Next Article in Journal
Grain Refinement Caused by Dynamic Recrystallization Under Pulsed-Wave Laser Multi-Layer Cyclic Thermal Load
Previous Article in Journal
Construction of Silane-Modified Diatomite-Magnetic Nanocomposite Superhydrophobic Coatings Using Multi-Scale Composite Principle
Previous Article in Special Issue
Assessment of the Wettability and Mechanical Properties of Stearic-Acid-Modified Hydrophobic Cementitious Materials
 
 
Font Type:
Arial Georgia Verdana
Font Size:
Aa Aa Aa
Line Spacing:
Column Width:
Background:
Article

Performance Evaluation of Waterborne Epoxy Resin-Reinforced SBS, Waterborne Acrylate or SBR Emulsion for Road

1
Institute of Future Civil Engineering Sciences and Technology, Chongqing Jiaotong University, Chongqing 400074, China
2
School of Highway, Chang’an University, Xi’an 710064, China
*
Author to whom correspondence should be addressed.
Coatings 2025, 15(7), 787; https://doi.org/10.3390/coatings15070787
Submission received: 30 May 2025 / Revised: 25 June 2025 / Accepted: 2 July 2025 / Published: 3 July 2025
(This article belongs to the Special Issue Green Asphalt Materials—Surface Engineering and Applications)

Abstract

To obtain waterborne polymer-modified emulsified asphalt materials with better comprehensive performance, waterborne polymer modifiers including waterborne epoxy resin (WER)-reinforced styrene–butadiene–styrene block copolymer (SBS), waterborne acrylate (WA) or styrene butadiene rubber (SBR) emulsion were prepared. The mechanical strength, toughness, adhesion and impact resistance of these waterborne polymers were evaluated. Furthermore, the correlation between the performance indicators of the waterborne polymers was analyzed. Based on Fourier transform infrared (FTIR) spectroscopy and thermogravimetric (TG) analysis, the mechanism of WER-modified SBS and WA was characterized. The results show that adding 10%–15% WER can significantly improve the mechanical properties of the waterborne polymer. The performances of modified SBS and WA are better than that of modified SBR. When the content of WER is 10%, the tensile strength, elongation at break and pull-off strength of WER-modified SBS and WA are 4.80–6.38 MPa, 476.3%–579.6% and 1.62–1.70 MPa, respectively. The mechanical strength and breaking energy of the waterborne polymers show a significant linear correlation with their application properties such as adhesion, bonding and impact resistance. FTIR and TG analyses indicate that WER-modified SBS or WA prepared via emulsion blending undergo primarily physical modifications, enhancing thermal stability while promoting crosslinking and curing.

1. Introduction

The modified emulsified asphalt material can be sprayed and mixed at room temperature, which can reduce energy consumption and pollutant emission. It has the advantages of environmental protection, energy conservation, safety and convenient construction. It has been widely used in bridge deck waterproof bonding layers, pavement tack coats, micro-surfacing, fog seals and cold mix binder mixtures. Compared with the preparation of modified emulsified asphalt by emulsifying polymer-modified asphalt, the preparation method of combining waterborne polymer and emulsified asphalt cannot only effectively avoid the problem of the high viscosity and difficult emulsification of modified asphalt, but also avoid the destructive effect of high temperature and high speed shear on the polymer modifier in the emulsification process of modified asphalt. In recent years, waterborne polymer-modified emulsified asphalt has been widely studied and applied.
At present, commonly used waterborne polymer emulsified asphalt modifiers include styrene butadiene rubber (SBR), styrene–butadiene–styrene block copolymer (SBS), waterborne acrylate (WA) emulsion, etc. [1,2,3,4]. Hu et al. [5] prepared modified emulsified asphalt with SBR and SBS emulsion, and comprehensively evaluated its basic properties such as penetration, softening point and ductility of evaporation residue. At the same time, some researchers [6], based on dynamic shear rheological and bending beam rheological tests, used complex modulus (G*), rutting resistance factor (G*/sinδ), creep stiffness (s), creep rate (m) and other indicators to evaluate the high-temperature and low-temperature rheological properties of the evaporation residue of modified emulsified asphalt. The road performance of modified emulsified asphalt applied in different application scenarios such as bridge deck waterproof bonding layers, pavement tack coats, micro-surfacing [7,8], fog seals [9,10,11] and cold mix binder mixtures has been systematically evaluated. Relevant research and application showed that SBR, SBS, WA and other waterborne polymer modifiers can improve the bonding performance, temperature sensitivity and aging resistance of emulsified asphalt to a certain extent. At the same time, Xu et al. [1] pointed out that the high temperature and bonding properties of SBR-modified emulsified asphalt need to be improved, the storage stability of SBS-modified emulsified asphalt is poor and the water stability needs to be improved.
In the WER-modified emulsified asphalt, the WER and curing agent form a three-dimensional network structure through physical–chemical crosslinking, so that it retains the thermal stability, bonding strength and waterproof performance of the epoxy resin, and has the construction advantages of emulsified asphalt at the same time [12,13,14]. In recent years, to meet the comprehensive effect of complex climatic conditions, increasing traffic volume and heavy-duty vehicles, etc., higher requirements for road construction and maintenance quality have been put forward. Many studies have been carried out on WER-modified emulsified asphalt and WER composite SBR- or SBS-modified emulsified asphalt [15,16,17]. Yao et al. [18] studied the effects of WER/SBR composite modification on the rheological properties, low temperature crack resistance, thermal stability and micro-morphology of evaporation residues of emulsified asphalt. Zhang et al. [19] studied the bonding and waterproof properties of WER/SBR-modified emulsified asphalt when applied to the waterproof bonding layer of a bridge deck. Liu et al. [20] used WER/SBR composite-modified emulsified asphalt as a binder to overcome the problems of insufficient wear resistance, rutting resistance and water stability of ordinary micro-surfacing. Zhang et al. [21] prepared the cold mix binder mixture of WER/SBR composite-modified emulsified asphalt. Li et al. [22] used WER/SBS composite-modified emulsified asphalt as binder to prepare a color ultra-thin wearing course. Yao et al. [23] used WER/SBR composite-modified emulsified asphalt to prepare a cold recycled mixture, and studied its fusion mechanism with aging asphalt. The above studies show that WER can further improve the application effect of SBR-, SBS- and WA-modified emulsified asphalt in the field of road engineering. However, the current studies on waterborne polymer-modified emulsified asphalt mainly focuses on its basic performance evaluation, modification mechanism analysis and road performance evaluation under different application scenarios. Existing studies have basically directly added SBR, SBS, WER emulsion, etc., to emulsified asphalt, and few studies have optimized waterborne polymer modifiers based on their own mechanical strength, deformation ability, adhesion and other properties. In addition, there are many types of waterborne polymer modifiers on the market with different properties. It is necessary to further ensure the performance of polymer-modified emulsified asphalt by controlling the properties of waterborne polymer modifiers.
Based on this, WER-modified SBS, WA and SBR emulsions were prepared. The mechanical strength, toughness, adhesion and impact resistance of these waterborne polymers were evaluated. The performance differences between various waterborne polymers and the performance improvement effect of WER were clarified. The correlation between the performance indicators of the waterborne polymers was analyzed. Furthermore, the mechanism of WER strengthening SBS and WA was characterized. This is expected to lay a foundation for the performance evaluation of waterborne polymer emulsified asphalt modifiers and the preparation of higher performance modified emulsified asphalt materials.

2. Materials and Methods

2.1. Raw Materials

The physical blending method has the advantages of being a simple and controllable preparation process, adjustable mixing proportions and performance, and the stable performance of different batches of composite emulsion. Therefore, this study used the physical blending method to prepare WER-modified SBS, WA and SBR emulsions. Cationic SBS emulsion, non-ionic WA emulsion and cationic SBR emulsion commonly used in the road engineering field produced by Jinan Shanhai Chemical Co., Ltd. (Jinan, China), were selected. Bisphenol A type E-51 epoxy resin, which is liquid at room temperature, was selected, and it was emulsified by the phase inversion method. A non-ionic modified alicyclic amine WER curing agent that can be cured at room temperature was selected. The main technical indicators of each material are shown in Table 1.

2.2. Preparation of WER-Modified SBS, WA or SBR Emulsions

The preparation process of WER-modified SBS, WA or SBR emulsions is as follows:
  • Preparation of WER emulsion: First, the epoxy resin was emulsified by the phase inversion method [24]. A certain weight of emulsified epoxy resin, WER curing agent and defoaming leveling agent were weighed, which were stirred at the rate of 200–300 r/min for 30 s to mix evenly, and then stirred at the rate of 400–500 r/min for 3 min. Finally, WER emulsion was obtained after defoaming treatment.
  • Modification of SBS, WA or SBR emulsions: A certain weight of WER emulsion was weighed and added to SBS, WA or SBR emulsions. First, they were sheared and stirred at low speed (100–300 r/min) for 3 min by using a high-speed mixing shear apparatus, and then sheared and stirred at high speed (500–800 r/min) for 2 min. During the mixing process, the shearing speed can be adjusted appropriately. After defoaming, the WER-modified SBS, WA or SBR emulsions were obtained.
The content (mass fraction) of WER was preliminarily set at 6 levels: 0%, 5%, 10%, 15%, 20% and 30%. First, observe whether there will be demulsification, agglomeration, flocculent matter or thickening in the mixing process of WER emulsion with SBS, WA or SBR emulsion. If so, it will be determined as an infeasible scheme, and only the feasible scheme will be further studied. When the WER content reaches 30%, flocculent matter forms during the preparation of the modified SBR lotion; therefore, this formulation is excluded from further study.

2.3. Performance Test Method

Mechanical property tests including tensile, low-temperature impact and pull-off, as well as FTIR and TG tests, were carried out in this study. In each group, five specimens were tested, and the average of three valid measurements was reported.

2.3.1. Tensile Test

Referring to the tensile test method in Water quality asphalt waterproof coating for highway (JT/T 535-2015), China [25], the tensile strength, elongation at break and breaking energy were used to evaluate the mechanical strength, deformation capacity and toughness of the waterborne polymers, respectively. First, the prepared waterborne polymer was poured into the mold coated with release agent and cured at 25 °C. To improve the uniformity of the film formation, the film formation was carried out two times with an interval of 24 h to form a polymer film with a thickness of 2 ± 0.2 mm. After the polymer film was formed, it was cured at 35–40 °C for 7 days, and then the dumbbell-shaped test specimen was cut. Finally, the tensile test was carried out at 25 °C, and the tensile rate was 100 mm/min. The process of specimen fabrication and the performance test is shown in Figure 1.
Breaking energy represents the work per unit volume required to stretch a specimen to fracture, determined by integrating the area under the tensile stress–strain curve [26]. In this study, breaking energy served as a measure of waterborne polymer toughness and was calculated using Equation (1):
W t = 0 ε b σ t ( ε ) d ε
where Wt is the tensile breaking energy, J/m3; σt is the tensile stress, MPa; ε is the tensile strain; and εb is the maximum tensile strain.

2.3.2. Adhesion Test of Waterborne Polymer and Aggregate

Referring to the water boiling method in the Standard Test Methods of Bitumen and Bituminous Mixtures for Highway Engineering (JTG E20-2011), China [27], an ultrasonic wave was used to simulate the action of dynamic water pressure to accelerate the shedding of the waterborne polymers from the aggregate surface [13]. The adhesion between the waterborne polymer and aggregate was evaluated using the shedding rate of polymer after ultrasonic treatment for 30 min at 100 °C.

2.3.3. Low-Temperature Impact Test

The −20 °C impact strength was used to evaluate the low impact resistance and toughness of the waterborne polymers according to the test methods for the properties of a resin casting body (GB/T 2567-2021), China [28]. Films (2.0 ± 0.2 mm thickness) were formed, cured and cut into 80 mm × 10 mm strips. Specimens were conditioned at −20 °C for 4 h before immediate testing using a simple beam impact instrument. Impact strength was then calculated.

2.3.4. Pull-Off Strength Test

According to the relevant requirements in Water quality asphalt waterproof coating for highway (JT/T 535-2015), China [25], the pull-off strength was used to evaluate the bonding performance of the waterborne polymers. The waterborne polymer (1.0 kg/m2) was uniformly applied to C30-grade cement concrete specimens and cured at 25 °C for 3 days. A steel puller was bonded to the cured surface using rapid-cure AB adhesive, and the pull-off strength was tested with a drawing tester at a loading rate of 10 mm/min.

2.3.5. Attenuated Total Reflection FTIR Test

Attenuated total reflection Fourier transform infrared spectroscopy (ATR-FTIR) was used to identify specific functional groups and characterize chemical changes during the modification of the waterborne polymers. Spectra were acquired using a Thermo Scientific Nicolet iS20 FTIR spectrometer with a wavenumber range of 4000–600 cm−1 and a resolution of ≤4 cm−1.

2.3.6. TG Test

The thermogravimetric (TG) analysis was carried out using a Netzsch STA449 F5 TG analyzer produced by Germany’s Naichi Instrument Manufacturing Co., Ltd. (Krefeld, Germany). Testing parameters included a temperature range of 30 °C to 600 °C, a heating rate of 10 °C/min and a nitrogen atmosphere.

3. Results and Discussion

3.1. Composition Optimization and Performance Evaluation of WER-Modified SBS, WA or SBR

The mechanical strength, deformation ability, toughness, adhesion, impact resistance and bonding properties of WER-modified SBS, WA or SBR were evaluated. The performance differences between various waterborne polymers and the performance improvement effect of WER were clarified.

3.1.1. Tensile Properties

Based on the tensile test, the tensile strength, elongation at break and breaking energy were used to evaluate the mechanical strength, deformation capacity and toughness of each waterborne polymer, respectively. The results are shown in Figure 2, Figure 3, Figure 4 and Figure 5.
Figure 2, Figure 3, Figure 4 and Figure 5 show that with the increase in the content of WER, the tensile strength and tensile modulus of these waterborne polymers continue to increase, the elongation at break gradually decreases, and the breaking energy first increases and then decreases. When the content of WER increases from 0% to 10%, the tensile strength and breaking energy increase by about 600% and 200% respectively, and the mechanical strength and toughness of the waterborne polymers are significantly improved. When the content of WER is 10%–15%, the breaking energy of the modified polymers reaches the maximum value. With the continuous increase in the content of WER, the growth rate of the tensile strength of the waterborne polymers is obviously decreased. The modified waterborne polymers show the brittleness of epoxy resin, and the breaking energy shows a decreasing trend. It shows that adding an appropriate content of WER can improve the mechanical strength, tensile modulus and toughness of waterborne polymer to a certain extent, and increase its ability to resist deformation and damage. The content of WER is suggested to be 10%–15%.
Under the same content of WER, the tensile strength, elongation at break and breaking energy of WER-modified SBS or WA are significantly better than that of modified SBR, and the difference between the tensile properties of modified SBS and modified WA is small. When the content of WER is 10%, the tensile strength, elongation at break and breaking energy of WER-modified SBS are 4.80 MPa, 579.60% and 15.69 KJ/m3, respectively.

3.1.2. Adhesion Performance

The waterborne polymer shall have sufficient adhesion performance to ensure the adhesion performance of modified emulsified asphalt. The adhesion and thermal stability of the waterborne polymers to the aggregate were evaluated by using the shedding rate of polymer after ultrasonic treatment for 30 min at 100 °C. The test results are shown in Figure 6.
It can be seen from Figure 6 that with the increase in the content of WER, the shedding rate of the polymers gradually decreases, and the adhesion performance of the waterborne polymers continues to grow. Under the same content of WER, the shedding rate of WER-modified WA is the lowest, followed by modified SBS, and the shedding rate of modified SBR is the highest. When the content of WER is increased from 0% to 10%, the shedding rate of modified WA or SBS is reduced from 2.5%–4.5% to less than 1%. The modified polymers would hardly fall off the surface of the aggregate after ultrasonic treatment for 30 min at 100 °C, showing excellent thermal stability and adhesion properties. It shows that WER can effectively enhance the adhesion, water stability and heat resistance of SBS lotion, waterborne acrylate and styrene butadiene latex.

3.1.3. Impact Resistance

The −20 °C impact strength was used to evaluate the low-temperature toughness of the waterborne polymers. The test results are shown in Figure 7.
Figure 7 shows that with the increase in the content of WER, the crosslinking degree of the waterborne polymers continues to improve, and the impact strength increases to varying degrees. When the content of WER is 10%–15%, the −20 °C impact strength of these modified waterborne polymers reaches the maximum value, showing better low-temperature toughness. With the continuous increase in the content of WER, the modified waterborne polymer shows the brittleness of epoxy resin, the impact strength showed a decreasing trend and the content of WER was further determined to be 10%–15%.

3.1.4. Bonding Performance

Based on the pull-off test, the pull-out strength was used to evaluate the influence of the content of WER on the bonding performance of various waterborne polymers. The test results are shown in Figure 8.
Figure 8 shows that when the content of WER increases from 0% to 5% and 5% to 10%, the pull-off strength of the waterborne polymers increase by 60%–150% and 55%–80%, respectively. When the WER content is 10%, the tensile strength of modified SBS and WA exceeds 1.6 MPa. With the continuous increase in the content of WER, the growth rate of pull-off strength decreases significantly. When the content of WER increases from 10% to 20%, the pull-off strength of the waterborne polymers increases by 12%–15%. After adding WER reinforcement modification, the adhesion performance and mechanical strength of the waterborne polymers have been improved to a certain extent, so that its ability to resist external force damage has been enhanced and the pull-off strength has been improved.

3.2. Correlation Analysis Between Various Performances

Based on Pearson correlation analysis, the “p-value” (Saliency test) and “R2” (Correlation coefficient) are used to evaluate the correlation between the tensile, adhesion, low-temperature impact resistance and bonding performance of the waterborne polymers. The scatter diagram between the performance indicators is shown in Figure 9, and the Pearson correlation coefficient is shown in Table 2.
It can be seen from Figure 9 and Table 2 that the linear correlation coefficients, R2, between the shedding rate of the polymers, pull-off strength and tensile strength are −0.815 and 0.870, respectively. The linear correlation coefficient R2 between the −20 °C impact strength and breaking energy of the waterborne polymers is 0.959, and the pull-off strength of the waterborne polymers is negatively correlated with the shedding rate of the polymers, and the correlation coefficient R2 is −0.924. It shows that there is a certain correlation between the adhesion, bonding performance and mechanical strength of the waterborne polymers, and the impact resistance of the waterborne polymers is related to their breaking energy. When the mechanical strength and breaking energy of the waterborne polymers are at a high level, their application performance such as adhesion, bonding and impact resistance shows a higher level. To effectively ensure the application quality of modified emulsified asphalt in the field of road engineering, it is necessary to strengthen the optimization and performance improvement of basic materials such as the waterborne polymer modifiers.

3.3. FTIR and TG Analysis of WER-Modified SBS or WA

Based on FTIR and TG analysis, the physical and chemical changes in the process of WER modifying SBS or WA emulsion were characterized, and the mechanism of WER enhancing the properties of SBS or WA was revealed. Under the same WER content, the mechanical properties of modified SBR are significantly lower than those of modified SBS or WA. Considering that SBR and SBS have similar physicochemical properties, modified SBR will not be further studied.

3.3.1. FTIR Analysis

The FTIR of SBS, WA, WER, WER-modified SBS or WA were tested, and the changes in functional groups of waterborne polymers before and after the modification of WER were compared and analyzed. The results are shown in Figure 10 and Figure 11.
It can be seen from Figure 10 and Figure 11 that the absorption peaks near 966 cm−1 and 699 cm−1 are the C-H out of plane bending vibration bands of trans-configuration and cis-configuration of olefins in segment B of the SBS molecular chain, which are the characteristic absorption peaks of SBS. There is no significant difference in the positions of infrared absorption peaks between SBS and WER-modified SBS, and the intensities of characteristic peaks are slightly different. The absorption peak near 1730 cm−1 is the ester carbonyl C=O stretching vibration peak of acrylate, the absorption peak near 1160 cm−1 is the symmetric stretching vibration peak of ether bond C-O-C in acrylate and the absorption peak near 1065 cm−1 is the antisymmetric stretching vibration peak of ether bond C-O-C, which can be used as the characteristic absorption peak of acrylate polymer. By comparing the FTIR of WER-modified WA with that of WA and WER, it can be seen that their respective characteristic absorption peaks are still mainly retained in the modification process. The above analysis shows that the modification process of WER-modified SBS or WA prepared by the lotion blending method in this study is mainly through physical changes.

3.3.2. TG Analysis

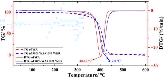
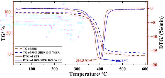
The compatibility, thermal stability and thermal decomposition of WER-modified SBS or WA were analyzed through TG curves and derivative thermogravimetric (DTG) curves. The results are shown in Figure 12 and Figure 13.
It can be seen from Figure 12 and Figure 13 that the TG curves of SBS and WA modified by adding WER do not show obvious steps, and their DTG curves have only one peak, which indicates that WER has improved compatibility and crosslinking with SBS and WA to a certain extent. The main weight loss temperature range of SBS, WA and WER-modified polymers is 350–450 °C. Under the same heating rate, the TG curves and DTG curves of SBS and WA modified by adding WER generally shift to the right. At the same weight loss rate, the decomposition temperature increases. The initial decomposition temperature and the end decomposition temperature increase. After adding WER for modification, the temperature at which SBS reaches the maximum thermal decomposition rate increases from 399.5 °C to 406.2 °C, and the temperature at which waterborne acrylate reaches the maximum thermal decomposition rate increases from 399.5 °C to 406.2 °C. It shows that WER can improve the thermal stability of SBS and WA, and enhance the crosslinking and curing degree of SBS and WA.

4. Conclusions

  • Adding an appropriate content of WER can significantly improve the mechanical strength, tensile modulus and toughness of SBS, WA and SBR, and increase its ability to resist deformation and damage. The content of WER is suggested to be 10%–15%.
  • There is a certain correlation between the adhesion, bonding and mechanical strength of the waterborne polymers, and the impact resistance is related to their breaking energy. The application properties of adhesion, bonding and impact resistance can be further improved by improving the mechanical strength and breaking energy of the waterborne polymers.
  • FTIR and TG analyses indicate that the modification process involving WER-modified SBS or WA prepared via emulsion blending primarily involves physical changes. WER enhances the thermal stability of SBS and WA while promoting crosslinking and curing. This study compares the performance differences among WER-reinforced SBS, WA, and SBR. Further investigation into the performance variations of these modified emulsified asphalts is warranted.

Author Contributions

Conceptualization, H.F. and C.W.; methodology, H.F. and C.W.; software, H.F.; validation, C.W.; formal analysis, H.F.; investigation, H.F.; resources, H.F.; data curation, C.W.; writing—original draft preparation, H.F.; writing—review and editing, C.W.; visualization, H.F.; supervision, C.W.; project administration, C.W.; funding acquisition, C.W. All authors have read and agreed to the published version of the manuscript.

Funding

This research was funded by the National Natural Science Foundation of China, grant number 52378429, and the Innovation Capability Support Program of Shaanxi, grant number 2022TD-07.

Institutional Review Board Statement

Not applicable.

Informed Consent Statement

Not applicable.

Data Availability Statement

The original contributions presented in this study are included in the article. Further inquiries can be directed to the corresponding author.

Conflicts of Interest

The authors declare that they have no conflicts of interest regarding the publication of this paper.

References

  1. Xu, L.; Li, X.R.; Zong, Q.D.; Xiao, F.P. Chemical, morphological and rheological investigations of SBR/SBS modified asphalt emulsions with waterborne acrylate and polyurethane. Constr. Build. Mater. 2021, 272, 121972. [Google Scholar] [CrossRef]
  2. Yang, F.; Zhou, Q.; Yang, L.M.; He, L.H.; Chen, Q.; Tang, S.G. Preparation and performance evaluation of waterborne epoxy resin modified emulsified asphalt binder. Case Stud. Constr. Mater. 2024, 21, e03548. [Google Scholar] [CrossRef]
  3. Xu, L.; Zhao, Z.F.; Li, X.R.; Yuan, J.; Zhou, Q.Y.; Xiao, F.P. Cracking investigation on fog seal technology with waterborne acrylate and polyurethane as a clean modification approach. J. Clean. Prod. 2021, 329, 129751. [Google Scholar] [CrossRef]
  4. Wang, H.Z.; Li, C.X.; Xu, G.; Zhou, Y.X.; Wang, R. Study of high-temperature rheological properties of emulsified asphalt residues. Coatings 2024, 14, 522. [Google Scholar] [CrossRef]
  5. Hu, F.G.; Tian, X.G.; Hu, H.L.; Li, G.Y.; Guo, C.H. Effect of SBR latex content on performance of modified emulsified asphalt. J. Build. Mater. 2021, 24, 895–900. (In Chinese) [Google Scholar] [CrossRef]
  6. Song, W.M.; Chen, D.W.; Wu, H.; Wu, Z.Z.; Wada, S.A.; Yuan, H. Preparation and performance characterization of waterborne epoxy resin modified asphalt emulsion for tack coat. J. Clean. Prod. 2024, 475, 143715. [Google Scholar] [CrossRef]
  7. Huang, S.L.; Jin, F.; Chen, D.D.; Xiao, Q.; Ding, Q.J. Study on modification mechanism and performance of waterborne epoxy resin Micro-surfacing. Coatings 2023, 13, 504. [Google Scholar] [CrossRef]
  8. Lu, C.; Zheng, M.L.; Gao, Y.; Ding, X.Y.; Zhang, W.W.; Chen, W. Study of long-term skid and wear resistance of waterborne epoxy resin-SBR compound modified emulsified asphalt microsurfacing. J. Appl. Polym. Sci. 2024, 141, 54937. [Google Scholar] [CrossRef]
  9. Zeng, Q.W.; Yang, S.X.; Cui, Q.X.; Luan, D.X.; Xiao, F.; Xu, C. Prediction of moisture content ratio of emulsified asphalt chip seal based on machine learning and electrical parameters. Constr. Build. Mater. 2024, 450, 138633. [Google Scholar] [CrossRef]
  10. Zhang, Z.Q.; Yang, J.H.; Fang, Y.; Luo, Y.F. Design and performance of waterborne epoxy-SBR asphalt emulsion (WESE) slurry seal as under-seal coat in rigid pavement. Constr. Build. Mater. 2020, 270, 121467. [Google Scholar] [CrossRef]
  11. Chen, Q.; Lan, X.; Li, A.Q.; Sun, X.L.; Wang, C.H. The novel rapid curing pavement maintenance seal with a low environmental impact: Preparation and performance evaluation. Wear 2025, 566–567, 205919. [Google Scholar] [CrossRef]
  12. Yan, K.Z.; Shi, J.Y.; Shi, K.X.; Wang, M.; Li, G.K.; Hong, Z. Effects of the chemical structure of curing agents on rheological properties and microstructure of WER emulsified asphalt. Constr. Build. Mater. 2022, 347, 128531. [Google Scholar]
  13. Fu, H.; Wang, C.H.; Niu, L.L.; Yang, G.L.; Liu, L.Q. Composition optimisation and performance evaluation of waterborne epoxy resin emulsified asphalt tack coat binder for pavement. Int. J. Pavement Eng. 2022, 23, 4034–4048. [Google Scholar] [CrossRef]
  14. Gu, Y.; Tang, B.M.; He, L.H.; Yang, F.; Wang, H.; Ling, J.M. Compatibility of cured phase-inversion waterborne epoxy resin emulsified asphalt. Constr. Build. Mater. 2019, 229, 116942. [Google Scholar] [CrossRef]
  15. Li, R.; Leng, Z.; Zhang, Y.; Ma, X. Preparation and characterization of waterborne epoxy modified bitumen emulsion as a potential high-performance cold binder. J. Clean. Prod. 2019, 235, 1265–1275. [Google Scholar] [CrossRef]
  16. Li, R.; Leng, Z.; Partl, M.N.; Raab, C. Characterization and modelling of creep and recovery behaviour of waterborne epoxy resin modified bitumen emulsion. Mater. Struct. 2021, 54, 8. [Google Scholar] [CrossRef]
  17. Ji, J.; Yao, H.; Zheng, W.H.; Suo, Z.; Xu, Y.; Han, S.; Xu, S.F.; You, Z.P. Preparation and properties of waterborne epoxy–modified emulsified asphalt binder (WEMEAB). J. Test. Eval. 2018, 48, 3172–3187. [Google Scholar] [CrossRef]
  18. Yao, X.G.; Tan, L.Z.; Xu, T. Preparation, properties and compound modification mechanism of waterborne epoxy resin/styrene butadiene rubber latex modified emulsified asphalt. Constr. Build. Mater. 2022, 318, 126178. [Google Scholar] [CrossRef]
  19. Zhang, Q.; Xu, Y.H.; Wen, Z.G. Influence of water-borne epoxy resin content on performance of waterborne epoxy resin compound SBR modified emulsified asphalt for tack coat. Constr. Build. Mater. 2017, 153, 774–782. [Google Scholar] [CrossRef]
  20. Liu, F.Q.; Zheng, M.L.; Liu, X.; Ding, X.Y.; Wang, F.; Wang, Q.Q. Performance evaluation of waterborne epoxy resin-SBR composite modified emulsified asphalt fog seal. Constr. Build. Mater. 2021, 301, 124106. [Google Scholar] [CrossRef]
  21. Zhang, W.; Zhang, Z.Q.; Zhao, Q.S. Laboratory performance evaluation of a waterborne epoxy-modified asphalt mixture with styrene-butadiene rubber for cold patching applications. J. Mater. Civ. Eng. 2022, 34, 04022111. [Google Scholar] [CrossRef]
  22. Li, X.L.; Yang, L.; Luo, S.; Song, X.J.; Fan, L.; Chen, J.J.; Diab, A.; Ye, J.H.; Ning, Z.F. Aging characteristics of a colored ultrathin overlay. J. Transp. Eng. Part B Pavements 2022, 148, 04022009. [Google Scholar] [CrossRef]
  23. Yao, X.G.; Xu, H.Y.; Xu, T. Syncretization mechanism between emulsified asphalt and aged asphalt in cold recycled asphalt mixture using developed demulsification-dehydration method. Constr. Build. Mater. 2022, 326, 126860. [Google Scholar] [CrossRef]
  24. Wang, F.; Fu, H.; Liu, G.X.; Wang, C.H.; Yu, S.X. Preparation optimization and performance evaluation of waterborne epoxy resin for roads. Adv. Civ. Eng. 2021, 2021, 8977674. [Google Scholar] [CrossRef]
  25. JT/T 535-2015; Water Quality Asphalt Waterproof Coating for Highway. Ministry of Transport of the People’s Republic of China: Beijing, China, 2015. (In Chinese)
  26. Wang, Y.L.; Hou, L.J.; Liu, Z.Y.; Li, S.Y.; Li, Z.H. Study on coating properties of waterborne polyurethane modified epoxy resin latex. Mater. Rep. 2019, 33, 2456–2460. (In Chinese) [Google Scholar]
  27. JTG E20-2011; Standard Test Methods of Bitumen and Bituminous Mixtures for Highway Engineering. Ministry of Transport of the People’s Republic of China: Beijing, China, 2011. (In Chinese)
  28. GB/T 2567-2021; Test Methods for Properties of Resin Casting Body. Standardization Administration of China: Beijing, China, 2021. (In Chinese)
Figure 1. The process of specimen fabrication and tensile performance test.
Figure 1. The process of specimen fabrication and tensile performance test.
Coatings 15 00787 g001
Figure 2. Tensile properties of WER-modified SBR: (a) stress–strain curve; (b) tensile strength, elongation at break and breaking energy.
Figure 2. Tensile properties of WER-modified SBR: (a) stress–strain curve; (b) tensile strength, elongation at break and breaking energy.
Coatings 15 00787 g002
Figure 3. Tensile properties of WER-modified SBS: (a) stress–strain curve; (b) tensile strength, elongation at break and breaking energy.
Figure 3. Tensile properties of WER-modified SBS: (a) stress–strain curve; (b) tensile strength, elongation at break and breaking energy.
Coatings 15 00787 g003
Figure 4. Tensile properties of WER-modified WA: (a) stress–strain curve; (b) tensile strength, elongation at break and breaking energy.
Figure 4. Tensile properties of WER-modified WA: (a) stress–strain curve; (b) tensile strength, elongation at break and breaking energy.
Coatings 15 00787 g004
Figure 5. Comparison of tensile properties of different types of waterborne polymers: (a) tensile strength; (b) elongation at break and (c) breaking energy.
Figure 5. Comparison of tensile properties of different types of waterborne polymers: (a) tensile strength; (b) elongation at break and (c) breaking energy.
Coatings 15 00787 g005
Figure 6. Shedding rate of modified SBS, WA or SBR under different WER contents.
Figure 6. Shedding rate of modified SBS, WA or SBR under different WER contents.
Coatings 15 00787 g006
Figure 7. The −20 °C impact strength of modified SBS, WA or SBR under different WER contents.
Figure 7. The −20 °C impact strength of modified SBS, WA or SBR under different WER contents.
Coatings 15 00787 g007
Figure 8. Pull-out strength of modified SBS, WA or SBR under different WER contents.
Figure 8. Pull-out strength of modified SBS, WA or SBR under different WER contents.
Coatings 15 00787 g008
Figure 9. The scatter diagram between the performance indicators of the waterborne polymers.
Figure 9. The scatter diagram between the performance indicators of the waterborne polymers.
Coatings 15 00787 g009
Figure 10. FTIR of WER, SBS and WER-modified SBS.
Figure 10. FTIR of WER, SBS and WER-modified SBS.
Coatings 15 00787 g010
Figure 11. FTIR of WER, WA and WER-modified WA.
Figure 11. FTIR of WER, WA and WER-modified WA.
Coatings 15 00787 g011
Figure 12. TG and DTG of WER, SBS and WER-modified SBS.
Figure 12. TG and DTG of WER, SBS and WER-modified SBS.
Coatings 15 00787 g012
Figure 13. TG and DTG of WER, WA and WER-modified WA.
Figure 13. TG and DTG of WER, WA and WER-modified WA.
Coatings 15 00787 g013
Table 1. The main technical indexes of each material.
Table 1. The main technical indexes of each material.
No.MaterialsBasic Performance Indices
1SBSMilky white viscous liquid; solid content, 48%–52%; density, ≥1.10 g/cm3; viscosity, 10–40 mPa.s; pH, 6–7
2WAMilky translucent liquid; solid content, 46%–48%; density, ≥1.05 g/cm3; viscosity, 350–500 mPa.s; pH, 7–8
3SBRMilky white viscous liquid; solid content, 49%–51%; density, ≥1.10 g/cm3; viscosity, 50–350 mPa.s; pH, 7–9
4E-51 epoxy resinTransparent liquid; molecular weight, 350–400; epoxy value, 0.48–0.54 (mol/100 g)
5WER curing agentNon-ionic yellowish transparent liquid; solid content, 48%–52%; density, 1.05–1.10 g/cm3; active hydrogen equivalent (solids), 291; viscosity, 10 Pa·s; pH, 11–13
Table 2. Pearson correlation coefficient R2 (“*” represents a significance level p-value of 5%, and “**” represents a p-value of 1%).
Table 2. Pearson correlation coefficient R2 (“*” represents a significance level p-value of 5%, and “**” represents a p-value of 1%).
Pearson Correlation Coefficient R2Tensile Strength /MPaElongation at Break /%Breaking Energy /(KJ/m3)Shedding Rate of Polymer /%Impact Strength /(KJ/m2)Pull-Off Strength /MPa
Tensile strength /MPa------
Elongation at break /%−0.586 *-----
Breaking energy /(KJ/m3)0.781 **−0.348----
Shedding rate of polymer /%−0.815 **0.573 *−0.843 **---
Impact strength /(KJ/m2)0.762 **−0.3430.959 **−0.837 **--
Pull-off strength /MPa0.870 **−0.760 **0.739 **−0.924 **0.727 **-
Disclaimer/Publisher’s Note: The statements, opinions and data contained in all publications are solely those of the individual author(s) and contributor(s) and not of MDPI and/or the editor(s). MDPI and/or the editor(s) disclaim responsibility for any injury to people or property resulting from any ideas, methods, instructions or products referred to in the content.

Share and Cite

MDPI and ACS Style

Fu, H.; Wang, C. Performance Evaluation of Waterborne Epoxy Resin-Reinforced SBS, Waterborne Acrylate or SBR Emulsion for Road. Coatings 2025, 15, 787. https://doi.org/10.3390/coatings15070787

AMA Style

Fu H, Wang C. Performance Evaluation of Waterborne Epoxy Resin-Reinforced SBS, Waterborne Acrylate or SBR Emulsion for Road. Coatings. 2025; 15(7):787. https://doi.org/10.3390/coatings15070787

Chicago/Turabian Style

Fu, Hao, and Chaohui Wang. 2025. "Performance Evaluation of Waterborne Epoxy Resin-Reinforced SBS, Waterborne Acrylate or SBR Emulsion for Road" Coatings 15, no. 7: 787. https://doi.org/10.3390/coatings15070787

APA Style

Fu, H., & Wang, C. (2025). Performance Evaluation of Waterborne Epoxy Resin-Reinforced SBS, Waterborne Acrylate or SBR Emulsion for Road. Coatings, 15(7), 787. https://doi.org/10.3390/coatings15070787

Note that from the first issue of 2016, this journal uses article numbers instead of page numbers. See further details here.

Article Metrics

Back to TopTop