Abstract
In this study, the comparison of field retting of hemp fibres harvested at different growth stages (beginning and end of flowering, seed maturity) was studied. Regardless of the harvest period, identical evolution of the fibres’ properties was observed during retting. The main difference is the kinetics of this transformation, which depend on weather conditions and the initial state of the fibres after harvesting. Retting leads to a change in colour of the stems and fibres, an increase of the cellulose fraction and a gradual improvement of the fibres’ thermal stability, in relation with a decrease in the non-cellulosic materials. This process induces fibre bundle separation into elementary fibres. A long period (5 weeks) is required for getting the highest mechanical properties of fibres harvested at the beginning and the end of flowering. However, the retting of fibres harvested at seed maturity has to be performed in a short period (1 week) in order to avoid over-retting treatment. If the fibres are over-retted, their quality decreases in terms of structure and mechanical properties.
1. Introduction
Based on environmental concern, the interest in using the cellulosic fibres has increased in high grade composites in recent years. Plant fibres issued from hemp (Cannabis sativa L.) are part of these cellulosic fibres which could be used as an alternative of conventional fibres (e.g., glass and synthetic fibres) for manufacturing industry of low cost, low weight composite materials. This attraction of hemp fibres as reinforcement agents in composite is related to their high specific mechanical properties [1,2], their biodegradability [3,4], as well as their low-density [5]. However, there are a number of problems associated with the variation of the quality of these fibres in term of the morphology, chemical composition and physical properties, which results in a large variation in the mechanical properties of the fibres that can impact the quality of final composite material [6]. Many parameters are involved, such as the variety [7], the growth conditions (ground, weather) [8], the plant growth stage [9,10], and the traditional extraction and separation processes, e.g., retting [11,12,13].
Hemp fibre can be considered as a complex natural composite of cellulose microfibrils and matrix of amorphous polysaccharide, mainly composed of pectins and hemicelluloses. Indeed, the microfibrils of cellulose are embedded in a matrix of pectins and hemicelluloses, forming the different cell wall layers of an elementary fibre [2,14]. The elementary fibres are assembled together through their pectin middle lamella to form bundles of fibres [15]. For using these fibres in material composite, a separation of bundle of fibres to individual fibres or smaller fibres bundles is necessary for improving interfacial bonding between fibres and matrix, as well as for enhancing the mechanical properties of final composite [11,16,17]. For that purpose, a traditional treatment called retting process is usually used to ease the separation of the fibres. In Europe, the most widely used treatment is field retting (also known as dew-retting) because it is inexpensive and easy to be applied [18,19]. This treatment consists of cutting and leaving the hemp plants on the field so the microorganisms (fungi and bacteria) attack and colonize the stems, producing a wide range of enzymes, such as pectinolytic that lead to the removal of the components in the middle lamella (pectic substance) and allows the cortex fibres to be progressively separated [20,21,22]. Therefore, the field retting is a crucial step for the production of hemp fibres, but it is empirically realized in the field due to its dependence on the weather conditions (temperature, humidity) which could cause problems of the inconsistency of the hemp fibres quality. However, if this process is well controlled, much higher quality with more uniform fibres could be produced.
Hemp seed exploitation pushes the farmers to harvest the hemp plants during the seed maturity period. For this, the field retting is commonly performed at this step of plant development, which coincides with the autumn period. During this period (mainly with heavy rainfall), the control of the fibres’ quality is sometimes not easy and over retting can be rapidly reached. Placet et al. [12] reported that when the weather conditions did not allow for collecting the stems in time during retting, the stems undergo an unwanted and uncontrolled retting. In addition, they found after the comparison between unretted and 5 weeks-retted fibres that the prolongation of field retting under a very rainy retting period caused over-retted fibres with lower quality in terms of mechanical properties. In contrast, when the stems are retted in summer weather conditions, a long period of retting is required [13,22]. Thus, understanding the impact of field retting treatment on the fibres harvested at different initial states of hemp plant development is needed for getting composite materials with high performance.
Therefore, the purpose of this study was to compare the effect of the field retting on the properties of the fibres harvested at different growth stages under different conditions. Both qualitative and quantitative experimental techniques were used to survey the temporal dynamic of hemp fibres’ composition, microstructure, thermal and mechanical properties during retting of fibres.
2. Materials and Methods
2.1. Raw Material
2.1.1. Cultivation and Sampling
Hemp (Cannabis sativa L., Cultivar ‘Santhica 27’) was sown at rate of 35 kg/ha on 6 May 2016 in the south of France (N 44.130673°, E 4.315895°) by CIVAM Chanvre Gardois [22]. The hemp plants were harvested manually using a shear at three growth stages (beginning of flowering (BF), end of flowering (EF), seed maturity (SM)) (Figure 1). For each harvest period, at least 700 plants were harvested. The stems’ length during BF, EF and SM were 1.71 ± 0.09 m, 1.83 ± 0.10 m and 1.84 ± 0.09 m, respectively. After each harvest period, the plants were spread out in the field for retting, and then a weekly collection of retted stems was performed. Table 1 presents the retting duration and corresponding samples for each selected growth stage. Since morphological feature, chemical composition and mechanical properties depend on hemp stem sections [1,23,24], only the middle part of the stem was investigated [22] in order to limit the dispersion of the results.
Figure 1.
Hemp plant growth from 6 May 2016 to 23 September 2016.
Table 1.
Sample names of different retting duration for different harvest periods (BF, EF and SM).
2.1.2. Weather Conditions
A monitoring of temperature and relative humidity during retting of the stems harvested at different growth stages was carried out in the field using three hygro-bouton sensors (Progesplus, Carquefou, France) that were directly put in contact with the soil. In addition, daily average rainfall data were acquired from Météo France (weather station located at Méjannes-le-Clap, France (GPS: N44.221944°, E4.344722°)). As can be seen in Figure 2, the weather conditions were not similar during retting for each harvest period. The retting of the stems harvested at BF was mainly carried out during summer (25 July to 26 September 2016), whereas the stems harvested at EF were retted during two seasons (summer and autumn (16 August to 17 October 2016)). The retting of the stems harvested at SM was performed during autumn (23 September to 7 November 2016). The weather was hot during retting for the stems harvested at BF. Indeed, the average maximum and minimum temperature between the 1st and the 6th week were 47 °C and 17 °C, respectively, while during two last weeks of this period, they decreased to 26 °C and 14 °C, respectively. Between the 1st and the 4th week of retting of the stems harvested at EF, the weather was also hot, with an average maximum temperature of 49 °C and an average minimum temperature of 16 °C. From the 4th week to the end of the retting period of EF, the temperature decreased with an average maximum and minimum of 23 °C and 13 °C, respectively. Regarding the stems harvested at SM, the retting of this period was performed in cool weather, with an average maximum temperature of 17 °C and an average minimum temperature of 10 °C. The distribution of rainfall and humidity was not homogeneous during the retting period of the stems harvested at BF and EF, contrarily to the retting period of stems of SM. The average relative humidity during retting of the stems harvested at BF, EF and SM was 62%, 64% and 75%, respectively. During retting of the stems harvested at BF and EF, there was little rainfall during 9 weeks. Indeed, between the 1st and 6th week of retting, the sum of rainfall was 32 mm for BF and 95 mm for EF, while, after the 7th week until last sample collection, it was higher, 82 mm for BF and 162 mm for EF. Concerning, the retting period of the stems harvested at SM, the rainfall was more homogeneously distributed. There was rainfall almost each week throughout the retting period. The sum of rainfall during the 6 weeks of retting period of the stem of SM is 215 mm.
Figure 2.
Daily minimum and maximum temperature, relative humidity and rainfall during retting of the stems harvested at different growth stages (BF, EF and SM).
2.2. Experimental Methods
2.2.1. Visual Aspect
The colour change of the stems and fibres issued from different retting durations for each harvest period (BF, EF and SM) was visually evaluated. The extraction of the fibres from the stems was manually performed using a razor blade and flat files.
2.2.2. Microscopic Observations
The surface change of stems during retting was observed through scanning electron microscopy (ESEM) using an environmental scanning electron microscope Quanta FEG 200 (FEI, Merignac, France) with a magnification of x500 and x1000.
The effect of the plant development stage (BF, EF and SM) and retting duration on the morphology of the stem were examined using the optical microscopy (Leica Laborlux 11 POL S) equipped with a 1600 × 1200 pixels mono-CCD Sony digital camera. The cross sections of the stems were cut manually, then coated in an epoxy resin (Geofix® resin (ESCIL, Chassieu, France)) and subsequently polished using different fine polishing papers (600, 2400 and 4000 grade) to obtain smooth samples. The Archimed® software was used in order to record digital images (Figure 3) to realize qualitative and quantitative analyses. Morphological features were measured, including stem diameter, thickness of epidermis, primary fibre layer, secondary fibres layer and xylem.
Figure 3.
Cross section of hemp stem (EL: epidermis layer, PFL: Primary fibres layer, SFL: secondary fibres layer).
2.2.3. Biochemical Analysis
The biochemical analyses were done using two methods described in details in our recent work [22], one based on solvent extractions to quantify cellulose, lignin and lipophilic extractives contents according to several ASTM test methods (ASTM D 1107-56, ASTM D 1104-56, ASTM D 1103-60, ASTM D 1106-56 and ASTM D 1102-84), the other based on spectrophotometry to determine the pectins content.
2.2.4. X-Ray Diffraction
The X-Ray diffraction (XDR) analyses were conducted on X-ray (XRD, AXS D8 Advance Bruker) diffractometer equipped with Cu-Kα radiation (λ = 1.54 Å). Measurements were performed on cut and compressed fibres (disks of 25 mm in diameter and 2 mm in thickness). X-ray diffractograms were recorded within an angle range of 2θ from 5° to 70° with a scanning rate of 0.01 °/s. The crystalline order index (CI) was determined from X-ray diffractograms using a deconvolution method [22]. Individual peaks were extracted by a curve fitting process using Origin® software assuming Gaussian functions. Crystalline peak areas (Ic) and amorphous broad peak area (Iam) were used to determinate the crystallinity index (CI) according to Equation (1).
2.2.5. Thermogravimetric Analysis
Fibres collected at different harvest periods (BF, EF and SM) and retted at different times were analyzed using a Perkin-Elmer Pyris-1 thermal analysis system (PerkinElmer, USA). Samples of 8 mg were heated in nitrogen environment from 30 °C to 700 °C at the rate of 10 °C/min. At least two samples of each batch were carried out. The thermogravimetric mass loss (TG) and mass loss derivate (DTG) were recorded as a function of temperature.
2.2.6. Tensile Test of Fibre Bundles
The tensile characteristics of the fibres were measured using a micro-tensile testing instrument from DiaStron Ltd. (Diastron Ltd., Hampshire, UK) [22]. Before the tensile tests, the epidermis was manually peeled using a razor blade, and then the fibre bundles were extracted carefully from the stems. The fibre bundles were first glued on one-part plastic tab using UV-curing glue (DYMAX ultra-light weld, DYMAX Europe GmbH, Wiesbaden, Germany). Then, the fibre bundles diameters were determined using an automated laser scanning device FDAS 765 (Diastron Ltd., Hampshire, UK). Fibres horizontally rotated within the laser beam at 21 slices along the fibre axis. The mean, the minimum and the maximum diameters for each slice were recorded in a dimensional report exported by UvWin® 3.60 software. Thus, the mean of each slice along the fibre was averaged to calculate the effective cross-sectional area assuming that the fibre bundle had a circular shape. After that, the fibre bundles were automatically transported to the mini-tensile testing device (Diastron LEX810 system (Diastron Ltd., Hampshire, UK)) equipped with a 20 N capacity load cell. The samples were conditioned at a constant temperature (23 °C) and relative humidity (48%). The gauge length was 12 mm and the crosshead displacement rate was 1.2 mm.min−1. Approximately 30 specimens were tested for each treatment. The force to stress conversion was based on the aforementioned effective cross-sectional area. Young’s modulus (slope of linear zone of the curve), the tensile strength and the strain at break were determined using the obtained curve of force (Gram-Force) as function of displacement.
The statistics analyses were carried out using ANalysis of VAriance (ANOVA) and Tukey multiple comparison test at a significant level of 5%.
3. Results and Discussion
3.1. Colour Change
The colour change of the stems and the fibres issued from different retting times for examined harvest periods (BF, EF and SM) was visually evaluated. As can be observed in the photograph (Figure 4), the colour varies with plant growth and also during field retting. For BF and EF, the colour of the unretted samples was light green, contrarily to the stems and fibres harvested at SM that were transformed into yellow. This variation of the color from green to yellow after maturity is presumably due to the change in the light depth penetration in the photosynthetic tissues. Indeed, the chlorophyll that is responsible for the green colour was decomposed with the partial retention of carotenoids that emit a yellow colour [25,26,27].
Figure 4.
Photographs of variation of the colour during field retting of stems and fibres harvested at different periods (BF, EF and SM).
During the retting of samples harvested at BF and EF, the colour changed between light green for unretted samples (R0), yellow for low retted samples (R1 to R3), yellow with the existence of grey fibres for medium retted samples (R4 and R5) and dark grey for highly retted samples (R9). In contrast, for the samples of SM, the colour only changed from yellow (R0) to dark grey (R5). The fibres harvested at BF and EF required 9 weeks to be completely dark grey, while only 3 weeks were needed for the fibres harvested at SM. This indicates that the retting of the samples collected at SM was fast due to weather conditions (rainy retting period) and the aging of the stems at this stage. In contrast, as described in Section 2.1.2, the retting of stems harvested at BF and EF was performed under dry weather conditions, allowing the observation of a slow and gradual colour transition during retting of these periods.
This colour transition is typical during field retting, even for other natural fibres such as flax fibres [11,28]. The colour variation from yellow to grey for the fibres is related to the development of microbial communities (fungal and bacteria [29,30,31] at stem surface. In addition, during field retting, black spots appeared and increased on the stems surface until the colour of the stems became black. The ESEM images (Figure 5) of the stems harvested at SM (for example) reveal that the black spots are attributed to the development of microbial communities at the stem surface during field retting. The microbial communities would start to colonize the surface of stems harvested at SM after 1 week of retting (R1SM) and gradually cover the entire stems after 3 weeks (R3SM). However, for BF and EF periods, large coverage of the stem surface by microorganisms was observed after 9 weeks of retting [22].
Figure 5.
ESEM images of the surface change during field retting of the stems harvested at SM.
3.2. Biochemical Composition
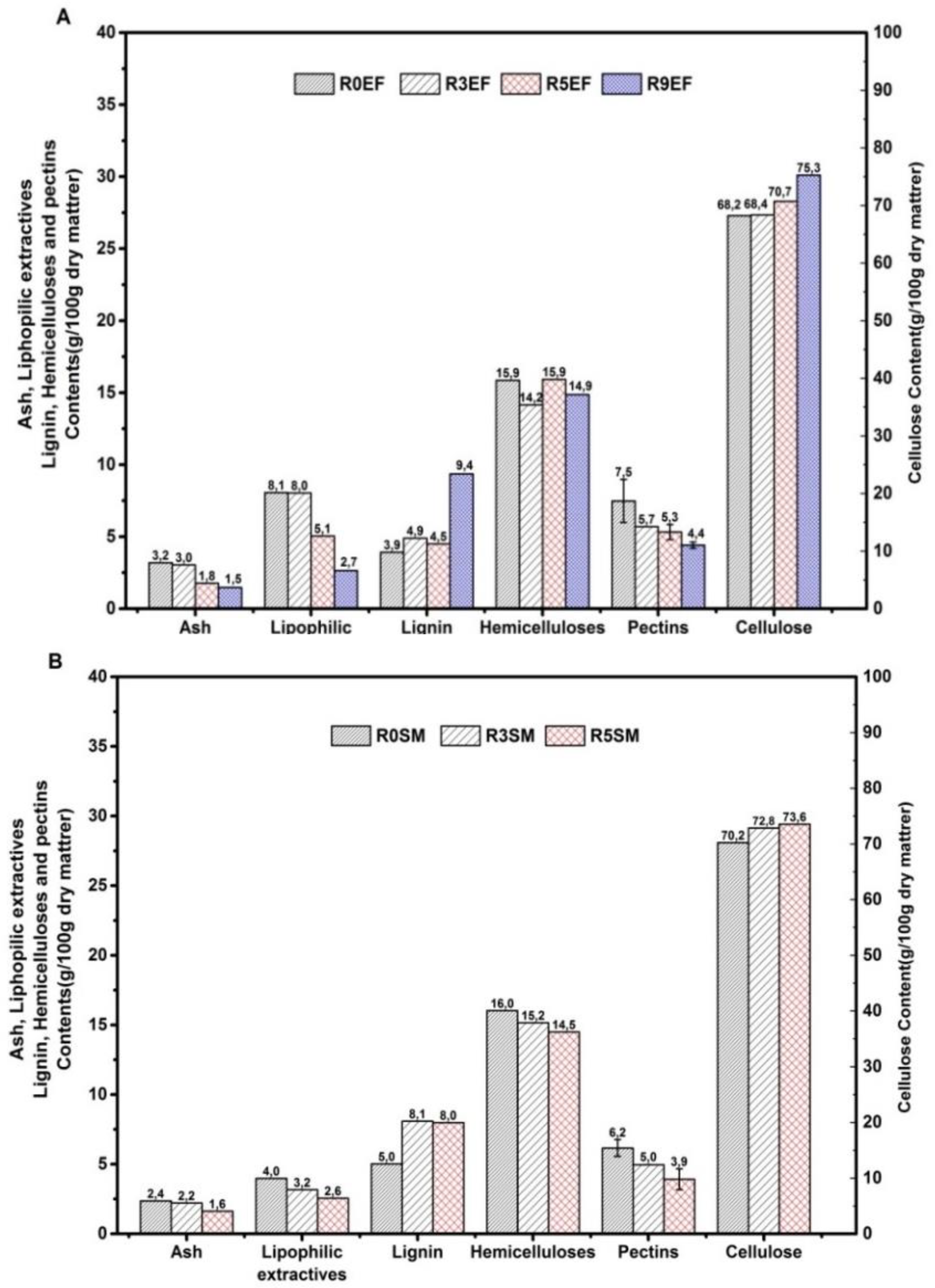
The evolution of relative biochemical composition as a function of retting duration is presented in Figure 6 for fibres harvested in the EF and SM period. The evolution for fibres harvested at BF growth stage was detailed in a previous paper [22]. The results show that the biochemical variation depends on both the harvest period and the retting duration.
Figure 6.
Ash, lignin, lipophilic extractives, hemicelluloses, cellulose and lignin, pectins contents as a function of field retting duration for fibres harvested at (A) end of flowering (EF) and (B) at seed maturity (SM).
For all the harvest periods, a gradual increase of cellulose content could be observed during field retting. The cellulose increased from 63% to 77% after 9 retting weeks for fibres harvested at the BF period [22], and from 68% to 75% after 9 retting weeks for fibres harvested at EF period, whereas it increased from 70% to 74% after 5 retting weeks for fibres harvested at SM period. In addition, an increase of the cellulose content can be noted from 63% to 68% then to 70% over the growth period from BF to EF and then to SM, respectively. As the quantification of cellulose content is relative, thus, its variation is related to the change of content of other components. The pectins content decreased during retting for fibres harvested at BF (from 7.8% for R0BF to 4.1% for R9BF) [22], for those harvested at EF (from 7.5% for R0EF to 4.4% for R9EF) and finally, those harvested during the SM period (6.2% for R0SM to 3.9% for R5SM). Moreover, a decrease of the pectins content can be noted from 7.8% to 7.5%, then to 6.2% during the growth period from BF to EF then to SM, respectively. A slight reduction in hemicelluloses content was given in evidence with increasing of retting duration (14.1% to 11.6% between R0BF and R9BF, 15.7% to 14.9% between R0EF and R9EF and 16.0% to 14.5% between R0SM and R5SM). Nykter et al. [32] used the same extraction method and found an identical tendency of these components after enzymatic treatments. The gradual degradation of pectins is consistent with data reported by Meijer et al. [33] and Musialak et al. [34] during field retting. As regards Liu et al. [13], these authors pointed out an increase of cellulose content at early stage of field retting with a decrease of non-cellulosic components (pectins and hemicelluloses).
Figure 6 shows also a decrease in minerals (ash) and lipophilic extractives (waxes, fats, resins) content during the retting of fibres harvested during the BF [22], EF and SM periods. Ash contents decreased from 4.2% for R0BF to 1.5% for R9BF, from 3.2% for R0EF to 1.5% for R9EF and from 2.3% for R0SM to 1.6% for R5SM. Lipophilic extractives contents decreased from 14.9% for R0BF to 4.1% for R9BF, from 8.6% for R0EF to 2.7% for R9EF and from 4.0% for R0SM to 2.6% for R5SM. Fibres harvested at BF and EF period have the highest content of these components compared to that of fibres harvested during the SM period. This might justify the long retting period of fibres harvested at the BF and EF growth stages, since the high presence of lipophilic extractives (waxes) and green fresh odour could be an obstacle to the retting process by reducing its efficiency, and thereby, increases its duration. Foulk et al. [35] reported that the presence of wax on the cuticle forms a protective barrier against entry of infection agents into the plant. The lignin content increased during field retting time for fibres harvested at BF [22], EF and SM periods (from 3.1% for R0BF to 5.1% for R9BF, from 3.9% for R0EF to 9.3% for R9EF and from 5.0% for R0SM to 8.0% for R5SM). This result is in agreement with Liu et al. [13] and Placet et al. [12], who reported that during field retting, the lignin content increased due to a lower rate degradation of lignin compared to the other components (lipophilic extractives, ash and carbohydrates) that are removed at the same time. Placet et al. [12] suggested another explanation. Indeed, other phenolic or protein components evolved during retting might be also measured through the used Klason method. On the other hand, this increase could be related to the fibres’ extraction method from the stems. Indeed, the different parts of the stems (e.g., epidermis, xylem) may become weaker with the increase of the field retting time. Therefore, when fibres are extracted from the retted stems, micro-residuals xylem (shives) could be still bounded to the fibres and overestimate the real variation of lignin during retting treatment. This variation in biochemical composition is due to both biofilm growth (ESEM investigations) and the metabolic activity of microorganisms during hemp fibres retting [29,30].
3.3. Cellulose Crystallinity
In addition to the biochemical analysis, the influence of field retting on the cellulose organization of fibres harvested during the EF and SM periods was characterized using X-ray diffraction. X-ray diffractograms of the fibres gathered at different retting duration for EF and SM periods were obtained after an XRD analysis (Figure 7). All the samples exhibit three defined peaks that are located at 2θ diffraction angles of 14.8°, 16.2° and 22.6°, and which correspond to crystallographic planes of cellulose type I: (101), ) and (002), respectively. The XRD patterns show that the intensity of the crystalline peak rose with the field retting process for both fibres harvested during the EF and SM periods, as previously observed for fibres harvested during the BF period. When the crystalline cellulose content is high, peaks at around 14° and around 16° are quite separated. But when the fibres contain a higher amount of amorphous phase (e.g., for unretted fibres), these two peaks merged and appeared as one broad peak [36]. Furthermore, in order to quantify these differences, the crystalline order index (CI) was determined from X-ray diffractograms using a deconvolution method described in the Materials and Methods Section. Table 2 presents CI values for hemp fibres harvested during the EF and SM periods showing a gradual increase with the field retting duration from 58% to 69% and from 64% to 73% for fibres harvested during the EF and SM periods, respectively. This was also noticed during field retting of hemp fibres harvested during the BF period with an increase from 53% to 73% [22]. The high value of CI of unretted fibres harvested at SM (R0SM) compared that of unretted fibres (R0EF) is not surprising, since according to the results of the biochemical analysis, the cellulose content of R0SM is higher than that of R0EF. The increase in CI was also noticed by Li et al. [37], who compared green hemp fibres, 1-week retted fibres and 2-week retted fibres using bag retting treatment. They found that the CI evolved from 66% for hemp green fibres to 85% for retted hemp fibres, respectively. Zafeiropoulos et al. [38] reported an increase of CI from 65% to 72% after a field retting of flax fibres. This increase of CI could be explained by the degradation of non-cellulosic compounds during retting enabling packing of cellulose chains. Indeed, a high amount of amorphous constituents presented between the cellulose micro-fibrils causes disoriented areas, which could undesirably influence the crystallinity of the cellulose micro-fibrils. The change in cellulose fraction, and in cellulose structure, as well as its degree of crystallization, may have a direct impact on the mechanical properties [6,39,40,41].
Figure 7.
X-ray diffractograms of the fibres collected at different retting duration for EF and SM periods.
Table 2.
Evolution of crystallinity order index during retting of fibres harvested at EF and SM.
3.4. Thermal Stability
A thermogravimetric analysis (TGA) was carried out in order to assess the influence of field retting duration on the thermal performance of the fibres harvested at different hemp plant growth stages. Figure 8 shows the curves of TGA and DTGA obtained from different retting durations of fibres harvested during the EF and SM periods. Results for fibres harvested at BF growth stage were detailed in a previous paper [22]. In general, there are three stages of decomposition in TGA curves (Figure 8A,C). The initial weight loss at about 30–100 °C is due to the evaporation of the absorbed moisture. The second at about 230–260 °C is related to the decomposition of non-cellulosic components (pectins and hemicelluloses) and the third stage at 335 °C is attributed to the decomposition of major component of fibres (cellulose). This process of decomposition of the fibres is consistent with data reported in literature [12,22,42,43,44].
Figure 8.
TGA (A) and DTGA (B) curves of fibres harvested at EF (R0EF) and retted at different times (R3EF, R5EF and R9EF). TGA (C) and DTGA (D) of fibres harvested at SM (R0SM) and retted at different times (R3SM, R5SM).
In TGA curves, peaks are superimposed on a temperature scale, thus, by calculating the derivative of the weight loss as a function of temperature (Figure 8B,D). The decomposition process of the fibres can be clearly observed in this case. From the peak with the highest intensity, it can be seen that the increase in the retting duration led to an increase of the decomposition temperature of the fibres, from 337 °C to 359 °C for R0BF and R9BF, from 323 °C to 357 °C for R0EF and R9EF and from 350 °C to 367 °C for R0SM and R5SM. This emphasized a higher thermal stability for high retted fibres, as confirmed by the literature [12,44,45]. As the field retting of the fibres harvested at EF was long, the increase of the decomposition temperature of the fibres was gradual and slow. In contrast, for the fibres harvested at SM, the increase in the decomposition temperature of the fibres was rapid and high. In addition to the retting treatment, it can also be observed that the R0SM fibres displayed a higher decomposition temperature (350 °C) when compared to R0EF fibres (323 °C). The peak intensity (shoulder peak) of the pectins and hemicelluloses decreased as a function of the retting duration. This is related to their partial degradation during field retting. However, this peak is not visible when the hemp fibres are highly retted, indicating that non-cellulosic components were quasi-totally removed. The previously described increase in cellulose temperature decomposition can also be related to the removal of non-cellulosic components (amorphous materials). This phenomenon brings a higher structural order of cellulose with strong intramolecular and molecular hydrogen bonds that need a higher degradation temperature to be broken down [43,44].
3.5. Morphology
The evolution in plant morphology of hemp during three growth stages (BF, EF and SM) was investigated. Hemp stems contained different layers, as already described by number of authors [13,46,47]. They are organized from the stem pith toward the surface by central woody core (xylem designed as X), cambium, cortex (including both primary -and secondary fibres noted PFB and SFB respectively) and epidermis (called E). During growth from the beginning of flowering to the maturity of the plant, a variation in the morphological characteristics of the plant occurs, but the same organization of layers is always observed. The diameters of the unretted stems harvested during the BF, EF and SM periods, and before retting were 5.7 ± 0.7 mm, 6.1 ± 0.5 mm and 6.5 ± 0.1 mm, respectively. This increase is associated to the variation of the layers thickness of different parts of the stem. This study shows that the morphological features of hemp stem depend on the harvest period (Figure 9). During plant growth from BF to SM, the thickness of bast fibres and of xylem layers increased. This change is particularly related to the increase in secondary fibres layer (SFL) thickness from 20 µm for BF to 40 µm for SM, while no significant variation of the thickness of primary fibres layer (PFL) and epidermis layer (EL) were observed with the growth period. This result was already reported by Liu et al. [13] and Mediavilla el al. [9]. Tanja Schäfer. [46] pointed out that dry weather conditions result in a higher presence of secondary fibres in the hemp stem.
Figure 9.
Morphological features (bast fibres, xylem, and central void). EL: Epidermis layer, PFL: primary fibres layer, SFL: secondary fibres layer of hemp stem depending on harvest period before retting.
The impact of field retting duration on the morphology of the hemp fibres was then qualitatively analyzed. Figure 10 shows the optical microscope micrographs of cross-sections of unretted (R0EF) and retted hemp stems (R3EF, R5EF and R9EF) collected at the end of flowering. When the hemp stem is unretted (R0EF), the structure of different layers of the stem is intact and well organized. The fibres are gathered in the form of a bundle and the lumen of the elementary fibres cannot be distinctly observed. Since that field retting period of stems harvested at EF was long and slow, no high difference could be observed after 3 weeks (R3EF) of retting at the level of bast fibre. In contrast, after 5 weeks of retting (R5EF), the structure of stem changed. The primary and secondary fibre bundles were separated into smaller fibres bundles, resulting in more open spaces between the fibre bundles. When the stems were highly retted (R9EF), the structure of the stem was affected by field retting. The epidermis layer was deformed and removed. The bundles of fibres were completely separated into elementary fibres (EF) and their lumen (L) is clearly visible. A similar evolution of the morphology of the hemp fibres during the field retting process was observed in our recent work [22] for stems harvested at BF. Overall, whatever the growth period, the same evolution of the morphology of the hemp fibres during field retting process is highlighted. The bast fibre bundles are separated (i) from the central woody core and epidermis (ii) and into smaller bundles or individual fibres.
Figure 10.
Optical microscope micrographs of cross sections of R0EF, R3EF, R5EF, R9EF; E: epidermis; PFB: primary fibre bundles; SFB: secondary fibre bundles; ML: middle lamella; L: lumen; EF: elementary fibres; X: xylem.
This change in morphology during retting is due to the microorganisms’ activities that would allow the removal of intercellular cementing components (pectins and lipids extractives) in agreement with the biochemical analyses. This separation of the fibres into smaller bundles or elementary fibres during field retting would have a positive effect on the mechanical properties of hemp fibres as reinforcements in composites [11,16,17].
3.6. Tensile Properties
In order to evaluate the influence of field retting on the hemp fibres harvested at different growth stages (BF, EF and SM), the mechanical properties of the fibre bundles were characterized by micro-tensile tests. As shown in Figure 11A, the fibre bundle diameters selected for each batch were approximately between 100 and 240 µm with a median value at about 160 µm so that it was possible to compare relatively the results of micro-tensile tests. Figure 11A–D presents the tensile properties (tensile strength, Young’s modulus and strain at failure) of the fibre bundles extracted at the different growth stages and retted at different times.
Figure 11.
Scattegram of measured bundle fibres diameters for each batch (A); Box plots of tensile strength (B), Young’s modulus (C), and stain at break (D) for unretted and retted fibres harvested at BF, EF and SM. The back crosses and red line correspond to the means and medians, respectively.
As concerns the influence of the growth stage, an increase of all the mechanical characteristics (considering median values) with plant growth can be observed. Indeed the tensile strength increased from 174 MPa for the R0BF to 331 MPa for R0EF and then reached up to 352 MPa for R0SM. Fibres harvested at BF (R0BF) have a lower tensile strength than that of the fibres harvested during the EF and SM periods, while no significant difference (p > 0.05) is observed between R0EF and R0SM. Young’s modulus increased significantly from 8 GPa for R0BF to 13 GPa for R0EF and R0SM. A similar trend is observed for strain at break. It increased significantly from 2.4% to 3.2% and 3.4% for fibres harvested during the BF, EF and SM periods, respectively. According to these results, it can be concluded that the main improvement of tensile properties occurred between the fibres extracted at the end of flowering (R0EF) and the beginning of flowering (R0BF), as just a slight increase was observed for fibres collected at the seed maturity period (R0SM). This change in tensile properties during plant growth might be due to the variation in the biochemical composition, fibres morphology and fibres extraction. Indeed, the increase of cellulose fraction with growth stage could play a key role in increasing mechanical performance [6,23]. Moreover, Goudenhooft et al. [10] highlighted that the morphology of the fibres could also impact the mechanical performance. They reported an increase of the mechanical properties of flax fibres during plant development. Another explanation could be attributed to the fibres’ damage by the manual decortication of the fibres from the stems. It was visually noticed that the hand extraction of the fibres after removing the epidermis was easier for fibres collected during the EF and SM periods compared to BF. This means that there was less generation of micro-defects during extraction of the fibres harvested at EF and SM. Keller et al. [9] reported that harvest at seed maturity led to easier decortication and a high tensile strength of hemp fibres.
In addition to this comparison of tensile properties of the initial state of the fibres after the BF, EF and SM harvest periods, a variation in the mechanical performance during retting treatment of hemp fibres was also observed for these selected growth stage. The tensile strength of the hemp fibres of BF increased from 174 MPa for unretted fibres (R0BF) to 342 MPa after 5 weeks of retting (R5BF), and then a slight decrease to 324 MPa was observed after 9 weeks of field retting (R9BF) (extended field retting). Young’s modulus of increased significantly (p < 0.05) from 8 GPa for unretted hemp fibres (R0BF) to around 12 GPa for retted hemp fibres (R5BF and R9BF). Likewise, the strain at failure increased significantly (p < 0.01) from 2.4% for unretted fibres (R0BF) to 2.8%, 3.4%, and 3.3% for retted hemp fibres R3BF, R5BF and R9BF, respectively.
The trend evolution of the tensile properties of the fibres harvested at EF is identical to those of BF, although some interesting differences are noted. In particular, the fibres harvested at EF exhibited higher mechanical properties during retting. The tensile strength, Young’s modulus and strain at failure of fibres harvested at EF increased, respectively, from 331 MPa, 13 GPa and 3.2% for R0EF to 487 MPa, 17 GPa and 3.4% for R5EF and then decreased significantly to 323 MPa, 13 GPa and 2.8%, respectively, for R9EF. Concerning the results of the fibres harvested at SM, no significant difference can be noticed for the tensile strength, even though it tended to decrease from 352 MPa for R0SM to 282 MPa for R5SM. No apparent change could be observed for Young’s modulus, contrarily to the strain of failure that decreased gradually and significantly from 3.5% for R0SM to 2.4% for R5SM. Whatever the plant growth stage, a maximum of tensile properties is reached after five weeks and then reduced with an extended of field retting.
During field retting of all the examined harvest periods, the cellulose fraction and the cellulose chain packing order were improved due to the removal of non-cellulosic materials, which could bring better tensile performances [39,40,41]. However, since hemp fibres can be seen as a natural composite of cellulose microfibrils and a matrix of non-cellulosic components, the mechanical properties are not only governed by cellulose and crystallinity index, but also by the coherence between the cellulose and non-cellulosic components [48]. Therefore, a high degradation of non-cellulosic components with extended retting duration (over-field retting), might override the influence of the increased cellulose and crystallinity and thereby, result in lower tensile properties. In addition, generally, with increasing retting duration, the cementing compounds that bind different parts of the stem are gradually removed by microorganisms. This allows an easier hand separation of the bast fibres from the ligneous shives and limits the engendering of the micro-defects in the fibres.
These results clearly indicate that the mechanical properties of the hemp fibres depend on the plant growth period and the retting duration which is governed by the weather conditions. The retting periods of fibres harvested at BF and EF were long because they were carried out under dry weather conditions, contrarily to the retting period of fibres harvested at SM that performed under rainy weather conditions. Therefore, a long period (5 weeks) is required to obtain the highest mechanical properties of fibres harvested at BF and EF. However, the retting of fibres harvested at SM has to be done in a short period (around 1 week) in order to avoid over-retting treatment. In a recent work, Placet et al. [49], compared three times (10, 39 and 75 days) of field retting of hemp fibres and found that the mechanical properties of single hemp fibres increased at the early stage and then decreased with prolonged field retting. Liu et al. [13] also showed that a negative effect of field retting occurred with extended retting duration due to the high rate degradation of cellulose by microorganisms. To this end, according to the results obtained in this study, in order to avoid an under- and over-retting treatment, it would be judicious to choose the end of flowering period for two reasons: (i) the tensile properties of the initial state of the fibres after harvesting were high (ii) the retting period coincides with two seasons (summer and autumn) which allows the mastering of retting mechanisms.
4. Conclusions
A comparison of the effect of field retting duration on the properties of the hemp fibres harvested at different growth stages (beginning of flowering, end of flowering, and seed maturity) was examined in this work. The retting of these periods was performed under different weather conditions.
The fibres harvested at BF and EF showed a similar evolution in colour change from light green for unretted samples (R0), yellow for low retted samples (R1 to R3), yellow with the presence of grey fibres for medium retted samples (R4 and R5) and grey for highly retted samples (R9). However, for the seed maturity (SM) period, the colour transition from yellow to dark grey was rapid (3 weeks). This colour change is related to weather conditions and the development of microorganisms at surface stem (ESEM images).
TGA, biochemical and XRD measurements showed an increase of cellulose fraction and its degree of crystallinity during retting for all the examined harvest periods. Nonetheless, the kinetics of this variation were not identical during retting of each examined harvest periods, since each harvest period was field retted with specific climatic conditions. Furthermore, during plant development, the cellulose fraction was increased (e.g., from 68% for R0EF to 70% for R0SM) with the removal of non-cellulosic materials. The increase of cellulose during retting led to a progressive improvement of thermal stability. The fibres harvested at SM exhibit a better thermal stability compared to that of the fibres harvested at BF and EF, due to the high cellulose fraction present in the fibres at plant maturity. The change in the biochemical composition, especially the degradation of cementing components (e.g., pectins and lipids) during retting led to the removal of epidermal and parenchyma cells, resulting in the separation of bundle of fibres to individual elementary fibres.
The tensile properties increased during the retting of fibres harvested at BF and EF to a maximum value (after 5 weeks) and decreased at the end of retting. As concern the fibres harvested at SM, the stems started to be slightly retted before even being harvested, thus, under the very rainy retting period, the tensile properties decreased progressively and slightly. The increase of the cellulose fraction and the cellulose chain packing order allows better tensile performances of the fibres before reaching over-retting. When non-cellulosic materials are highly degraded, the coherence between the cellulose microfibrils and non-cellulosic matrix becomes weaker and thereby, results in lower tensile properties.
Then, in order to avoid an under- and over-retting treatment, it seems to be judicious to control both criteria: initial intrinsic characteristics of the fibres at the harvesting period and during the retting process as retting kinetics are closely linked with climatic conditions. From these data, reliable tools could be provided for farmers in order to better manage the retting process. The improvement of dew-retting management could lead to the development of composite material with a highly reproducible performance.
Author Contributions
A.B., J.-C.B. and L.M. and designed the research. B.M. performed the research, analyzed the data and wrote the manuscript. All authors read the manuscript and approved it.
Funding
This research received no external funding
Acknowledgments
The authors are grateful to the CIVAM Chanvre Gardois association (Bouquet, France) for their collaboration to conduct this study in their field.
Conflicts of Interest
The authors declare no conflict of interest.
References
- Duval, A.; Bourmaud, A.; Augier, L.; Baley, C. Influence of the sampling area of the stem on the mechanical properties of hemp fibers. Mater. Let. 2011, 65, 797–800. [Google Scholar] [CrossRef]
- Bourmaud, A.; Beaugrand, J.; Shah, D.U.; Placet, V.; Baley, C. Towards the design of high-performance plant fibre composites: How can we best define the diversity and specificities of plant cell walls? Prog. Mater. Sci. 2018, 97, 347–408. [Google Scholar] [CrossRef]
- Islam, M.S.; Pickering, K.L.; Foreman, N.J. Influence of alkali fiber treatment and fiber processing on the mechanical properties of hemp/epoxy composites. J. Appl. Polym. Sci. 2010, 21, 449–456. [Google Scholar] [CrossRef]
- Stamboulis, A.; Baillie, C.A.; Peijs, T. Effects of environmental conditions on mechanical and physical proprties of flax fibers. Compos. Part A 2001, 32, 1105–1115. [Google Scholar] [CrossRef]
- Aziz, S.H.; Ansell, M.P. The effect of alkalization and fibre alignment on the mechanical and thermal properties of kenaf and hemp bast fibre composites: Part 1-polyester resin matrix. Compos. Sci. Technol. 2004, 64, 1219–1230. [Google Scholar] [CrossRef]
- Mazian, B.; Bergeret, A.; Benezet, J.-C.; Malhautier, L. Impact of field retting and accelerated retting performed in a lab-scale pilot unit on the properties of hemp fibres/polypropylene biocomposites. Ind. Crops Prod. 2020, 143, 111912. [Google Scholar] [CrossRef]
- Marrot, L.; Lefeuvre, A.; Pontoire, B.; Bourmaud, A.; Baley, C. Analysis of the hemp fiber mechanical properties and their scattering (Fedora 17). Ind. Crops Prod. 2013, 51, 317–327. [Google Scholar] [CrossRef]
- Van der Werf, H.M.G.; Wijlhuizen, M.; de Schutter, J.A.A. Plant density and self-thinning affect yield and quality of fibre hemp (Cannabis sativa L.). Fields Crops Res. 1995, 40, 153–164. [Google Scholar] [CrossRef]
- Mediavilla, V.; Leupin, M.; Keller, A. Influence of the growth stage of industrial hemp on the yield formation in relation to certain fibre quality traits. Ind. Crops Prod. 2001, 13, 49–56. [Google Scholar] [CrossRef]
- Goudenhooft, C.; Siniscalco, D.; Arnould, O.; Bourmaud, A.; Sire, O.; Gorshkova, T.; Baley, C. Investigation of the mechanical properties of flax cell walls during plant development: The relation between performance and cell wall structure. Fibers 2018, 6, 6. [Google Scholar] [CrossRef]
- Martin, N.; Mouret, N.; Davies, P.; Baley, C. Influence of the degree of retting of flax fibers on the tensile properties of single fibers and short fiber/polypropylene composites. Ind. Crops Prod. 2013, 49, 755–767. [Google Scholar] [CrossRef]
- Placet, V.; Day, A.; Beaugrand, J. The influence of unintended field retting on the physicochemical and mechanical properties of industrial hemp bast fibres. J. Mater. Sci. 2017, 52, 5759–5777. [Google Scholar] [CrossRef]
- Liu, M.; Fernando, D.; Daniel, G.; Madsen, B.; Meyer, A.S.; Ale, M.T.; Thygesen, A. Effect of harvest time and field retting duration on the chemical composition, morphology and mechanical properties of hemp fibers. Ind. Crops Prod. 2015, 69, 29–39. [Google Scholar] [CrossRef]
- Hearle, J.W. The fine structure of fibers and crystalline. J. Appl. Polym. Sci. 1963, 7, 1175–1192. [Google Scholar] [CrossRef]
- Crônier, D.; Monties, B.; Chabbert, B.R. Structure and chemical composition of bast fibers isolated from developing hemp stem. J. Agric. Food Chem. 2005, 53, 8279–8289. [Google Scholar] [CrossRef]
- Li, Y.; Pickering, K.L.; Farrell, R.L. Analysis of green hemp fibre reinforced composites using bag retting and white rot fungal treatments. Ind. Crops Prod. 2009, 29, 420–426. [Google Scholar] [CrossRef]
- Sisti, L.; Totaro, G.; Vannini, M.; Fabbri, P.; Kalia, S.; Zatta, A.; Celli, A. Evaluation of the retting process as a pre-treatment of vegetable fibers for the preparation of high-performance polymer biocomposites. Ind. Crops Prod. 2016, 81, 56–65. [Google Scholar] [CrossRef]
- Paridah, M.T.; Basher, A.B.; SaifulAzry, S.; Ahmed, Z. Retting process of some bast plant fibres and its effect on fibre quality: A review. BioResources 2011, 6, 5260–5281. [Google Scholar]
- Bacci, L.; Di Lonardo, S.; Albanese, L.; Mastromei, G.; Perito, B. Effect of different extraction methods on fiber quality of nettle (Urtica dioica L.). Text. Res. J. 2011, 81, 827–837. [Google Scholar] [CrossRef]
- Akin, D.E.; Condon, B.; Sohn, M.; Foulk, J.A.; Dodd, R.B.; Rigsby, L.L. Optimization for enzyme-retting of flax with pectate lyase. Ind. Crops Prod. 2007, 25, 136–146. [Google Scholar] [CrossRef]
- Henriksson, G.; Akin, D.E.; Hanlin, R.T.; Rodriguez, C.; Archibald, D.D.; Rigsby, L.L.; Eriksson, K.L. Identification and retting efficiencies of fungi isolated from dew-retted flax in the United States and europe. Appl. Environ. Microbiol. 1997, 63, 3950–3956. [Google Scholar]
- Mazian, B.; Bergeret, A.; Benezet, J.-C.; Malhautier, L. Influence of field retting duration on the biochemical, microstructural, thermal and mechanical properties of hemp fibres harvested at the beginning of flowering. Ind. Crops Prod. 2018, 116, 170–181. [Google Scholar] [CrossRef]
- Charlet, K.; Baley, C.; Morvan, C.; Jernot, J.P.; Gomina, M.; Bréard, J. Characteristics of Hermès flax fibres as a function of their location in the stem and properties of the derived unidirectional composites. Compos. Part A Appl. Sci. Manuf. 2007, 38, 1912–1921. [Google Scholar] [CrossRef]
- Liu, M.; Fernando, D.; Meyer, A.S.; Madsen, B.; Daniel, G.; Thygesen, A. Characterization and biological depectinization of hemp fibers originating from different stem sections. Ind. Crops Prod. 2015, 76, 880–891. [Google Scholar] [CrossRef]
- Hörtensteiner, S. The loss of green color during chlorophyll degradation—A prerequisite to prevent cell death? Planta 2004, 219, 191–194. [Google Scholar] [CrossRef]
- Merzlyak, M.N.; Gitelson, A. Why and what for the leaves are yellow in autumn? On the interpretation of optical spectra of senescing leaves (Acerplatanoides L.). J. Plant Physiol. 1995, 145, 315–320. [Google Scholar] [CrossRef]
- Matile, P. Biochemistry of indian summer: Physiology of autumnal leaf coloration. Exp. Gerontol. 2000, 35, 145–158. [Google Scholar] [CrossRef]
- Pallesen, B.E. The quality of combine-harvested fibre flax for industrials purposes depends on the degree of retting. Ind. Crops Prod. 1996, 5, 65–78. [Google Scholar] [CrossRef]
- Ribeiro, A.; Pochart, P.; Day, A.; Mennuni, S.; Bono, P.; Baret, J.; Spadoni, J.; Mangin, I. Microbial diversity observed during hemp retting. Appl. Microbiol. Biotechnol. 2015, 99, 4471–4484. [Google Scholar] [CrossRef]
- Liu, M.; Ale, M.T.; Kołaczkowski, B.; Fernando, D.; Daniel, G.; Meyer, A.S.; Thygesen, A. Comparison of traditional field retting and Phlebia radiata Cel 26 retting of hemp fibres for fibre-reinforced composites. AMB Express 2017, 7, 58. [Google Scholar] [CrossRef]
- Bleuze, L.; Lashermes, G.; Alavoine, G.; Recous, S.; Chabbert, B. Tracking the dynamics of hemp dew retting under controlled environmental conditions. Ind. Crops Prod. 2018, 123, 55–63. [Google Scholar] [CrossRef]
- Nykter, M.; Kyma, H.; Belinda, A.; Lilholt, H.; Thygesen, A. Effects of thermal and enzymatic treatments and harvesting time on the microbial quality and chemical composition of fibre hemp (Cannabis sativa L.). Biomass Bioenergy. 2008, 32, 392–399. [Google Scholar] [CrossRef]
- Meijer, W.J.M.; Vertregt, N.; Rutgers, B.; van de Waart, M. The pectin content as a measure of the retting and rettability of flax. Ind. Crops Prod. 1995, 4, 273–284. [Google Scholar] [CrossRef]
- Musialak, M.; Wróbel-Kwiatkowska, M.; Kulma, A.; Starzycka, E.; Szopa, J. Improving retting of fibre through genetic modification of flax to express pectinases. Transgenic Res. 2008, 17, 133–147. [Google Scholar] [CrossRef]
- Foulk, J.A.; Akin, D.E.; Dodd, R.B. Processing techniques for improving enzyme-retting of flax. Ind. Crops Prod. 2001, 13, 239–248. [Google Scholar] [CrossRef]
- Tserki, V.; Zafeiropoulos, N.E.; Simon, F.; Panayiotou, C. A study of the effect of acetylation and propionylation surface treatments on natural fibres. Compos. Part A Appl. Sci. Manuf. 2005, 36, 1110–1118. [Google Scholar] [CrossRef]
- Li, Y.; Pickering, K.L.; Farrell, R.L. Determination of interfacial shear strength of white rot fungi treated hemp fibre reinforced polypropylene. Compos. Sci. Technol. 2009, 69, 1165–1171. [Google Scholar] [CrossRef]
- Zafeiropoulos, N.E.; Baillie, C.A.; Matthews, F.L. Study of transcrystallinity and its effect on the interface in flax fibre reinforced composite materials. Compos. Part A Appl. Sci. Manuf. 2001, 32, 525–543. [Google Scholar] [CrossRef]
- Sawpan, M.A.; Pickering, K.L.; Fernyhough, A. Effect of various chemical treatments on the fibre structure and tensile properties of industrial hemp fibres. Compos. Part A Appl. Sci. Manuf. 2011, 42, 888–895. [Google Scholar] [CrossRef]
- Bledzki, A.; Gassan, J. Composites reinforced with cellulose based fibres. Prog. Polym. Sci. 1999, 24, 221–274. [Google Scholar] [CrossRef]
- Placet, V.; Trivaudey, F.; Cisse, O.; Gucheret-Retel, V.; Boubakar, M.L. Diameter dependence of the apparent tensile modulus of hemp fibres: A morphological, structural or ultrastructural effect? Compos. Part A Appl. Sci. Manuf. 2012, 43, 275–287. [Google Scholar] [CrossRef]
- Ghetti, P.; Ricca, L.; Angelini, L. Thermal analysis of biomass and corresponding pyrolysis products. Fuel 1996, 75, 565–573. [Google Scholar] [CrossRef]
- Ouajai, S.; Shanks, R.A. Composition, structure and thermal degradation of hemp cellulose after chemical treatments. Polym. Degrad. Stab. 2005, 89, 327–335. [Google Scholar] [CrossRef]
- Kabir, M.M.; Wang, H.; Lau, K.T.; Cardona, F. Effects of chemical treatments on hemp fibre structure. Appl. Surf. Sci. 2013, 276, 13–23. [Google Scholar] [CrossRef]
- Manikandan Nair, K.C.; Thomas, S.; Groeninckx, G. Thermal and dynamic mechanical analysis of polystyrene composites reinforced with short sisal fibres. Compos. Sci. Technol. 2001, 61, 2519–2529. [Google Scholar] [CrossRef]
- Tanja Schäfer, B.H. Effect of sowing date and plant density on the cell morphology of hemp (Cannabis sativa L.). Ind. Crops Prod. 2006, 23, 88–98. [Google Scholar]
- Réquilé, S.; Goudenhooft, C.; Bourmaud, A.; Le Duigou, A.; Baley, C. Exploring the link between flexural behaviour of hemp and flax stems and fibre stiffness. Ind. Crops Prod. 2018, 113, 179–186. [Google Scholar] [CrossRef]
- Bourmaud, A.; Morvan, C.; Bouali, A.; Placet, V.; Perré, P.; Baley, C. Relationships between micro-fibrillar angle, mechanical properties and biochemical composition of flax fibers. Ind. Crops Prod. 2013, 44, 343–351. [Google Scholar] [CrossRef]
- Placet, V.; François, C.; Day, A.; Beaugrand, J.; Ouagne, P. Industrial hemp transformation for composite applications: Influence of processing parameters on the fibre properties. Adv. Nat. Fibre Compos. 2018, 13–25. [Google Scholar]
© 2019 by the authors. Licensee MDPI, Basel, Switzerland. This article is an open access article distributed under the terms and conditions of the Creative Commons Attribution (CC BY) license (http://creativecommons.org/licenses/by/4.0/).










