Barley Straw Fiber Extraction in the Context of a Circular Economy
Abstract
:1. Introduction
1.1. Barley’s Anatomy
1.2. Barley’s Harvesting and Usage
2. Materials and Methods
2.1. Barley Variety
2.2. Biomass Pretreatments and Fiber Extraction
2.3. Fiber Testing
3. Results and Discussion
3.1. Biomass Pretreatment
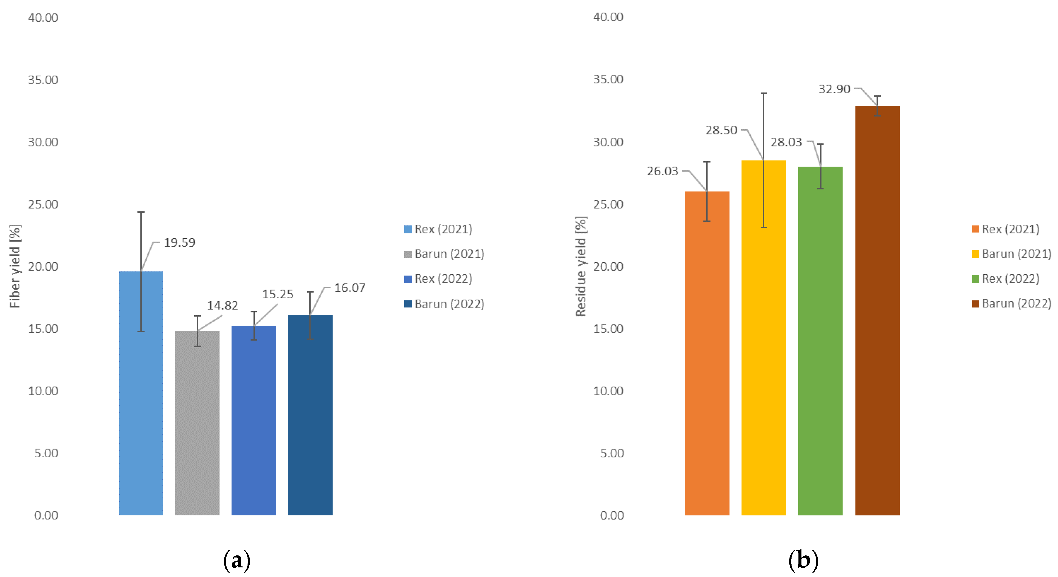
3.2. Fiber and Residue Yield
3.3. Tensile Properties
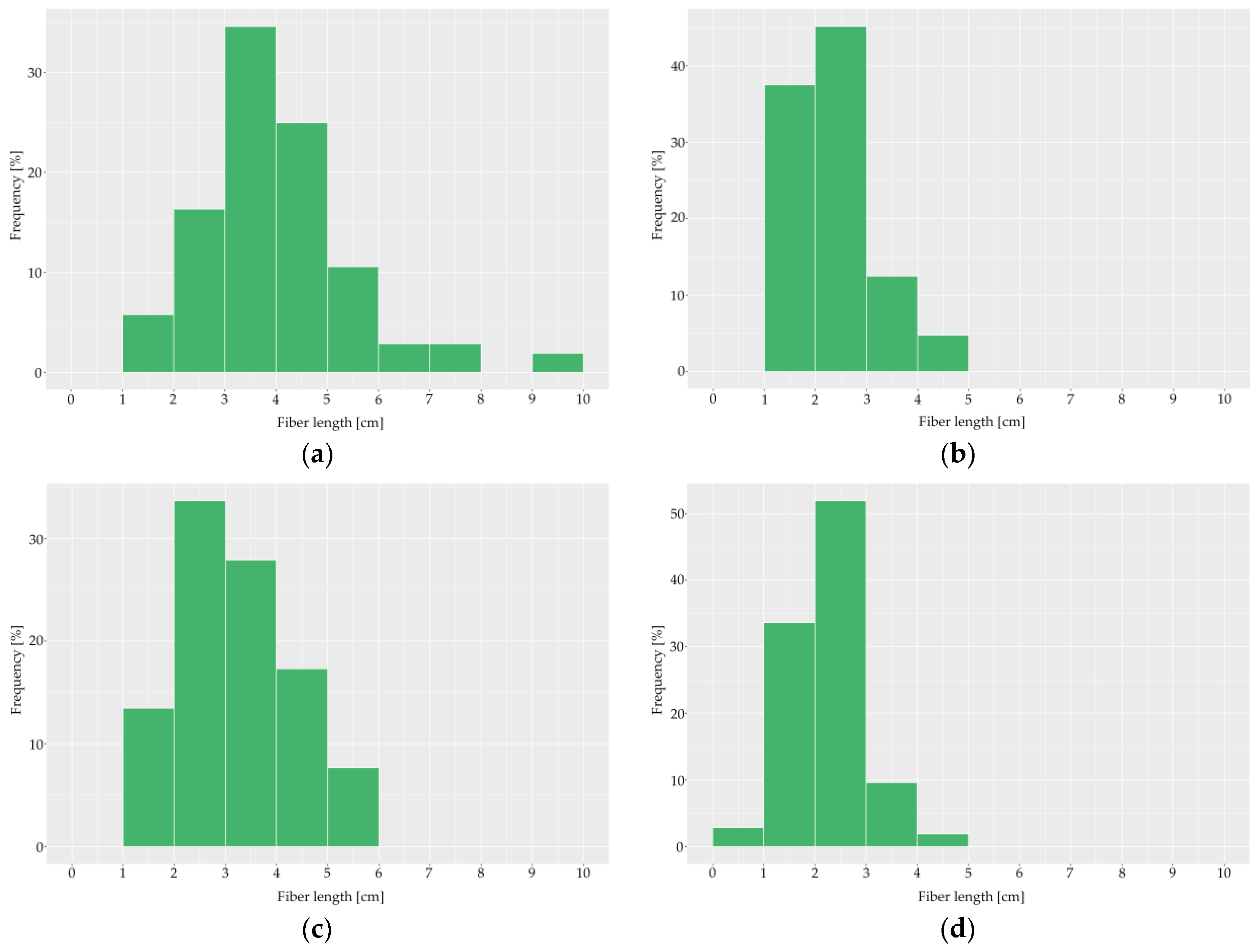
3.4. Fiber Length
3.5. Moisture Content and Moisture Regain
3.6. Fiber Density
3.7. Fiber Morphology
3.8. Chemical Composition
3.8.1. Cellulose, Hemicellulose, and Lignin Content
3.8.2. FTIR
| Wavenumber (cm−1) | Vibration | Sources |
|---|---|---|
| 3200–3400 | OH stretching | Cellulose and hemicellulose |
| 2917–2919, 2850–2852 | C-H symmetrical stretching | Cellulose and hemicellulose |
| 1740 | C=O stretching vibration | Pectin and waxes |
| 1640 | OH bending of absorbed water | Water |
| 1574–1605 | Aromatic skeletal vibrations and C=O stretch | Lignin |
| 1543 and 1510–1515 | C=C aromatic symmetrical stretching | Lignin |
| 1456 | C-H and C-O deformations, bending or stretching vibrations in lignin and carbohydrates | Cellulose, hemicellulose, and lignin |
| 1425 | HCH and OCH in-plane bending vibration | Cellulose |
| 1368 | In-plane CH bending | Cellulose and hemicellulose |
| 1335 | C-H vibrations and O-H in-plane bending | Cellulose and hemicellulose |
| 1316–1318 | CH2 rocking vibration | Cellulose |
| 1230–1263 | C=O and S and G ring stretching | Lignin |
| 1204 | C-O-C symmetric stretching | Cellulose and hemicellulose |
| 1159 | C-O-C asymmetrical stretching | Cellulose and hemicellulose |
| 1105 | C-O-C glycosidic ether | Cellulose |
| 1051, 1030, and 1000 | C-C, C-OH, C-H ring, and side group vibrations | Cellulose and hemicellulose |
| 985 | C-O valence vibrations | Cellulose |
| 897 | COC, CCO, and CCH deformation and stretching | Cellulose |
| 836 | Out-of-plane aromatic CH | Lignin |
| 781 | Deformation vibrations of C-H bonds associated with aromatic rings | Lignin |
4. Conclusions
Author Contributions
Funding
Data Availability Statement
Acknowledgments
Conflicts of Interest
References
- Dalla Fontana, G.; Mossotti, R.; Montarsolo, A. Assessment of microplastics release from polyester fabrics: The impact of different washing conditions. Environ. Pollut. 2020, 264, 113960. [Google Scholar] [CrossRef]
- Giraldo, P.; Benavente, E.; Manzano-Agugliaro, F.; Gimenez, E. Worldwide research trends on wheat and barley: A bibliometric comparative analysis. Agronomy 2019, 9, 352. [Google Scholar] [CrossRef]
- Britannica: Poales. Available online: https://www.britannica.com/plant/Poales (accessed on 31 August 2023).
- Pourkheirandish, M.; Komatsuda, T. The importance of barley genetics and domestication in a global perspective. Ann. Bot. 2007, 100, 999–1008. [Google Scholar] [CrossRef]
- Geng, L.; Li, M.; Zhang, G.; Ye, L. Barley: A potential cereal for producing healthy and functional foods. Food Qual. Saf. 2022, 6, fyac012. [Google Scholar] [CrossRef]
- Newman, C.W.; Newman, R.K. A brief history of barley foods. Cereal Foods World 2006, 51, 4–7. [Google Scholar] [CrossRef]
- Wendler, N. Unlocking the Secondary Gene Pool of Barley for Breeding and Research. Ph.D. Dissertation, Naturwissenschaftlichen Fakultät III Agrar- und Ernährungswissenschaften, Geowissenschaften und Informatik, der Martin-Luther-Universität, Halle-Wittenberg, Germany, 25 January 2016. [Google Scholar] [CrossRef]
- Reid, D.A. Morphology and anatomy of the barley plant. In Barley, 1st ed.; Rasmusson, D.C., Ed.; American Society of Agronomy, Inc.: Madison, WI, USA; Crop Science Society of America, Inc.: Madison, WI, USA; Soil Science Society of America, Inc.: Madison, WI, USA, 1985; Volume 26, pp. 73–101. [Google Scholar] [CrossRef]
- Zohary, D.; Hopf, M. Domestication of Pulses in the Old World: Legumes were companions of wheat and barley when agriculture began in the Near East. Science 1973, 182, 887–894. [Google Scholar] [CrossRef] [PubMed]
- Mamun, A.A.; Heim, H.P.; Bledzki, A.K. The use of maize, oat, barley and rye fibres as reinforcements in composites. In Biofiber Reinforcements in Composite Materials; Faruk, O., Sain, M., Eds.; Woodhead Publishing: Cambridge, UK, 2015; pp. 454–487. [Google Scholar] [CrossRef]
- EMEP/EEA Emission Inventory Guidebook 2013. 3. F Field Burning of Agricultural Residues. Available online: https://www.eea.europa.eu/publications/emep-eea-guidebook-2013/part-b-sectoral-guidance-chapters/4-agriculture/3-f-field-burning (accessed on 20 September 2023).
- Chilakamarry, C.R.; Sakinah, A.M.; Zularisam, A.W.; Sirohi, R.; Khilji, I.A.; Ahmad, N.; Pandey, A. Advances in solid-state fermentation for bioconversion of agricultural wastes to value-added products: Opportunities and challenges. Bioresour. Technol. 2022, 343, 126065. [Google Scholar] [CrossRef] [PubMed]
- Awogbemi, O.; Von Kallon, D.V. Pretreatment techniques for agricultural waste. Case Stud. Chem. Environ. Eng. 2022, 6, 100229. [Google Scholar] [CrossRef]
- Bala, S.; Garg, D.; Sridhar, K.; Inbaraj, B.S.; Singh, R.; Kamma, S.; Tripathi, M.; Sharma, M. Transformation of agro-waste into value-added bioproducts and bioactive compounds: Micro/nano formulations and application in the agri-food-pharma sector. Bioengineering 2023, 10, 152. [Google Scholar] [CrossRef]
- Borrega, M.; Hinkka, V.; Hörhammer, H.; Kataja, K.; Kenttä, E.; Ketoja, J.A.; Palmgren, R.; Salo, M.; Sundqvist-Andberg, H.; Tanaka, A. Utilizing and Valorizing Oat and Barley Straw as an Alternative Source of Lignocellulosic Fibers. Materials 2022, 15, 7826. [Google Scholar] [CrossRef]
- Gunjan; Chopra, L.; Manikanika. Extraction of cellulose from agro-waste—A short review. Mater. Today Proc. 2023, in press. [Google Scholar] [CrossRef]
- Panthapulakkal, S.; Sain, M. The use of wheat straw fibres as reinforcements in composites. In Biofiber Reinforcements in Composite Materials; Faruk, O., Sain, M., Eds.; Woodhead Publishing: Cambridge, UK, 2015; pp. 423–453. [Google Scholar] [CrossRef]
- Fortunati, E.; Benincasa, P.; Balestra, G.M.; Luzi, F.; Mazzaglia, A.; Del Buono, D.; Puglia, D.; Torre, L. Revalorization of barley straw and husk as precursors for cellulose nanocrystals extraction and their effect on PVA_CH nanocomposites. Ind. Crops Prod. 2016, 92, 201–217. [Google Scholar] [CrossRef]
- Cruz, R.M.; Krauter, V.; Krauter, S.; Agriopoulou, S.; Weinrich, R.; Herbes, C.; Scholten, P.; Uysal-Unalan, I.; Sogut, E.; Kopacic, S.; et al. Bioplastics for Food Packaging: Environmental Impact, trends and regulatory aspects. Foods 2022, 11, 3087. [Google Scholar] [CrossRef]
- Schildbach, R. Barley worldwide. J. Inst. Brew. 1986, 92, 11–20. [Google Scholar] [CrossRef]
- Koutous, A.; Hilali, E. Reinforcing rammed earth with plant fibers: A case study. Case Stud. Constr. Mater. 2021, 14, e00514. [Google Scholar] [CrossRef]
- Reddy, N.; Yang, Y. Biofibers from Agricultural Byproducts for Industrial Applications. Faculty Publications—Textiles, Merchandising and Fashion Design. Available online: https://digitalcommons.unl.edu/textiles_facpub/28 (accessed on 17 October 2023).
- Meyer, G.; Okudoh, V.; van Rensburg, E. A rumen based anaerobic digestion approach for lignocellulosic biomass using barley straw as feedstock. S. Afr. J. Chem. Eng. 2022, 41, 98–104. [Google Scholar] [CrossRef]
- Bouasker, M.; Belayachi, N.; Hoxha, D.; Al-Mukhtar, M. Physical characterization of natural straw fibers as aggregates for construction materials applications. Materials 2014, 7, 3034–3048. [Google Scholar] [CrossRef] [PubMed]
- Nguyen, H.S.H.; Phan, H.H.; Huynh, H.K.P.; Nguyen, S.T.; Nguyen, V.T.T.; Phan, A.N. Understanding the effects of cellulose fibers from various pre-treated barley straw on properties of aerogels. Fuel Process. Technol. 2022, 236, 107425. [Google Scholar] [CrossRef]
- Juarez, M.; Sanchez, R.; Espinosa, E.; Dominguez-Robles, J.; Bascon-Villegas, I.; Rodriguez, A. Environmentally friendly lignocellulose nanofibres from barley straw. Cellul. Chem. Technol. 2018, 52, 589–595. [Google Scholar]
- Vargas, F.; Gonzales, Z.; Rojas, O.; Garrote, G.; Rodriguez, A. Barley straw (Hordeum vulgare) as a supplementary raw material for Eucalyptus camaldulensis and Pinus sylvestris Kraft Pulp in the Paper Industry. Bioresources 2015, 10, 3682–3693. [Google Scholar] [CrossRef]
- Puglia, D.; Luzi, F.; Lilli, M.; Sbardella, F.; Pauselli, M.; Torre, L.; Benincasa, P. Straw fibres from barley hybrid lines and their reinforcement effect in polypropylene based composites. Ind. Crops. Prod. 2020, 154, 112736. [Google Scholar] [CrossRef]
- Oliver-Ortega, H.; Julian, F.; Espinach, F.X.; Mendez, J.A. Simulated Environmental Conditioning of PHB Composites Reinforced with Barley Fibers to Determine the Viability of Their Use as Plastics for the Agriculture Sector. Polymers 2023, 15, 579. [Google Scholar] [CrossRef] [PubMed]
- Luan, P.; Zhao, X.; Copenhaver, K.; Ozcan, S.; Zhu, H. Turning Natural Herbaceous Fibers into Advanced Materials for Sustainability. Adv. Fiber Mater. 2022, 4, 736–757. [Google Scholar] [CrossRef]
- Li, Y.; Wei, C.; Jiang, Y.; Cheng, R.; Zhang, Y.; Ning, C.; Dong, K.; Wang, Z.L. Continuous Preparation of Chitosan-Based Self-Powered Sensing Fibers Recycled from Wasted Materials for Smart Home Applications. Adv. Fiber Mater. 2022, 4, 1584–1594. [Google Scholar] [CrossRef]
- Serra-Parareda, F.; Julián, F.; Espinosa, E.; Rodríguez, A.; Espinach, F.X.; Vilaseca, F. Feasibility of Barley Straw Fibers as Reinforcement in Fully Biobased Polyethylene Composites: Macro and Micro Mechanics of the Flexural Strength. Molecules 2020, 25, 2242. [Google Scholar] [CrossRef] [PubMed]
- Serra-Parareda, F.; Tarrés, Q.; Delgado-Aguilar, M.; Espinach, F.X.; Mutjé, P.; Vilaseca, F. Biobased composites from biobased-polyethylene and barley thermomechanical fibers: Micromechanics of composites. Materials 2019, 12, 4182. [Google Scholar] [CrossRef]
- Sushma, M. Barley straw: A promising non-wood source for pulp and paper making. IPPTA 2001, 13, 53–59. [Google Scholar]
- Sun, J.X.; Xu, F.; Sun, X.F.; Xiao, B.; Sun, R.C. Physico-chemical and thermal characterization of cellulose from barley straw. Polym. Degrad. Stab. 2005, 88, 521–531. [Google Scholar] [CrossRef]
- Franck, R.R. Overview. In Bast and Other Plant Fibres; Franck, R.R., Ed.; Woodhead Publishing Ltd.: Cambridge, UK, 2005; pp. 1–23. [Google Scholar]
- Sisti, L.; Totaro, G.; Vannini, M.; Celli, A. Retting Process as a Pretreatment of Natural Fibers for the Development of Polymer Composites. In Lignocellulosic Composite Materials; Kalia, S., Ed.; Springer International Publishing AG: Basingstoke, UK, 2018; pp. 97–135. [Google Scholar]
- Konczewicz, W.; Zimniewska, M.; Valera, M.A. The selection of a retting method for the extraction of bast fibres as response to challenges in composite reinforcement. Text. Res. J. 2017, 88, 2104–2119. [Google Scholar] [CrossRef]
- Lee, C.H.; Khalina, A.; Lee, S.H.; Liu, M. A Comprehensive Review on Bast Fibre Retting Process for Optimal Performance in Fibre-Reinforced Polymer Composites. Advanc. Mater. Sci. Eng. 2020, 2020, 6074063. [Google Scholar] [CrossRef]
- Čunko, R.; Andrassy, M. Vlakna; Zrinski d.d.: Čakovec, Croatia, 2005; pp. 1–341. [Google Scholar]
- Agricultural Institute Osijek. Available online: https://www.poljinos.hr/en/ (accessed on 2 October 2023).
- Martinčić, J.; Kovačević, J.; Lalić, A. Rex-nova sorta ozimog dvorednog ječma. Agron. Glas. Glas. Hrvat. Agron. Društva 1991, 3, 141–147. [Google Scholar]
- Aaditaa, A.; Jahan, S. Extraction and processing of bast fibres from Ficus glomerata- A new source for non-conventional fibres. J. App. Natur. Sci. 2018, 10, 661–666. [Google Scholar] [CrossRef]
- Feleke, K.; Thothadri, G.; Beri Tufa, H.; Rajhi, A.A.; Ahmed, G.M.S. Extraction and characterization of fiber and cellulose from Ethiopian linseed straw: Determination of retting period and optimization of multi-step alkaline peroxide process. Polymers 2023, 15, 469. [Google Scholar] [CrossRef] [PubMed]
- Punia Bangar, S.; Ilyas, R.A.; Chaudhary, N.; Dhull, S.B.; Chowdhury, A.; Lorenzo, J.M. Plant-Based Natural Fibers For Food Packaging: A Green Approach To The Reinforcement of Biopolymers. J. Polym. Environ. 2023, 31, 5029–5049. [Google Scholar] [CrossRef]
- Manian, A.P.; Braun, D.E.; Široká, B.; Bechtold, T. Distinguishing liquid ammonia from sodium hydroxide mercerization in cotton textiles. Cellulose 2022, 29, 4183–4202. [Google Scholar] [CrossRef]
- Naik, S.R. Dyeing and printing of natural and synthetic fibre/fabrics by vegetable dyes. In Natural Dyes: Scope and Challenges, 1st ed.; Daniel, M., Bhattacharya, S.D., Arya, A., Vinay, M., Eds.; Scientific Publishers: Jodhpur, India, 2006; pp. 151–160. [Google Scholar]
- DSPAT TEXTILE. Available online: https://www.dspattextile.com/2022/06/scouring-processes-methods.html (accessed on 10 September 2023).
- Sari, N.H.; Wardana, I.N.G.; Irawan, Y.S.; Siswanto, E. The effect of sodium hydroxide on chemical and mechanical properties of corn husk fiber. Orient. J. Chem. 2017, 33, 3037–3042. [Google Scholar] [CrossRef]
- Kulshreshtha, A. Sustainable energy generation from municipal solid waste. In Waste-to-Energy Approaches Towards Zero Waste; Hussain, C.M., Singh, S., Goswami, L., Eds.; Elsevier: Oxford, UK, 2021; pp. 315–342. [Google Scholar] [CrossRef]
- Yew, B.S.; Muhamad, M.; Mohamed, S.B.; Wee, F.H. Effect of alkaline treatment on structural characterisation, thermal degradation and water absorption ability of coir fibre polymer composites. Sains Malays. 2019, 48, 653–659. [Google Scholar] [CrossRef]
- Gao, F.; Yang, F.; De, Y.; Tao, Y.; Ta, N.; Wang, H.; Sun, Q. Dilute alkali pretreatment and subsequent enzymatic hydrolysis of amur silvergrass for ethanol production. Bioresources 2020, 15, 4823–4834. [Google Scholar] [CrossRef]
- Right to Know, Hazardous Fact Sheet. Available online: https://nj.gov/health/eoh/rtkweb/documents/fs/1706.pdf (accessed on 10 September 2023).
- Croatian Meteorological and Hydrological Service. Available online: https://meteo.hr/klima.php?section=klima_podaci¶m=k2_1&Godina=2020 (accessed on 13 October 2023).
- Kovačević, Z. Development of Advanced Polylactide Nanobiocomposite Reinforced with Spartium junceum L. Fibres. Ph.D. Dissertation, University of Zagreb Faculty of Textile Technology, Zagreb, Croatia, 25 October 2019. [Google Scholar]
- Madueke, C.I.; Mbah, O.M.; Umunakwe, R. A review on the limitations of natural fibres and natural fibre composites with emphasis on tensile strength using coir as a case study. Polym. Bull. 2023, 80, 3489–3506. [Google Scholar] [CrossRef]
- Asim, M.; Jawaid, M.; Nasir, M.; Abdan, K. A Review on Pineapple Leaves Fibre and Its Composites. Int. J. Polym. Sci. 2015, 2015, 950567. [Google Scholar] [CrossRef]
- Vujasinović, E.; Pavunc Samaržija, M. Održivi dizajn biokompozita—Skrivena prilika za kružno gospodarstvo. In Proizvodnja Hrane, Biokompozita i Biogoriva iz Žitarica u Kružnom Gospodarstvu; Krička, T., Ed.; University of Zadar: Zadar, Croatia, 2023; pp. 193–220. [Google Scholar]
- Madić, M.; Knežević, D.; Paunović, A.; Đurović, D. Plant height and internode length as components of lodging resistance in barley. Acta Agric. Serb. 2016, 21, 99–106. [Google Scholar] [CrossRef]
- Plazonić, I.; Barbarić-Mikočević, Ž.; Španić, N. Effect of Agricultural Residue Fibers on Newsprint Strength Properties. Wood Res. 2020, 65, 437–446. [Google Scholar] [CrossRef]
- Djafari Petroudy, S.R. Physical and mechanical properties of natural fibers. In Advanced High Strength Natural Fibre Composites in Construction; Fan, M., Fu, F., Eds.; Woodhead Publishing: Sawston, UK, 2017; pp. 59–83. [Google Scholar] [CrossRef]
- Madueke, C.I.; Umunakwe, R.; Mbah, O.M. A review on the factors affecting the properties of natural fibre polymer composites. Niger. J. Technol. 2022, 41, 55–64. [Google Scholar] [CrossRef]
- Bismarck, A.; Mishra, S.; Lampke, T. Plant Fibers as Reinforcement for Green Composites. In Natural Fibers, Biopolymers and Biocomposites; Mohanty, A.K., Misra, M., Drzal, L.T., Eds.; CRC Press: Boca Raton, FL, USA, 2005; pp. 37–108. [Google Scholar]
- Sweygers, N.; Depuydt, D.E.; Eyley, S.; Thielemans, W.; Mosleh, Y.; Ivens, J.; Dewil, R.; Appels, L.; Van Vuure, A.W. Prediction of the equilibrium moisture content based on the chemical composition and crystallinity of natural fibres. Ind. Crops Prod. 2022, 186, 115187. [Google Scholar] [CrossRef]
- Garat, W.; Le Moigne, N.; Corn, S.; Beaugrand, J.; Bergeret, A. Swelling of natural fibre bundles under hygro-and hydrothermal conditions: Determination of hydric expansion coefficients by automated laser scanning. Compos. Part A Appl. Sci. Manuf. 2020, 131, 105803. [Google Scholar] [CrossRef]
- Karimah, A.; Ridho, M.R.; Munawar, S.S.; Ismadi; Amin, Y.; Damayanti, R.; Lubis, M.A.R.; Wulandari, A.P.; Nurindah; Iswanto, A.H.; et al. A comprehensive review on natural fibers: Technological and socio-economical aspects. Polymers 2021, 13, 4280. [Google Scholar] [CrossRef] [PubMed]
- Sfiligoj Smole, M.; Hribernik, S.; Kurečič, M.; Krajnc, A.U.; Kreže, T.; Kleinschek, K.S. Surface Properties of Non-Conventional Cellulose Fibres; Springer Nature Switzerland AG: Cham, Switzerland, 2019; pp. 1–88. [Google Scholar] [CrossRef]
- Zuhudi, N.Z.M.; Zulkifli, A.F.; Zulkifli, M.; Yahaya, A.N.A.; Nur, N.M.; Aris, K.D.M. Void and moisture content of fiber reinforced composites. J. Adv. Res. Fluid Mech. Therm. Sci. 2021, 87, 78–93. [Google Scholar] [CrossRef]
- Al-Oqla, F.M.; Sapuan, S.M.; Ishak, M.R.; Nuraini, A.A. A novel evaluation tool for enhancing the selection of natural fibers for polymeric composites based on fiber moisture content criterion. Bioresources 2015, 10, 299–312. [Google Scholar] [CrossRef]
- Ansell, M.P.; Mwaikambo, L.Y. The structure of cooton and other plant fibres. In Handbook of Textile Fibre Structure, Natural, Regenerated, Inorganic and Specialist Fibres; Eichorn, S.J., Hearle, J.W.S., Jaffe, M., Kikutani, T., Eds.; Woodhead Publishing: Sawston, UK, 2009; pp. 62–94. [Google Scholar]
- Yuksel, I. Fiber Length Measurement by Image Processing. Ph.D. Dissertation, Graduate Faculty of North Carolina State University, Raleigh, NC, USA, 2000. [Google Scholar]
- Batara, A.G.N.; Llanos, P.S.P.; de Yro, P.A.N.; Sanglay, G.C.D.; Magdaluyo, E.R. Surface modification of abaca fibers by permanganate and alkaline treatment via factorial design. In Proceedings of the 7th International Conference on Nano and Materials Science ICNMS 2019, San Francisco, CA, USA, 4–7 January 2019; AIP Publishing 2019. Volume 2083, pp. 1–5. [Google Scholar] [CrossRef]
- Martina, T.; Wardiningsih, W.; Rianti, A.; Rudy, R.; Pradana, S.M. An investigation into the potential of water retted fiber from agricultural waste of Curcuma longa plant for textile application. Res. J. Text. Appar. 2022. ahead-of-print. [Google Scholar] [CrossRef]
- Al-Maharma, A.Y.; Al-Huniti, N. Critical review of the parameters affecting the effectiveness of moisture absorption treatments used for natural composites. J. Compos. Sci. 2019, 3, 27. [Google Scholar] [CrossRef]
- Shuvo, I.I. Fibre attributes and mapping the cultivar influence of different industrial cellulosic crops (cotton, hemp, flax, and canola) on textile properties. Bioresour. Bioprocess. 2020, 7, 51. [Google Scholar] [CrossRef]
- Thyavihalli Girijappa, Y.G.; Mavinkere Rangappa, S.; Parameswaranpillai, J.; Siengchin, S. Natural fibers as sustainable and renewable resource for development of eco-friendly composites: A comprehensive review. Front. Mater. 2019, 6, 226. [Google Scholar] [CrossRef]
- Hussain, M.; Levacher, D.; Leblanc, N.; Zmamou, H.; Djeran-Maigre, I.; Razakamanantsoa, A.; Saouti, L. Analysis of physical and mechanical characteristics of tropical natural fibers for their use in civil engineering applications. J. Nat. Fibers 2023, 20, 2164104. [Google Scholar] [CrossRef]
- Verma, D.; Goh, K.L. Effect of mercerization/alkali surface treatment of natural fibres and their utilization in polymer composites: Mechanical and morphological studies. J. Compos. Sci. 2021, 5, 175. [Google Scholar] [CrossRef]
- Valášek, P.; Müller, M.; Šleger, V.; Kolář, V.; Hromasová, M.; D’Amato, R.; Ruggiero, A. Influence of Alkali Treatment on the Microstructure and Mechanical Properties of Coir and Abaca Fibers. Materials 2021, 14, 2636. [Google Scholar] [CrossRef]
- Chen, H.; Wu, J.; Shi, J.; Zhang, W.; Wang, H. Effect of alkali treatment on microstructure and thermal stability of parenchyma cell compared with bamboo fiber. Ind. Crops Prod. 2021, 164, 113380. [Google Scholar] [CrossRef]
- Sahu, P.; Gupta, M.K. A review on the properties of natural fibres and its bio-composites: Effect of alkali treatment. Proc. Inst. Mech. Eng. Part L J. Mater. Des. Appl. 2020, 234, 198–217. [Google Scholar] [CrossRef]
- Makarem, M.; Lee, C.M.; Kafle, K.; Huang, S.; Chae, I.; Yang, H.; Kubicki, J.D.; Kim, S.H. Probing cellulose structures with vibrational spectroscopy. Cellulose 2019, 26, 35–79. [Google Scholar] [CrossRef]
- Cai, H.; Du, F.; Li, B.; Shi, H. A practical approach based on FTIR spectroscopy for identification of semi-synthetic and natural celluloses in microplastic investigation. Sci. Total. Environ. 2019, 669, 692–7014. [Google Scholar] [CrossRef]
- Abidi, N.; Hequet, E.; Cabrales, L.; Wilkins, T.; Wells, L.W. Evaluating Cell Wall Structure and Composition of Developing Cotton Fibers using Fourier Transform Infrared Spectroscopy and Thermogravimetric Analysis. J. Appl. Polym. Sci. 2008, 107, 476–486. [Google Scholar] [CrossRef]
- Huang, Y.; Wang, L.; Chao, Y.; Nawawi, D.S.; Akiyama, T.; Yokoyama, T.; Matsumoto, Y. Analysis of lignin aromatic structure in wood based on the IR spectrum. J Wood. Chem. Technol. 2012, 32, 294–303. [Google Scholar] [CrossRef]
- Suciyati, S.W.; Manurung, P.; Sembiring, S.; Situmeang, R. Comparative study of Cladophora sp. Cellulose by using FTIR and XRD. J. Phys. Conf. Ser. 2021, 1751, 012075. [Google Scholar] [CrossRef]
- Fellak, S.; Rafik, M.; Haidara, H.; Boukir, A.; Lhassani, A. Study of natural degradation effect on lignocellulose fibers of archeological cedar wood: Monitoring by Fourier Transform Infrared (FTIR) spectroscopy. MATEC Web Conf. 2022, 360, 00006. [Google Scholar] [CrossRef]
- Hospodarova, V.; Singovszka, E.; Stevulova, N. Characterization of Cellulosic Fibers by FTIR Spectroscopy for their Further Implementation to Building Materials. Am. J. Anal. Chem. 2018, 9, 303–310. [Google Scholar] [CrossRef]













| Lignocellulosic Biomass Source | Description | References |
|---|---|---|
| Barley straw | Barley thermomechanical fibers as reinforcements in composite material (length of fibers is 745 µm ± 21, diameter 19.6 µm ± 0.6) | [32,33] |
| Barley straw | Barley cellulose pulp for paper sheet production | [26] |
| Barley straw | Barley straw as reinforcements for earth-based construction materials (length of straw is 1–6 cm) | [21] |
| Barley straw | Barley cellulose pulp for paper sheet production | [27] |
| Barley straw | Barley fibers for various applications (length of fibers is 0.7–3.1 mm, diameter 7–24 µm) | [22] |
| Barley straw | Digestion of barley straw for biofuel production | [23] |
| Barley straw | Barley fibers for aerogel production for oil spillage clean-up (diameter of fibers is in the range of 5–12.5 µm) | [25] |
| Barley straw | Barley straw as reinforcements in composite materials | [28] |
| Barley straw | Barley cellulose pulp as reinforcements for nanocomposites | [18] |
| Barley straw | Barley cellulose pulp (length: 0.35–0.44 mm) | [34] |
| Barley straw | Barley crude and purified cellulose fibers | [35] |
| Barley straw | Barley cellulose fibers for sheet production | [15] |
| Barley straw | Barley fibers as reinforcements for composite materials | [29] |
| Barley straw | Barley straw as building insulation materials | [24] |
| Methods | Medium | Advantages | Disadvantages | Retting Duration |
|---|---|---|---|---|
| Biological retting | Water | Fibers of great uniformity and high quality | Ecological unacceptability because this method creates chemical compounds such as CO2, H2, CH4, NH3, and H2S that can affect the health of living organisms from the water | 7–14 days |
| Dew | Easier pectin removal | Fibers are contaminated with soil, inconsistent quality, and reduced strength | 2–3 weeks | |
| Enzymes | Cleaner and faster process that enables specific properties of fibers | Higher cost and lower fiber strength | 12–24 h | |
| Chemical retting | Acid, alkali, etc. | Cleaner and smoother surface of the fibers within a short period | Deterioration of fiber strength and other important properties if aggressive and highly concentrated chemicals are used | 1–3 h |
| X | XI | XII | I | II | III | IV | V | |
|---|---|---|---|---|---|---|---|---|
| 2020 | 86.5 | 18.0 | 61.4 | / | / | / | / | / |
| 2021 | 72.9 | 71.0 | 75.6 | 77.5 | 36.3 | 34.4 | 60.7 | 58.9 |
| 2022 | / | / | / | 7.5 | 28.7 | 6.4 | 35.0 | 66.0 |
| Rex (2021) | Rex (2022) | Barun (2021) | Barun (2022) | |||||||||
|---|---|---|---|---|---|---|---|---|---|---|---|---|
| T [cN/tex] | YM [cN/tex] | E [%] | T [cN/tex] | YM [cN/tex] | E [%] | T [cN/tex] | YM [cN/tex] | E [%] | T [cN/tex] | YM [cN/tex] | E [%] | |
| Average | 23.08 | 440.30 | 4.51 | 20.31 | 298.39 | 6.11 | 25.63 | 619.30 | 3.89 | 13.07 | 243.76 | 5.40 |
| SD | 9.96 | 245.85 | 1.60 | 14.74 | 278.66 | 2.22 | 13.35 | 490.88 | 1.13 | 9.29 | 239.15 | 1.94 |
| CV [%] | 43.16 | 55.84 | 35.44 | 72.56 | 93.39 | 36.29 | 52.10 | 79.26 | 28.90 | 71.07 | 98.11 | 35.85 |
| SE [%] | 2.76 | 68.15 | 0.44 | 4.09 | 77.24 | 0.62 | 3.70 | 136.06 | 0.31 | 2.58 | 66.23 | 0.54 |
| Fiber Category | Fiber | Tensile Strength (MPa) | Young’s Modulus (Gpa) | Elongation (%) | Reference |
|---|---|---|---|---|---|
| Seed fiber | Cotton | 287–597 | 5.5–12.6 | 3–10 | [57] |
| Stem fiber | Flax | 345–900 | 27–80 | 1.2–1.6 | [58] |
| Hemp | 300–800 | 30–70 | 1.3–1.6 | ||
| Jute | 200–800 | 10–55 | 1.4–1.8 | ||
| Spanish broom | 500–1100 | 15–20 | 3–9 | [55] | |
| Straw/stem fiber | Barley | 190–380 | 3–10 | 3–7 | This study |
| Leaf fiber | Sisal | 100–800 | 9–28 | 2–3 | [58] |
| Fruit fiber | Coir | 13–220 | 4–6 | 15–40 |
| Rex (2021) | Rex (2022) | Barun (2021) | Barun (2022) | |
|---|---|---|---|---|
| Average [cm] | 4.03 | 2.40 | 3.20 | 2.26 |
| Standard deviation [cm] | 1.35 | 0.77 | 1.05 | 0.66 |
| Coefficient of variation [%] | 33.56 | 31.98 | 32.68 | 29.26 |
| Standard error [%] | 0.27 | 0.15 | 0.20 | 0.13 |
| Moisture Content [%] | ||||
|---|---|---|---|---|
| Rex (2021) | Rex (2022) | Barun (2021) | Barun (2022) | |
| Average [%] | 9.45 | 7.12 | 9.52 | 6.75 |
| Standard deviation [%] | 0.04 | 0.07 | 0.06 | 0.15 |
| Coefficient of variation [%] | 0.41 | 0.99 | 0.65 | 2.26 |
| Standard error [%] | 0.04 | 0.08 | 0.07 | 0.17 |
| Moisture Regain [%] | ||||
|---|---|---|---|---|
| Rex (2021) | Rex (2022) | Barun (2021) | Barun (2022) | |
| Average [%] | 10.37 | 10.66 | 10.41 | 11.01 |
| Standard deviation [%] | 0.19 | 0.18 | 0.01 | 0.11 |
| Coefficient of variation [%] | 1.87 | 1.71 | 0.10 | 1.04 |
| Standard error [%] | 0.22 | 0.21 | 0.01 | 0.13 |
| Fiber Category | Fiber | Diameter (µm) | Length (mm) | Moisture Regain (%) | Density (g/cm3) | Reference |
|---|---|---|---|---|---|---|
| Seed fiber | Cotton | 10–22 | 12–64 | 8.5 | 1.55 | [70,71] |
| Stem fiber | Flax | 40–600 | 5–900 | 7 | 1.4–1.5 | [55,58] |
| Hemp | 10–500 | 5–56 | 8 | 1.3–1.6 | ||
| Jute | 25–200 | 1.5–120 | 12 | 1.4–1.8 | ||
| Spanish broom | 10–200 | 5–900 | 8 | 1.55–1.6 | [55] | |
| Straw/stem fiber | Barley | 10–350 | 5–100 | 10–11 | 1.4–1.5 | This study |
| Leaf fiber | Sisal | 8–200 | 900 | 11 | 1.2–1.5 | [58,70] |
| Fruit fiber | Coir | 10–460 | 20–150 | 13 | 1.1–1.4 |
| Fiber Category | Fiber | Cellulose (%) | Hemicellulose (%) | Lignin (%) | Reference |
|---|---|---|---|---|---|
| Seed fiber | Cotton | 82–96 | 2–6.4 | 0–5 | [70] |
| Stem fiber | Flax | 70–75 | 9–21 | 2–5 | [71] |
| Hemp | 7–75 | 2–22 | 4–8 | ||
| Jute | 61–76 | 14–20 | 5–13 | ||
| Spanish broom | 90–92 | 2–6 | 3–4 | [80] | |
| Straw/stem fiber | Barley | 30–31 | 9–15 | 4–8 | This study |
| Leaf fiber | Sisal | 48–78 | 10–18 | 8–14 | [71] |
| Fruit fiber | Coir | 32–43 | <1 | 40–50 |
Disclaimer/Publisher’s Note: The statements, opinions and data contained in all publications are solely those of the individual author(s) and contributor(s) and not of MDPI and/or the editor(s). MDPI and/or the editor(s) disclaim responsibility for any injury to people or property resulting from any ideas, methods, instructions or products referred to in the content. |
© 2023 by the authors. Licensee MDPI, Basel, Switzerland. This article is an open access article distributed under the terms and conditions of the Creative Commons Attribution (CC BY) license (https://creativecommons.org/licenses/by/4.0/).
Share and Cite
Kovačević, Z.; Strgačić, S.; Bischof, S. Barley Straw Fiber Extraction in the Context of a Circular Economy. Fibers 2023, 11, 108. https://doi.org/10.3390/fib11120108
Kovačević Z, Strgačić S, Bischof S. Barley Straw Fiber Extraction in the Context of a Circular Economy. Fibers. 2023; 11(12):108. https://doi.org/10.3390/fib11120108
Chicago/Turabian StyleKovačević, Zorana, Sara Strgačić, and Sandra Bischof. 2023. "Barley Straw Fiber Extraction in the Context of a Circular Economy" Fibers 11, no. 12: 108. https://doi.org/10.3390/fib11120108
APA StyleKovačević, Z., Strgačić, S., & Bischof, S. (2023). Barley Straw Fiber Extraction in the Context of a Circular Economy. Fibers, 11(12), 108. https://doi.org/10.3390/fib11120108

