, G. Urine HPV in the Context of Genital and Cervical Cancer Screening—An Update of Current Literature. Cancers 2021, 13, 1640. [Google Scholar] [CrossRef]
- Agorastos, T.; Chatzistamatiou, K.; Katsamagkas, T.; Koliopoulos, G.; Daponte, A.; Constantinidis, T.; Constantinidis, T.C. Primary screening for cervical cancer based on high-risk human papillomavirus (HPV) detection and HPV 16 and HPV 18 genotyping, in comparison to cytology. PLoS ONE 2015, 10, e0119755. [Google Scholar] [CrossRef]
- Mnimatidis, P.; Pouliakis, A.; Valasoulis, G.; Michail, G.; Spathis, A.; Cottaridi, C.; Margari, N.; Kyrgiou, M.; Nasioutziki, M.; Daponte, A.; et al. Multicentric assessment of cervical HPV infection co-factors in a large cohort of Greek women. Eur. J. Gynaecol. Oncol. 2020, 41, 545–555. [Google Scholar] [CrossRef]
- Kyrgiou, M.; Stasinou, S.M.; Arbyn, M.; Valasoulis, G.; Ghaem-Maghami, S.; Martin-Hirsch, P.P.; Loufopoulos, A.D.; Karakitsos, P.J.; Paraskevaidis, E. Management of low-grade squamous intra-epithelial lesions of the uterine cervix: Repeat cytology versus immediate referral to colposcopy. Cochrane Database Syst. Rev. 2012, 2012. [Google Scholar] [CrossRef]
- Kyrgiou, M.; Valasoulis, G.; Founta, C.; Koliopoulos, G.; Karakitsos, P.; Nasioutziki, M.; Navrozoglou, I.; Dalkalitsis, N.; Paraskevaidis, E. Clinical management of HPV-related disease of the lower genital tract. Ann. N. Y. Acad. Sci. 2010, 1205, 57–68. [Google Scholar] [CrossRef]
- Valari, O.; Koliopoulos, G.; Karakitsos, P.; Valasoulis, G.; Founta, C.; Godevenos, D.; Dova, L.; Paschopoulos, M.; Loufopoulos, A.; Paraskevaidis, E. Human papillomavirus DNA and mRNA positivity of the anal canal in women with lower genital tract HPV lesions: Predictors and clinical implications. Gynecol. Oncol. 2011, 122, 505–508. [Google Scholar] [CrossRef] [PubMed]
- Salamalekis, E.; Pouliakis, A.; Margari, N.; Kottaridi, C.; Spathis, A.; Karakitsou, E.; Gouloumi, A.-R.; Leventakou, D.; Chrelias, D.; Valasoulis, G.; et al. An Artificial Intelligence Approach for the Detection of Cervical Abnormalities: Application of the Self Organizing Map. Int. J. Reliab. Qual. E-Healthc. 2019, 8, 15–35. [Google Scholar] [CrossRef]
- Karakitsos, P.; Chrelias, C.; Pouliakis, A.; Koliopoulos, G.; Spathis, A.; Kyrgiou, M.; Meristoudis, C.; Chranioti, A.; Kottaridi, C.; Valasoulis, G.; et al. Identification of women for referral to colposcopy by neural networks: A preliminary study based on LBC and molecular biomarkers. J. Biomed. Biotechnol. 2012, 2012, 303192. [Google Scholar] [CrossRef][Green Version]
- Stasinou, S.M.; Valasoulis, G.; Kyrgiou, M.; Malamou-Mitsi, V.; Bilirakis, E.; Pappa, L.; Deligeoroglou, E.; Nasioutziki, M.; Founta, C.; Daponte, A.; et al. Large loop excision of the transformation zone and cervical intraepithelial neoplasia: A 22-year experience. Anticancer Res. 2012, 32, 4141–4145. [Google Scholar]
- Tsoumpou, I.; Valasoulis, G.; Founta, C.; Kyrgiou, M.; Nasioutziki, M.; Daponte, A.; Koliopoulos, G.; Malamou-Mitsi, V.; Karakitsos, P.; Paraskevaidis, E. High-risk human papillomavirus DNA test and p16(INK4a) in the triage of LSIL: A prospective diagnostic study. Gynecol. Oncol. 2011, 121, 49–53. [Google Scholar] [CrossRef]
- Valasoulis, G.; Tsoumpou, I.; Founta, C.; Kyrgiou, M.; Dalkalitsis, N.; Nasioutziki, M.; Kassanos, D.; Paraskevaidis, E.; Karakitsos, P. The role of p16(INK4a) immunostaining in the risk assessment of women with LSIL cytology: A prospective pragmatic study. Eur. J. Gynaecol. Oncol. 2011, 32, 150–152. [Google Scholar]
- Nasioutziki, M.; Daniilidis, A.; Dinas, K.; Kyrgiou, M.; Valasoulis, G.; Loufopoulos, P.D.; Paraskevaidis, E.; Loufopoulos, A.; Karakitsos, P. The evaluation of p16INK4a immunoexpression/immunostaining and human papillomavirus DNA test in cervical liquid-based cytological samples. Int. J. Gynecol. Cancer 2011, 21, 79–85. [Google Scholar] [CrossRef]
- Koliopoulos, G.; Valasoulis, G.; Zilakou, E. An update review on HPV testing methods for cervical neoplasia. Expert Opin. Med. Diagn. 2009, 3, 123–131. [Google Scholar] [CrossRef]
- Lima, K.M.G.; Gajjar, K.; Valasoulis, G.; Nasioutziki, M.; Kyrgiou, M.; Karakitsos, P.; Paraskevaidis, E.; Martin Hirsch, P.L.; Martin, F.L. Classification of cervical cytology for human papilloma virus (HPV) infection using biospectroscopy and variable selection techniques. Anal. Methods 2014, 6, 9643–9652. [Google Scholar] [CrossRef]
- Purandare, N.C.; Trevisan, J.; Patel, I.I.; Gajjar, K.; Mitchell, A.L.; Theophilou, G.; Valasoulis, G.; Martin, M.; von Bunau, G.; Kyrgiou, M.; et al. Exploiting biospectroscopy as a novel screening tool for cervical cancer: Towards a framework to validate its accuracy in a routine clinical setting. Bioanalysis 2013, 5, 2697–2711. [Google Scholar] [CrossRef]
- Gajjar, K.; Ahmadzai, A.A.; Valasoulis, G.; Trevisan, J.; Founta, C.; Nasioutziki, M.; Loufopoulos, A.; Kyrgiou, M.; Stasinou, S.M.; Karakitsos, P.; et al. Histology verification demonstrates that biospectroscopy analysis of cervical cytology identifies underlying disease more accurately than conventional screening: Removing the confounder of discordance. PLoS ONE 2014, 9, e82416. [Google Scholar] [CrossRef]
- Dempsey, A.F. Human papillomavirus: The usefulness of risk factors in determining who should get vaccinated. Rev. Obstet. Gynecol. 2008, 1, 122–128. [Google Scholar]
- Kulkarni, A.; Tran, T.; Luis, C.; Raker, C.A.; Cronin, B.; Robison, K. Understanding Women’s Sexual Behaviors That May Put Them at Risk for Human Papillomavirus-Related Neoplasias: What Should We Ask? J. Low. Genit. Tract Dis. 2017, 21, 184–188. [Google Scholar] [CrossRef]
- de Sanjosé, S.; Brotons, M.; Pavón, M.A. The natural history of human papillomavirus infection. Best Pract. Res. Clin. Obstet. Gynaecol. 2018, 47, 2–13. [Google Scholar] [CrossRef]
- Giuliano, A.R.; Harris, R.; Sedjo, R.L.; Baldwin, S.; Roe, D.; Papenfuss, M.R.; Abrahamsen, M.; Inserra, P.; Olvera, S.; Hatch, K. Incidence, Prevalence, and Clearance of Type-Specific Human Papillomavirus Infections: The Young Women’s Health Study. J. Infect. Dis. 2002, 186, 462–469. [Google Scholar] [CrossRef]
- Trottier, H.; Ferreira, S.; Thomann, P.; Costa, M.C.; Sobrinho, J.S.; Prado, J.C.; Rohan, T.E.; Villa, L.L.; Franco, E.L. Human papillomavirus infection and reinfection in adult women: The role of sexual activity and natural immunity. Cancer Res. 2010, 70, 8569–8577. [Google Scholar] [CrossRef]
- Kyrgiou, M.; Pouliakis, A.; Panayiotides, J.G.; Margari, N.; Bountris, P.; Valasoulis, G.; Paraskevaidi, M.; Bilirakis, E.; Nasioutziki, M.; Loufopoulos, A.; et al. Personalised management of women with cervical abnormalities using a clinical decision support scoring system. Gynecol. Oncol. 2016, 141, 29–35. [Google Scholar] [CrossRef]
- Paraskevaidis, E.; Athanasiou, A.; Paraskevaidi, M.; Bilirakis, E.; Galazios, G.; Kontomanolis, E.; Dinas, K.; Loufopoulos, A.; Nasioutziki, M.; Kalogiannidis, I.; et al. Cervical Pathology Following HPV Vaccination in Greece: A 10-year HeCPA Observational Cohort Study. In Vivo 2020, 34, 1445–1449. [Google Scholar] [CrossRef]
- Tsagkas, N.; Bountris, P.; Paraskevaidi, M.; Anaforidou, E.; Loufopoulos, A.; Nasioutziki, M.; Bilirakis, E.; Haritou, M.; Koutsouris, D.D.; Raftis, N.; et al. A lifestyle based algorithm may predict CIN2+ in screened populatios. In Proceedings of the Annual Scientific Meeting of the BSCCP, Life Centre Events, Bradford, UK, 13–15 April 2016. [Google Scholar]
- Bountris, P.; Haritou, M.; Pouliakis, A.; Margari, N.; Kyrgiou, M.; Spathis, A.; Pappas, A.; Panayiotides, I.; Paraskevaidis, E.A.; Karakitsos, P.; et al. An intelligent clinical decision support system for patient-specific predictions to improve cervical intraepithelial neoplasia detection. BioMed Res. Int. 2014, 2014, 341483. [Google Scholar] [CrossRef]



| Characteristic | Value |
|---|---|
| Total population in the study (N) | 336 |
| Age (mean ± SD, minimum, maximum) | 28.8 ± 6.3, 18–48 |
| Smoking (N, %) | 124 (36.9%) |
| Parities (mean ± SD, minimum, maximum) | 0.16 ± 0.57, 0–3 |
| HPV vaccination (N,%) | 116 (34.52%) |
| Cervarix | 22 (18.97%) |
| Gardasil | 94 (81.03%) |
| Lifetime number of sexual partners (mean ± SD, minimum, maximum) | 6.0 ± 4.9, 1–30 |
| Percentage of condom use (mean ± SD, minimum, maximum) | 29.8% ± 32.1%, 0–100% |
| Change of sexual partner during the last year (N, %) | 56 (16.7%) |
| Test Papanicolaou results (N, %) | |
| NILM | 156 (46.4%) |
| LSIL (includes HPV) | 132 (39.3%) |
| ASCUS | 40 (11.9%) |
| HSIL | 8 (2.4%) |
| Colposcopy results (N, %) | |
| Negative colposcopy—Adequate/Normal colposcopic findings | 126 (37.5%) |
| LSIL (includes HPV) | 204 (60.7%) |
| HSIL | 6 (1.8%) |
| Histology results (N, %) | |
| Unavailable (No histological specimen obtained) * | 116 (34.5%) |
| Normal (Negative histology) | 42 (12.5%) |
| LSIL (includes HPV) | 170 (50.6%) |
| HSIL | 8 (2.4%) |
| Ca | 0 |
| HPV DNA result (N, %) | |
| Negative | 184 (54.8%) |
| Positive | 152 (45.2%) |
| HPV mRNA result (N, %) | |
| Negative | 244 (72.6%) |
| Positive | 92 (27.4%) |
| HPV DNA Positivity vs. Parameter Levels (N/%), HPV DNA Value in Rows | p | Odds Ratio (95%CI) | HPV mRNA Positivity vs. Parameter Levels (N/%), HPV mRNA Value in Rows | p | Odds Ratio (95%CI) | |
|---|---|---|---|---|---|---|
| LBC 1 | Negative: NILM (118/64.1%), Positive: NILM (38/25%) | <0.0001 | NA | Negative: NILM (147/60.3%), Positive: NILM (9/9.8%) | <0.0001 | NA |
| Negative: ASCUS (30/16.3%), Positive: ASCUS (10/6.6%) | Negative: ASCUS (34/13.9%), Positive: ASCUS (6/6.5%) | |||||
| Negative: LSIL (36/19.6%), Positive: LSIL (96/63.2%) | Negative: LSIL (63/25.8%), Positive: LSIL (69/75%%) | |||||
| Negative: HSIL (0/0%), Positive: HSIL (8/5.3%) | Negative: HSIL (0/0%), Positive: HSIL (8/8.7%) | |||||
| Abnormal LBC | Negative: 66/35.9% Positive: 114/75% | <0.0001 | 5.4 (3.3–8.6) | Negative: 97/39.8% Positive: 83/90.2% | <0.0001 | 14.0 (6.7–29.1) |
| LBC threshold | Negative: LSIL+ (36/19.6%) Positive: LSIL+ (104/68.4%), | <0.0001 | 8.9 (5.4–14.7) | |||
| Colposcopic Severity Findings | Negative: Negative (122/66.3%), LSIL (62/33.6%), HSIL (0/0%) Positive: Negative (4/2.6%), LSIL (142/93.4%), HSIL (6/3.9%) | <0.0001 | NA | Negative: Negative (126/51.6%), LSIL (118/48.4%), HSIL (0/0%), Positive: Negative (0/0%), LSIL (86/93.5%), HSIL (6/6.5%) | <0.0001 | NA |
| Abnormal colposcopy | Negative: 62/33.7% Positive: 148/97.4% | <0.0001 | 72.8 (25.8–205.8) | Negative: 118/48.3% Positive: 92/100% | <0.0001 | |
| HPV mRNA positive | Negative: 4/2.2% Positive: 88/57.9% | <0.0001 | 61.9 (21.8–175.4) | See left column | ||
| Lifetime Partners > 3 | Negative: 110/59.8% Positive: 112/73.7% | 0.0074 | 1.9 (1.2–3.0) | Negative: 152/62.3% Positive: 70/76.1% | 0.0173 | 1.9 (1.3–3.3) |
| Partner change during last year | Negative: 22/12% Positive: 34/22.4% | 0.0108 | 2.1 (1.2–3.8) | Negative: 40/16.4% Positive: 16/17.4% | 0.0479 | 1.1 (0.6–2.0) |
| Condom use | Negative: 74/40.2% Positive: 72/47.4% | 0.1881 | 1.3 (0.9–2.1) | Negative: 104/42.6% Positive: 42/45.7% | 0.2495 | 1.1 (0.7–1.8) |
| Smoking | Negative: 82/44.6% Positive: 42/27.6% | 0.0014 | 0.5 (0.3–0.8) | Negative: 100/41% Positive: 24/26.1% | 6.367 | 0.5082 (0.3–0.7) |
| HPV Vaccinated | Negative: 70/38% Positive: 46/30.3% | 0.1354 | 0.7 (0.4–1.1) | Negative: 94/38.5% Positive: 22/23.9% | 6.31 | 0.5 (0.3–0.7) |
| Cytological and Histological Cut Off | ≥LSIL | ≥HSIL |
|---|---|---|
| Sensitivity | 71.8% | 100.0% |
| Specificity | 87.5% | 87.8% |
| PPV | 60.7% | 16.7% |
| NPV | 92.1% | 100.0% |
| FPR | 12.5% | 12.2% |
| FNR | 28.2% | 0.0% |
| OA | 84.2% | 88.1% |
| Diagnostic Odds Ratio | 17.93 | NA |
| Colposcopical and Histological Cut Off | ≥LSIL | ≥HSIL |
|---|---|---|
| Sensitivity | 69.0% | 75.0% |
| Specificity | 83.0% | 100.0% |
| PPV | 52.1% | 100.0% |
| NPV | 90.9% | 99.4% |
| FPR | 17.0% | 0.0% |
| FNR | 31.0% | 25.0% |
| OA | 80.1% | 99.4% |
| Diagnostic Odds Ratio | 10.9 | NA |
Publisher’s Note: MDPI stays neutral with regard to jurisdictional claims in published maps and institutional affiliations. |
© 2021 by the authors. Licensee MDPI, Basel, Switzerland. This article is an open access article distributed under the terms and conditions of the Creative Commons Attribution (CC BY) license (https://creativecommons.org/licenses/by/4.0/).
Share and Cite
Valasoulis, G.; Pouliakis, A.; Michail, G.; Daponte, A.-I.; Galazios, G.; Panayiotides, I.G.; Daponte, A. The Influence of Sexual Behavior and Demographic Characteristics in the Expression of HPV-Related Biomarkers in a Colposcopy Population of Reproductive Age Greek Women. Biology 2021, 10, 713. https://doi.org/10.3390/biology10080713
Valasoulis G, Pouliakis A, Michail G, Daponte A-I, Galazios G, Panayiotides IG, Daponte A. The Influence of Sexual Behavior and Demographic Characteristics in the Expression of HPV-Related Biomarkers in a Colposcopy Population of Reproductive Age Greek Women. Biology. 2021; 10(8):713. https://doi.org/10.3390/biology10080713
Chicago/Turabian StyleValasoulis, George, Abraham Pouliakis, Georgios Michail, Athina-Ioanna Daponte, Georgios Galazios, Ioannis G. Panayiotides, and Alexandros Daponte. 2021. "The Influence of Sexual Behavior and Demographic Characteristics in the Expression of HPV-Related Biomarkers in a Colposcopy Population of Reproductive Age Greek Women" Biology 10, no. 8: 713. https://doi.org/10.3390/biology10080713
APA StyleValasoulis, G., Pouliakis, A., Michail, G., Daponte, A.-I., Galazios, G., Panayiotides, I. G., & Daponte, A. (2021). The Influence of Sexual Behavior and Demographic Characteristics in the Expression of HPV-Related Biomarkers in a Colposcopy Population of Reproductive Age Greek Women. Biology, 10(8), 713. https://doi.org/10.3390/biology10080713

