Light-Induced Interfacial Charge Transport of In2O3/Reduced Graphene Oxide/Non-Conjugated Polymers in a Wide Range of the Light Spectrum
Abstract
1. Introduction
2. Materials and Methods
2.1. Materials
2.2. Preparation of Graphene Oxide
2.3. Preparation of Polymer Solution
2.4. Preparation of In2O3/Reduced Graphene Oxide
2.5. Preparation of In2O3/Reduced Graphene Oxide/PVA Hybrid and Silk Fibres Coated with In2O3/Reduced Graphene Oxide/PVA Suspension
2.6. The Characterisations of SEM, UV–Vis-NIR, Raman, and XRD
2.7. Photocurrent Response of Nanocomposite to the Visible Light and the NIR
2.8. Electrical Response of Nanocomposite to the Force Applied
3. Results and Discussion
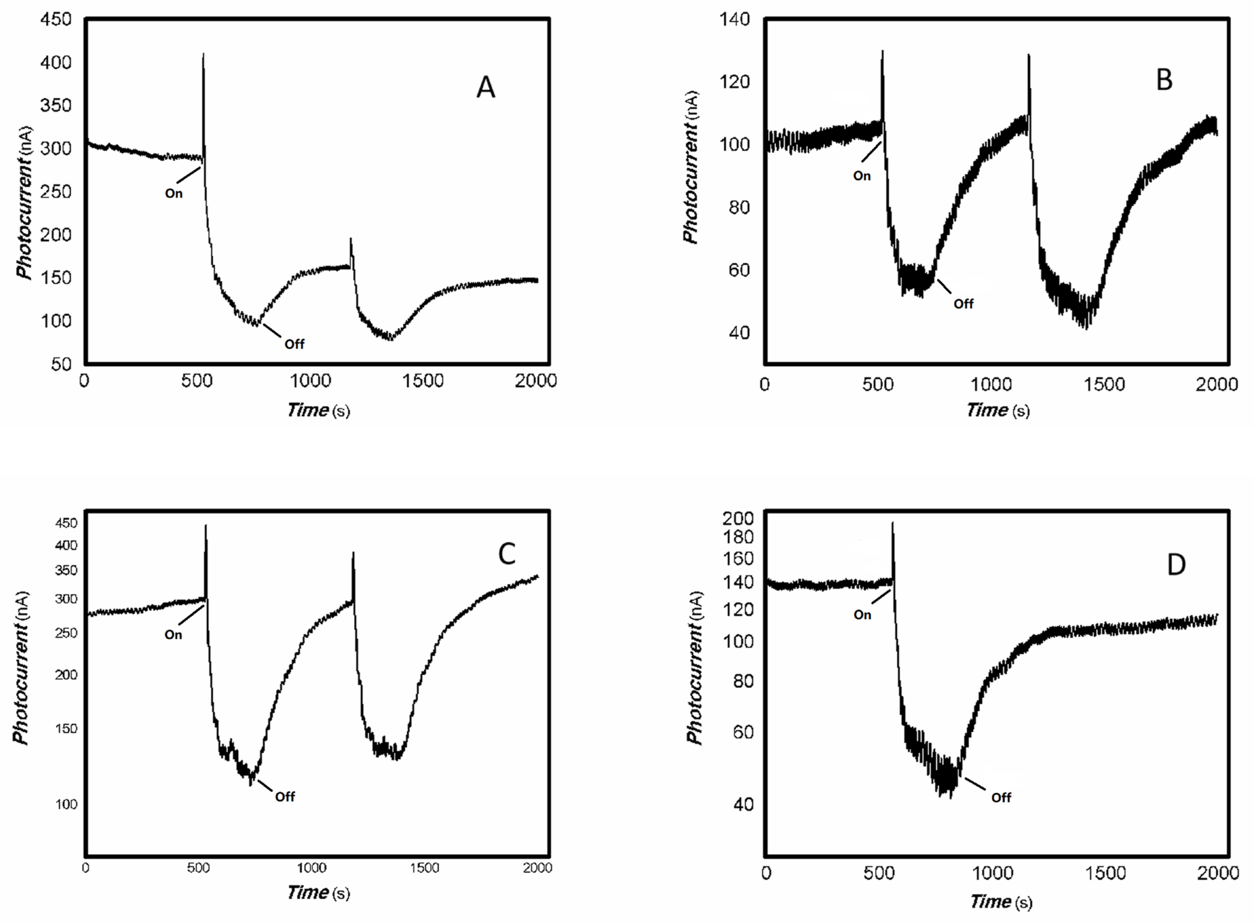
3.1. Photoelectrical Signal Comparison Between the In2O3/Reduced Graphene Oxide and the In2O3/Reduced Graphene Oxide/PVA Hybrid
3.2. Photoelectrical Signal and Other Physical Property Studies of the In2O3/Reduced Graphene Oxide/PVA Hybrid Coated on the Silk Fibres
3.3. Photoelectrical Signal Study of the In2O3/Reduced Graphene Oxide Being Stored for Several Years and the In2O3/Reduced Graphene Oxide Modified with Other Non-Conjugated Polymers
4. Conclusions
Author Contributions
Funding
Institutional Review Board Statement
Informed Consent Statement
Data Availability Statement
Acknowledgments
Conflicts of Interest
References
- Ma, X.; Zhu, H.; Yu, L.; Li, X.; Ye, E.; Li, Z.; Loh, X.J.; Wang, S. Rare-earth-doped indium oxide nanosphere-based gas sensor for highly sensitive formaldehyde detection at a low temperature. Nanoscale 2023, 15, 1609–1618. [Google Scholar] [CrossRef]
- Gu, F.; Li, C.; Han, D.; Wang, Z. Manipulating the Defect Structure (VO) of In2O3 Nanoparticles for Enhancement of Formaldehyde Detection. ACS Appl. Mater. Interfaces 2018, 10, 933–942. [Google Scholar] [CrossRef] [PubMed]
- Bu, W.; Liu, N.; Zhang, Y.; Han, W.; Chuai, X.; Zhou, Z.; Hu, C.; Lu, G. Atomically dispersed Pt on MOF-derived In2O3 for chemiresistive formaldehyde gas sensing. Sens. Actuators: B. Chem. 2024, 404, 135260. [Google Scholar] [CrossRef]
- Gu, F.; Di, M.; Han, D.; Hong, S.; Wang, Z. Atomically Dispersed Au on In2O3 Nanosheets for Highly Sensitive and Selective Detection of Formaldehyde. ACS Sens. 2020, 5, 2611–2619. [Google Scholar] [CrossRef]
- Kong, D.L.; Niu, J.Y.; Hong, B.; Xu, J.C.; Han, Y.B.; Peng, X.L.; Ge, H.L.; Li, J.; Zeng, Y.X.; Wang, X.Q. Ag-nanoparticles-anchored mesoporous In2O3 nanowires for ultrahigh sensitive formaldehyde gas sensors. Mater. Sci. Eng. B 2023, 291, 116394. [Google Scholar] [CrossRef]
- Zhang, S.; Sun, S.; Huang, B.; Wang, N.; Li, X. UV-Enhanced Formaldehyde Sensor Using Hollow In2O3@TiO2 Double-Layer Nanospheres at Room Temperature. ACS Appl. Mater. Interfaces 2023, 15, 4329–4342. [Google Scholar] [CrossRef] [PubMed]
- Zhai, L.; Dai, X.; Zhu, G.; Rao, F.; Wang, S.; Yang, J.; Zhu, L.; Shi, X.; Huang, Y.; Jia, Y.; et al. High sensitivity and fast response sensor for formaldehyde based on In2O3/Sn2O3 heterojunction. Colloids Surf. A: Physicochem. Eng. Asp. 2023, 678, 132457. [Google Scholar] [CrossRef]
- Guo, L.; Liang, H.; Hu, H.; Shi, S.; Wang, C.; Lv, S.; Yang, H.; Li, H.; de Rooij, N.F.; Lee, Y.; et al. Large-Area and Visible-Light-Driven Heterojunctions of In2O3/Graphene Built for ppb-Level Formaldehyde Detection at Room Temperature. ACS Appl. Mater. Interfaces 2023, 15, 18205–18216. [Google Scholar] [CrossRef]
- Zi, B.; Chen, M.; Zhu, Q.; Lu, Q.; Xiao, B.; Deng, Z.; Xu, D.; Song, Z.; Zhao, J.; Zhang, Y.; et al. CuO@In2O3/ZnO Core-Shell Nanorods for Triethylamine Detection at Room Temperature. ACS Appl. Nano Mater. 2023, 6, 6963–6971. [Google Scholar] [CrossRef]
- Zhao, Q.; Zhuang, G.; Zhao, Y.; Yang, L.; Zhao, J. Y-doped In2O3 hollow nanocubes for improved triethylamine-sensing performance. New J. Chem. 2021, 45, 6773–6779. [Google Scholar] [CrossRef]
- Lv, Y.; Li, Y.; Zhou, R.; Pan, Y.; Yao, H.; Li, Z. N-Doped Graphene Quantum Dot-Decorated Three-Dimensional Ordered Macroporous In2O3 for NO2 Sensing at Low Temperatures. ACS Appl. Mater. Interfaces 2020, 12, 34245–34253. [Google Scholar] [CrossRef]
- Cheng, Y.; Cheng, L.; Ma, N.; Li, Z.; Tang, T.; Hu, X.; Liu, L.; Jannat, A.; Zhao, F.; Ou, J. Effect of Zn Concentration in Zinc-Doped 2D Layered Indium Oxides for Room-Temperature Optoelectronic Sensing of NO2. ACS Appl. Nano Mater. 2025, 8, 8354–8365. [Google Scholar] [CrossRef]
- Han, J.; Gu, G.; Gao, Y.; Yu, N.; Zhou, W.; Wang, Y.; Kong, D.; Gao, Y.; Lu, G. Prototype Alarm Integrating Pulse-Driven Nitrogen Dioxide Sensor Based on Holey Graphene Oxide/In2O3. ACS Sens. 2024, 9, 5425–5435. [Google Scholar] [CrossRef]
- Zhang, T.; Li, Y.; Xu, T.; Zhang, H.; Yuan, Z.; Wang, H.; Zhuo, K. Room Temperature Sensing Properties of In2O3-MXene Composites to NO2. ACS Appl. Electron. Mater. 2024, 6, 6994–7002. [Google Scholar] [CrossRef]
- Han, J.; Wang, Y.; Zhou, W.; Kong, D.; Gao, Y.; Gao, Y.; Lu, G. Graphene oxide-mediated polymorphic engineering of In2O3 for boosted NO2 gas sensing performance. Sens. Actuators: B. Chem. 2025, 422, 136613. [Google Scholar] [CrossRef]
- Yang, W.; Huo, Y.; Wang, T.; Liu, X.; Li, D.; Yu, H.; Dong, X.; Yang, Y. RGO@In2O3 based flexible gas sensor: Efficient monitoring of trace NO2 gas at room temperature. Sens. Actuators: B. Chem. 2025, 430, 137359. [Google Scholar] [CrossRef]
- Du, H.; Li, X.; Zhang, Z.; Li, Q.; Zhao, L.; Wang, J. Ultrasensitive NO2 sensor based on In2O3 nanocubes/SnS2 nanoflowers hetero composites. Sens. Actuators B. Chem. 2025, 444, 138277. [Google Scholar] [CrossRef]
- Cao, P.; Xu, X.; Jia, F.; Zeng, Y.; Liu, W.; Wang, C.; Han, S.; Fang, M.; Liu, X.; Zhu, D.; et al. Ultrasensitive room temperature chemiresistive NO2 gas sensing down to ppb levels using In2O3/rGO heterostructures. Appl. Surf. Sci. 2025, 688, 162424. [Google Scholar] [CrossRef]
- Wang, J.; Su, J.; Chen, H.; Zou, X.; Li, G. Oxygen vacancy-rich, Ru-doped In2O3 ultrathin nanosheets for efficient detection of xylene at low temperature. J. Mater. Chem. C. 2018, 6, 4156–4162. [Google Scholar] [CrossRef]
- Zhao, S.; Li, X.; Li, Y.; Fan, F.; Yao, H.; Li, Z. Au144 loaded hierarchical In2O3 nanospheres for effective detection of acetone in simulated exhalation. Sens. Actuators B Chem. 2023, 393, 134163. [Google Scholar] [CrossRef]
- Zhang, J.; Kong, M.; Li, K.; Chen, X.; Li, X.; Yue, L.; Yang, X.; Guan, R.; Zhang, W. Fabrication and ethanol sensing properties of hierarchical S-doped In2O3 networks. Sens. Actuators B Chem. 2023, 376 Pt B, 132965. [Google Scholar] [CrossRef]
- Wang, X.; Li, Y.; Sun, G.; Cao, J.; Wang, Y. Synthesis of Co-Doped In2O3 Hierarchical Porous Nanocubes for High-Performance Hydrogen Sulfide Sensors. Langmuir 2025, 41, 14185–14196. [Google Scholar] [CrossRef] [PubMed]
- Yang, X.; He, X.; Tang, B.; Zhong, L.; Zhang, W.; Chen, C.; He, T. Room Temperature Hydrogen Sensor of Mace-Like In2O3@ZnO Microtubules. ACS Appl. Electron. Mater. 2024, 6, 5885–5893. [Google Scholar] [CrossRef]
- Wang, Y.; Chen, C.; Xiao, G.; Chen, C.; He, X.; Zhou, J.; Huang, Z.; Le, J.; Zhou, X. Novel high performance room temperature hydrogen sensor-3D In2O3@rGO@PPy aerogel with dual enhancement of mechanical and gas sensitive properties. Int. J. Hydrogen Energy 2025, 154, 150170. [Google Scholar] [CrossRef]
- Han, B.; Wang, H.; Yang, W.; Wang, J.; Wei, X. Hierarchical Pt-decorated In2O3 microspheres with highly enhanced isoprene sensing properties. Ceram. Int. Part A 2021, 47, 9477–9485. [Google Scholar] [CrossRef]
- Min, S.; Kim, H.; Chang, S. Highly sensitive toluene sensor based on porous core-shell-structured In2O3-ZnO nanofibers under UV irradiation at room temperature. Phys. E Low-Dimens. Syst. Nanostruct. 2023, 154, 115806. [Google Scholar] [CrossRef]
- Rossi, A.; Fabbri, B.; Spagnoli, E.; Gaiardo, A.; Valt, M.; Ferroni, M.; Ardit, M.; Krik, S.; Pedrielli, A.; Vanzetti, L.; et al. Functionalization of Indium Oxide for Empowered Detection of CO2 over an Extra-Wide Range of Concentrations. ACS Appl. Mater. Interfaces 2023, 15, 33732–33743. [Google Scholar] [CrossRef] [PubMed]
- Wang, X.; Li, Y.; Jin, X.; Sun, G.; Cao, J.; Wang, Y. Effectively Improved CH4 Sensing Performance of In2O3 Porous Hollow Nanospheres by Doping with Cd. Langmuir 2024, 40, 24740–24749. [Google Scholar] [CrossRef]
- Zhao, Q.; Liu, Z.; Xu, Z.; Li, B.; Yang, S. r-GO/In2O3 heterostructures based gas sensor for efficient ppb-level n-butanol detection. J. Alloys Compd. 2024, 986, 174154. [Google Scholar] [CrossRef]
- Xu, X.; Zhang, C.; Yang, W.; Li, Y.; Li, B.; Haldorai, Y.; Jiang, Z.; Xie, W. Nanofiber-shaped Co3O4@In2O3 composite for high-performance enzymeless glucose sensing. Nanoscale 2025, 17, 6718. [Google Scholar] [CrossRef]
- Cheng, Y.; Portela, R.; Wang, P.; Liu, P.; Mao, Y.; Lim, K.H.; Zheng, J.; Yang, X.; Zhang, G.; Ding, L.; et al. Ultrasensitive In2O3-Based Nanoflakes for Lung Cancer Diagnosis and the Sensing Mechanism Investigated by Operando Spectroscopy. ACS Sens. 2024, 9, 6382–6389. [Google Scholar] [CrossRef]
- Shi, Z.; Yang, L.; Lu, Z.; Han, Q.; Wu, L.; Wang, L.; Xiong, Y.; Ye, J.; Zou, Z.; Zhou, Y. Comprehensive Insight into Indium Oxide-Based Catalysts for CO2 Hydrogenation: Thermal, Photo, and Photothermal Catalysis. Adv. Funct. Mater. 2024, 34, 2409904. [Google Scholar] [CrossRef]
- Dong, X.; Zhu, Z.; Chen, Z.; Sun, Z.; Qian, S.; Wang, Z.; Zhou, Y.; Nie, K.; Liu, S.; Li, Z.; et al. Boosting Solar Methanol Production over Hierarchical Carbon Nanocage-Supported In2O3−x via Photoenhanced Electron Buffering Effect. ACS Nano 2025, 19, 25403–25412. [Google Scholar] [CrossRef]
- Wissink, T.; Rollier, F.A.; Muravev, V.; Heinrichs, J.M.J.J.; van de Poll, R.C.J.; Zhu, J.; Anastasiadou, D.; Kosinov, N.; Figueiredo, M.C.; Hensen, E.J.M. Ce Promotion of In2O3 for Electrochemical Reduction of CO2 to Formate. ACS Catal. 2024, 14, 16589–16604. [Google Scholar] [CrossRef]
- Tang, J.; Pang, J.; Lv, X.; Wang, X. Photocatalytic CO2 Reduction with 100% CO Selectivity Using In2O3/CuO/g-C3N4 Ternary Composites. ACS Appl. Energy Mater. 2025, 8, 9683–9690. [Google Scholar] [CrossRef]
- Zhao, X.; Zhou, Y.; Pan, D.; Liang, Q.; Zhou, M.; Xu, S.; Li, Z.; Zhou, Y. Tailoring high-index-facet and oxygen defect of black In2O3−x/In2O3 as highly photothermal catalyst for boosting photocatalytic hydrogen evolution and contaminant degradation. J. Environ. Chem. Eng. 2023, 11, 109752. [Google Scholar] [CrossRef]
- He, Q.; Jin, Q.; Chen, C.; Wang, J.; Yuan, S.; Le, S.; Yang, F.; Yin, Y.; Du, F.; Xu, H.; et al. Ternary dual S-scheme In2O3/SnIn4S8/CdS heterojunctions for boosted light-to-hydrogen conversion. J. Colloid Interface Sci. Part A 2023, 650, 416–425. [Google Scholar] [CrossRef] [PubMed]
- Vu, M.; Quach, T.; Do, T. The construction of Ru-doped In2O3 hollow peanut-like structure for an enhanced photocatalytic nitrogen reduction under solar light irradiation. Sustain. Energy Fuels 2021, 5, 2528–2536. [Google Scholar] [CrossRef]
- Liu, J.; Yuan, W.; Zhu, M.; Hu, Z.; Wu, D.; Ji, X.; Zhang, D.; Pu, X. In2S3/In2O3 Nanocomposite In Situ Forming an S-Scheme Heterojunction for the Photocatalytic Degradation of Tetracycline under Visible Light. ACS Appl. Nano Mater. 2024, 7, 20339–20348. [Google Scholar] [CrossRef]
- Su, T.; Chen, Z.; Luo, X.; Xie, X.; Qin, Z.; Ji, H. Preparation of Fe-doped In2S3/In2O3 Composite for Photocatalytic Degradation of Tetracycline. ACS Chem. Health Saf. 2024, 31, 490–502. [Google Scholar] [CrossRef]
- Jin, J.; Huang, J.; Liu, X.; Zeng, C.; Dai, C.; Jia, Y. Z-Scheme Ag2S−Ag−In2O3 Heterostructure with Efficient Antibiotics Removal under Natural Sunlight. Langmuir 2024, 40, 21842–21854. [Google Scholar] [CrossRef]
- Zhang, Y.; Song, Y.; Xu, J.; Ge, X.; Wu, X.; Lan, Y.; Zhao, Y.; Yan, D. Fabrication of Sn-doped In2O3 nanoparticles anchored on g-C3N4 nanosheets for enhanced degradation of Rhodamine B. Solid State Sci. 2025, 163, 107915. [Google Scholar] [CrossRef]
- Alsaif, M.M.Y.A.; Kuriakose, S.; Walia, S.; Syed, N.; Jannat, A.; Zhang, B.Y.; Haque, F.; Mohiuddin, M.; Alkathiri, T.; Pillai, N.; et al. 2D SnO/In2O3 van der Waals Heterostructure Photodetector Based on Printed Oxide Skin of Liquid Metals. Adv. Mater. Interfaces 2019, 6, 1900007. [Google Scholar] [CrossRef]
- Zhang, M.; Yu, H.; Li, H.; Jiang, Y.; Qu, L.; Wang, Y.; Gao, F.; Feng, W. Ultrathin In2O3 Nanosheets toward High Responsivity and Rejection Ratio Visible-Blind UV Photodetection. Small 2022, 19, 2205623. [Google Scholar] [CrossRef]
- Veeralingam, S.; Badhulika, S. Enhanced carrier separation assisted high-performance piezo-phototronic self-powered photodetector based on core-shell ZnSnO3 @In2O3 heterojunction. Nano Energy 2022, 98, 107354. [Google Scholar] [CrossRef]
- Wang, X.; Zhao, H.; Leea, B.; Kim, S. Improved performance and bias stability in TFTs with solution-processed graphene oxide-doped In2O3 active layers treated under deep UV irradiation. J. Mater. Chem. C. 2025, 13, 15721–15728. [Google Scholar] [CrossRef]
- Tarsoly, G.; Zhao, H.; Wang, X.; Lee, J.; Kim, S. Optimized responsivity of a phototransistor using graphene oxide-doped solution-processed indium oxide active layer toward neuromorphic Applications. J. Mater. Chem. C. 2024, 12, 12090. [Google Scholar] [CrossRef]
- Lee, J.; Tarsoly, G.; Kim, S. Graphene Oxide-Doped Indium Oxide Buffer Film Sandwiched between Titanium Oxide Layers for the Development of Photosensitive Resistive Memory Devices. ACS Appl. Mater. Interfaces 2024, 16, 64988–64994. [Google Scholar] [CrossRef] [PubMed]
- Rafeeq, M.; Ahmad, S.; Sami, A.; Khan, K.Z.; Haidar, Z.; Ahmed, F.; Yasmeen, G.; Ahmed, S.; Bahajjaj, A.A.A. Facile hydrothermal fabrication of In2O3/Fe2O3 as potential electrode material for supercapacitor. Electrochim. Acta 2025, 524, 145963. [Google Scholar] [CrossRef]
- Wu, Z.; Zhong, Y.; Wang, Z.; Li, L.; Liu, X. PdPbAg alloy NPs immobilized on reduced graphene oxide/In2O3 composites as highly active electrocatalysts for direct ethylene glycol fuel cells. RSC Adv. 2022, 12, 19929–19935. [Google Scholar] [CrossRef]
- Lei, P.; Zhou, X.; Wu, X.; Fu, H.; Li, H.; Huang, H. Biomimetic construction of oxygen vacancy-rich In2O3/In2S3@C heterostructures with built-in electric field for boosting bidirectional regulation of polysulfides in lithium-sulfur batteries. Chem. Eng. J. 2025, 516, 164100. [Google Scholar] [CrossRef]
- Li, J.; Li, W.; Tian, Y.; Wang, C. Integrated design of polysulfide shuttling and lithium dendrite suppressing framework: In2O3-In2S3 embedded carbon cloth for lithium-sulfur full batteries. Chem. Eng. J. 2025, 509, 161241. [Google Scholar] [CrossRef]
- Tong, X.; Song, Y.; Zhang, M.; Chen, Y.; Liu, Y.; Chen, J.; Wang, W.; Zhou, C.; Liu, F.; Meng, J. Carbon-Supported In2O3 Cathode with a Solution-to-Solid Conversion Chemistry Enables Fast-Charging and Durable Aluminum Battery. ACS Appl. Energy Mater. 2025, 8, 3553–3562. [Google Scholar] [CrossRef]
- Ramanathan, R.; Zinigrad, M.; Arjunan, K.; Ravichandran, K.; Barshilia, H.C.; Mallik, R.C. Facile surface modification process of Sn-doped In2O3 electron transport layer for enhanced perovskite solar cell performance. Sol. Energy Mater. Sol. Cells 2025, 284, 113481. [Google Scholar] [CrossRef]
- Ahmad, A.; Hussain, M.; Zhou, Z.; Liu, R.; Lin, Y.; Nan, C. Thermoelectric Performance Enhancement of Vanadium Doped n-Type In2O3 Ceramics via Carrier Engineering and Phonon Suppression. ACS Appl. Energy Mater. 2020, 3, 1552–1558. [Google Scholar] [CrossRef]
- Nielsen, I.G.; Sommer, S.; Iversen, B.B. Phase control for indium oxide nanoparticles. Nanoscale 2021, 13, 4038–4050. [Google Scholar] [CrossRef]
- Shimizu, M.; Shugo, M.; Mori, S.; Hijikata, Y.; Aikawa, S. The Influence of Oxygen-Related Defects on the Formation of In2O3-Based Low-Fluorescence Transparent Conducting Film. Phys. Status Solidi (A) 2023, 220, 2200896. [Google Scholar] [CrossRef]
- Arooj, S.; Xu, T.; Hou, X.; Wang, Y.; Tong, J.; Chu, R.; Liu, B. Green emission of indium oxide via hydrogen treatment. RSC Adv. 2018, 8, 11828–11833. [Google Scholar] [CrossRef] [PubMed]
- Hou, R.; Xiao, J.; Wu, Q.; Zhang, T.; Wang, Q. Boosting oxygen vacancies by modulating the morphology of Au decorated In2O3 with enhanced CO2 hydrogenation activity to CH3OH. J. Environ. Sci. 2024, 140, 91–102. [Google Scholar] [CrossRef]
- Xu, Q.; Yin, X.; Dong, M.; Feng, S.; Sun, H. Oxygen Vacancy-Induced Ferromagnetism and Resistive-Magnetization Switching Characteristics in In2O3 Films. J. Phys. Chem. C. 2023, 127, 10366–10374. [Google Scholar] [CrossRef]
- Sun, Z.; Shih, L.; Tseng, W.J. Facile preparation of In2O3-In2S3 core-shell composites for the enhanced photoelectric activity. Int. J. Appl. Ceram. Technol. 2024, 21, 133–141. [Google Scholar] [CrossRef]
- Zhao, Z.; Wang, P.; Song, C.; Zhang, T.; Zhan, S.; Li, Y. Enhanced Interfacial Electron Transfer by Asymmetric Cu-Ov-In Sites on In2O3 for Efficient Peroxymonosulfate Activation. Angew. Chem. 2023, 135, e202216403. [Google Scholar] [CrossRef]
- Kim, H.; Jeong, H.; Kim, T.; Chung, J.; Kang, Y.C.; Lee, J. Enhanced Ethanol Sensing Characteristics of In2O3-Decorated NiO Hollow Nanostructures via Modulation of Hole Accumulation Layers. ACS Appl. Mater. Interfaces 2014, 6, 18197–18204. [Google Scholar] [CrossRef]
- Wang, R.; Schultz, T.; Papadogianni, A.; Longhi, E.; Gatsios, C.; Zu, F.; Zhai, T.; Barlow, S.; Marder, S.R.; Bierwagen, O.; et al. Tuning the Surface Electron Accumulation Layer of In2O3 by Adsorption of Molecular Electron Donors and Acceptors. Small 2023, 19, 2300730. [Google Scholar] [CrossRef]
- Zhu, Y.; Ding, S.; Wang, X.; Zhang, R.; Feng, X.; Sun, X.; Xiao, G.; Zhu, Y. Interfacial Electronic Interaction in In2O3/Poly(3,4-ethylenedioxythiophene)-Modified Carbon Heterostructures for Enhanced Electroreduction of CO2 to Formate. ACS Appl. Mater. Interfaces 2023, 15, 33633–33642. [Google Scholar] [CrossRef]
- Yang, X.; Yu, W.; Wang, W.; Wang, D.; Wang, Q.; Huo, X. Size modulation of plasmonic In2O3 nanocube optimized photocatalytic H2 evolution over stack g-C3N4-In2O3 heterojunction. Int. J. Hydrogen Energy 2023, 48, 35599–35609. [Google Scholar] [CrossRef]
- Fang, H.; Hegde, M.; Yin, P.; Radovanovic, P.V. Tuning Plasmon Resonance of In2O3 Nanocrystals throughout the Mid-Infrared Region by Competition between Electron Activation and Trapping. Chem. Mater. 2017, 29, 4970–4979. [Google Scholar] [CrossRef]
- Yang, Y.; Shen, C.; Sun, K.; Mei, D.; Liu, C. Enhanced Surface Charge Localization Over Nitrogen-Doped In2O3 for CO2 Hydrogenation to Methanol with Improved Stability. ACS Catal. 2023, 13, 6154–6168. [Google Scholar] [CrossRef]
- Isakov, I.; Faber, H.; Mottram, A.D.; Das, S.; Grell, M.; Regoutz, A.; Kilmurray, R.; McLachlan, M.A.; Payne, D.J.; Anthopoulos, T.D. Quantum Confinement and Thickness-Dependent Electron Transport in Solution-Processed In2O3 Transistors. Adv. Electron. Mater. 2020, 6, 2000682. [Google Scholar] [CrossRef]
- Liang, S.; Jin, D.; Fu, Y.; Lin, Q.; Zhang, R.; Wang, X. Interfacial elaborating In2O3-decorated ZnO/reduced graphene oxide/ZnS heterostructure with robust internal electric field for efficient solar-driven hydrogen evolution. J. Colloid Interface Sci. 2023, 635, 128–137. [Google Scholar] [CrossRef] [PubMed]
- Yin, P.; Hegde, M.; Tan, Y.; Chen, S.; Garnet, N.; Radovanovic, P.V. Controlling the Mechanism of Excitonic Splitting in In2O3 Nanocrystals by Carrier Delocalization. ACS Nano 2018, 12, 11211–11218. [Google Scholar] [CrossRef]
- Nath, A.; Sarkar, M.B. An in-depth analysis on the switching response and impedance curves of n-si/In2O3 NW/Ag NPs/In based devices by a double-step glancing angle deposition technique. Phys. B: Condens. Matter 2023, 660, 414886. [Google Scholar] [CrossRef]
- Bhuvaneswari, S.; Seetha, M.; Chandrasekaran, J.; Marnadu, R.; Masuda, Y.; Aldossary, O.M.; Ubaidullah, M. Fabrication and characterization of p-Si/n-In2O3 and p-Si/n-ITO junction diodes for optoelectronic device applications. Surf. Interfaces 2021, 23, 100992. [Google Scholar] [CrossRef]
- Ma, X.; Li, C.; Gao, M.; Zhang, X.; Wang, Y.; Li, G. Interface Optimization of Metal Quantum Dots/Polymer Nanocomposites and Their Properties: Studies of Multi-Functional Organic/Inorganic Hybrid. Materials 2023, 16, 150. [Google Scholar] [CrossRef] [PubMed]
- Wang, Y.; Chen, Y.; Bui, H.T.; Wolf, C.; Haze, M.; Mier, C.; Kim, J.; Choi, D.; Lutz, C.P.; Bae, Y.; et al. An atomic-scale multi-qubit platform. Science 2023, 382, 87–92. [Google Scholar] [CrossRef] [PubMed]
- Zheng, J.; Ma, X.; He, X.; Gao, M.; Li, G. Praparation, characterizations, and its potential applications of PANi/graphene oxide nanocomposite. Procedia Eng. 2012, 27, 1478–1487. [Google Scholar] [CrossRef]
- Ma, X.; Zhang, X.; Gao, M.; Hu, R.; Wang, Y.; Li, G. In2S3/C3N4 Nanocomposite and Its Photoelectric Properties in the Broadband Light Spectrum Range. Coatings 2025, 15, 718. [Google Scholar] [CrossRef]
- Ma, X.; Zhang, X.; Gao, M.; Hu, R.; Wang, Y.; Li, G. The Interface Interaction of C3N4/Bi2S3 Promoted the Separation of Excitons and the Extraction of Free Photogenerated Carriers in the Broadband Light Spectrum Range. Inorganics 2025, 13, 122. [Google Scholar] [CrossRef]
- Wang, Z.; Shi, X.; Peng, H. Alternating current electroluminescent fibers for textile displays. Natl. Sci. Rev. 2023, 10, nwac113. [Google Scholar] [CrossRef]
- Wang, L.; Zhang, Y.; Bruce, P.G. Batteries for wearables. Natl. Sci. Rev. 2023, 10, nwac062. [Google Scholar] [CrossRef]
- Shoyiga, H.O.; Martincigh, B.S.; Nyamori, V.O. Recyclable and biodegradable smart electronic circuits on flexible substrates. Polym. Plast. Technol. Mater. 2023, 62, 2159–2181. [Google Scholar] [CrossRef]




















Disclaimer/Publisher’s Note: The statements, opinions and data contained in all publications are solely those of the individual author(s) and contributor(s) and not of MDPI and/or the editor(s). MDPI and/or the editor(s) disclaim responsibility for any injury to people or property resulting from any ideas, methods, instructions or products referred to in the content. |
© 2025 by the authors. Licensee MDPI, Basel, Switzerland. This article is an open access article distributed under the terms and conditions of the Creative Commons Attribution (CC BY) license (https://creativecommons.org/licenses/by/4.0/).
Share and Cite
Ma, X.; Zhang, X.; Gao, M.; Hu, R.; Wang, Y.; Li, G. Light-Induced Interfacial Charge Transport of In2O3/Reduced Graphene Oxide/Non-Conjugated Polymers in a Wide Range of the Light Spectrum. Coatings 2025, 15, 1448. https://doi.org/10.3390/coatings15121448
Ma X, Zhang X, Gao M, Hu R, Wang Y, Li G. Light-Induced Interfacial Charge Transport of In2O3/Reduced Graphene Oxide/Non-Conjugated Polymers in a Wide Range of the Light Spectrum. Coatings. 2025; 15(12):1448. https://doi.org/10.3390/coatings15121448
Chicago/Turabian StyleMa, Xingfa, Xintao Zhang, Mingjun Gao, Ruifen Hu, You Wang, and Guang Li. 2025. "Light-Induced Interfacial Charge Transport of In2O3/Reduced Graphene Oxide/Non-Conjugated Polymers in a Wide Range of the Light Spectrum" Coatings 15, no. 12: 1448. https://doi.org/10.3390/coatings15121448
APA StyleMa, X., Zhang, X., Gao, M., Hu, R., Wang, Y., & Li, G. (2025). Light-Induced Interfacial Charge Transport of In2O3/Reduced Graphene Oxide/Non-Conjugated Polymers in a Wide Range of the Light Spectrum. Coatings, 15(12), 1448. https://doi.org/10.3390/coatings15121448

