Self-Anchoring Coumarin Oxime Ester Photoinitiators with Low Migration for UV-LED Curable Coatings
Abstract
1. Introduction
2. Materials and Methods
2.1. Materials
2.2. Methods
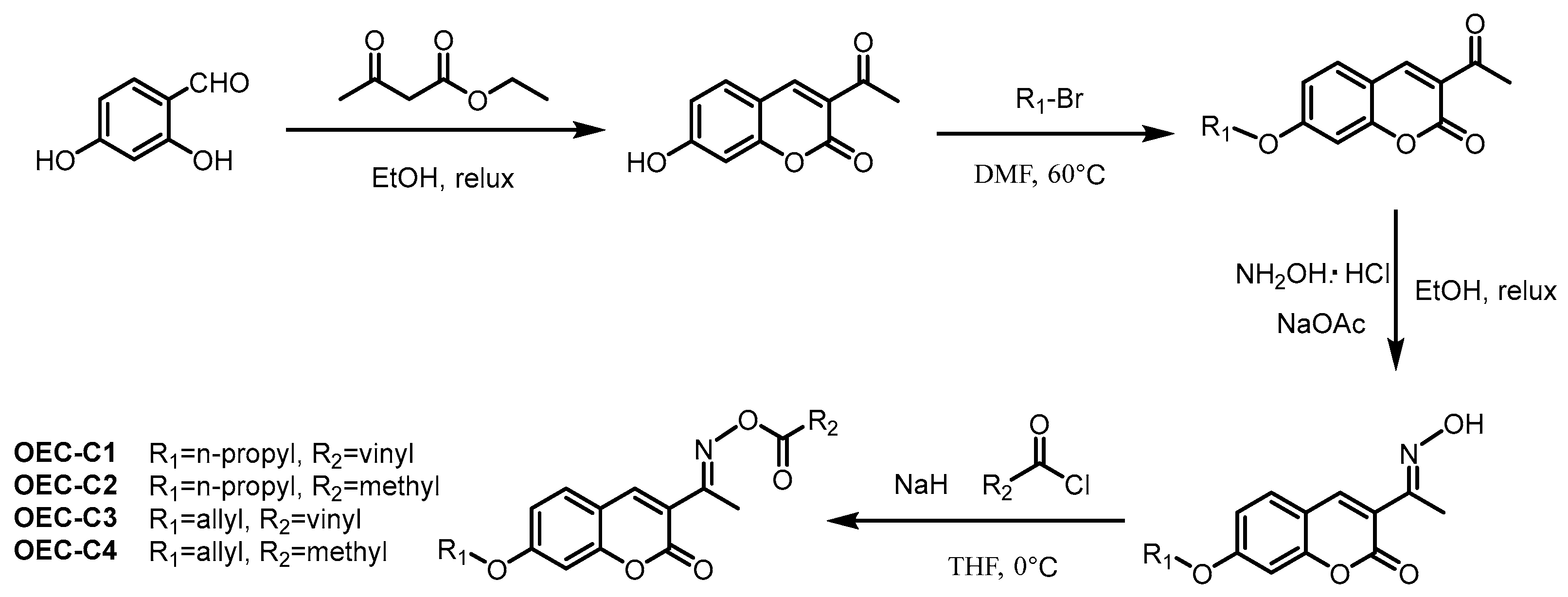
2.3. Synthesis
2.3.1. Synthesis of 7-Hydroxy-3-acetylcoumarin [32]
2.3.2. Synthesis of 7-Propoxy-3-acetylcoumarin [33]
2.3.3. Synthesis of 7-Propoxy-3-acetylcoumarin Oxime
2.3.4. Synthesis of 7-Propoxy-3-acetylcoumarin Acryloyl Oxime Ester (OEC-C1)
2.3.5. Synthesis of 7-Propoxy-3-acetylcoumarin Acetyl Oxime Ester (OEC-C2)
2.3.6. Synthesis of 7-Allyloxy-3-acetylcoumarin [34]
2.3.7. Synthesis of 7-Allyloxy-3-acetylcoumarin Oxime
2.3.8. Synthesis of 7-Allyloxy-3-acetylcoumarin Acryloyl Oxime Ester (OEC-C3)
2.3.9. Synthesis of 7-Allyloxy-3-acetylcoumarin Acetyl Oxime Ester (OEC-C4)
3. Results and Discussion
3.1. Molecular Design and Synthesis of the Photoinitiators
3.2. Theoretical Calculations
3.3. Absorption and Photolysis
3.4. Photopolymerization
3.5. Migration Study
4. Conclusions
Supplementary Materials
Author Contributions
Funding
Institutional Review Board Statement
Informed Consent Statement
Data Availability Statement
Conflicts of Interest
References
- He, X.; Zang, L.; Xin, Y.; Zou, Y. An Overview of Photopolymerization and Its Diverse Applications. Appl. Res. 2023, 2, e202300030. [Google Scholar] [CrossRef]
- Patil, R.S.; Thomas, J.; Patil, M.; John, J. To Shed Light on the UV Curable Coating Technology: Current State of the Art and Perspectives. J. Compos. Sci. 2023, 7, 513. [Google Scholar] [CrossRef]
- Liu, S.; Borjigin, T.; Schmitt, M.; Morlet-Savary, F.; Xiao, P.; Lalevée, J. High-Performance Photoinitiating Systems for LED-Induced Photopolymerization. Polymers 2023, 15, 342. [Google Scholar] [CrossRef]
- Zhang, Y.; Xu, Y.; Simon-Masseron, A.; Lalevée, J. Radical Photoinitiation with LEDs and Applications in the 3D Printing of Composites. Chem. Soc. Rev. 2021, 50, 3824–3841. [Google Scholar] [CrossRef]
- Bao, Y. Recent Trends in Advanced Photoinitiators for Vat Photopolymerization 3D Printing. Macromol. Rapid Commun. 2022, 43, 2200202. [Google Scholar] [CrossRef] [PubMed]
- Müller, S.M.; Schlögl, S.; Wiesner, T.; Haas, M.; Griesser, T. Recent Advances in Type I Photoinitiators for Visible Light Induced Photopolymerization. ChemPhotoChem 2022, 6, e202200091. [Google Scholar] [CrossRef]
- Hammoud, F.; Hijazi, A.; Schmitt, M.; Dumur, F.; Lalevée, J. A Review on Recently Proposed Oxime Ester Photoinitiators. Eur. Polym. J. 2023, 188, 111901. [Google Scholar] [CrossRef]
- Dumur, F. Recent Advances on Carbazole-Based Oxime Esters as Photoinitiators of Polymerization. Eur. Polym. J. 2022, 175, 111330. [Google Scholar] [CrossRef]
- Li, Z.; Zou, X.; Zhu, G.; Liu, X.; Liu, R. Coumarin-Based Oxime Esters: Photobleachable and Versatile Unimolecular Initiators for Acrylate and Thiol-Based Click Photopolymerization under Visible Light-Emitting Diode Light Irradiation. ACS Appl. Mater. Interfaces 2018, 10, 16113–16123. [Google Scholar] [CrossRef]
- Li, Z.; Zou, X.; Shi, F.; Liu, R.; Yagci, Y. Highly Efficient Dandelion-like near-Infrared Light Photoinitiator for Free Radical and Thiol-Ene Photopolymerizations. Nat. Commun. 2019, 10, 3560. [Google Scholar] [CrossRef] [PubMed]
- Qiu, W.; Hu, P.; Zhu, J.; Liu, R.; Li, Z.; Hu, Z.; Chen, Q.; Dietliker, K.; Liska, R. Cleavable Unimolecular Photoinitiators Based on Oxime-Ester Chemistry for Two-Photon Three-Dimensional Printing. ChemPhotoChem 2019, 3, 1090–1094. [Google Scholar] [CrossRef]
- Hu, P.; Qiu, W.; Naumov, S.; Scherzer, T.; Hu, Z.; Chen, Q.; Knolle, W.; Li, Z. Conjugated Bifunctional Carbazole-Based Oxime Esters: Efficient and Versatile Photoinitiators for 3D Printing under One- and Two-Photon Excitation. ChemPhotoChem 2020, 4, 224–232. [Google Scholar] [CrossRef]
- Qian, C.; Bai, L.; Wang, W.; Luo, Y.; Li, J.; Wang, Y. Occurrences and Migration Characteristics of Photoinitiators in Paper Food Packaging: Implication for Human Exposure. J. Environ. Sci. 2024. [Google Scholar] [CrossRef]
- Aparicio, J.L.; Elizalde, M. Migration of Photoinitiators in Food Packaging: A Review: Migration of photoinitiators in food packaging: A review. Packag. Technol. Sci. 2015, 28, 181–203. [Google Scholar] [CrossRef]
- Liu, S.; Brunel, D.; Noirbent, G.; Mau, A.; Chen, H.; Morlet-Savary, F.; Graff, B.; Gigmes, D.; Xiao, P.; Dumur, F.; et al. New Multifunctional Benzophenone-Based Photoinitiators with High Migration Stability and Their Applications in 3D Printing. Mater. Chem. Front. 2021, 5, 1982–1994. [Google Scholar] [CrossRef]
- Zhou, J.; Allonas, X.; Ibrahim, A.; Liu, X. Progress in the Development of Polymeric and Multifunctional Photoinitiators. Prog. Polym. Sci. 2019, 99, 101165. [Google Scholar] [CrossRef]
- Liao, W.; Jin, M. Strategies to Develop α-Aminoketone Derivatives Photoinitiators with Low Migration Ability for UV–Vis LED Photopolymerization. Eur. Polym. J. 2023, 187, 111899. [Google Scholar] [CrossRef]
- Jin, J.; Lu, G.; Nie, J.; Zhu, X. Low Migration and High Performance Thioxanthone Based Photoinitiators. Eur. Polym. J. 2024, 202, 112625. [Google Scholar] [CrossRef]
- Chen, L.; Chen, F.; Zhu, W.; Chen, L.; Liang, Y.; Guo, X. Construction of Photoinitiator Functionalized Spherical Nanoparticles Enabling Favorable Photoinitiating Activity and Migration Resistance for 3D Printing. Polymers 2022, 14, 4551. [Google Scholar] [CrossRef] [PubMed]
- Peng, X.; Zhang, J.; Stachurski, Z.H.; Holl, M.M.B.; Xiao, P. Visible-Light-Sensitive Triazine-Coated Silica Nanoparticles: A Dual Role Approach to Polymer Nanocomposite Materials with Enhanced Properties. ACS Appl. Mater. Interfaces 2021, 13, 46033–46042. [Google Scholar] [CrossRef] [PubMed]
- Sahin, M.; Krawczyk, K.K.; Roszkowski, P.; Wang, J.; Kaynak, B.; Kern, W.; Schlögl, S.; Grützmacher, H. Photoactive Silica Nanoparticles: Influence of Surface Functionalization on Migration and Kinetics of Radical-Induced Photopolymerization Reactions. Eur. Polym. J. 2018, 98, 430–438. [Google Scholar] [CrossRef]
- Han, Y.; Wang, F.; Lim, C.Y.; Chi, H.; Chen, D.; Wang, F.; Jiao, X. High-Performance Nano-Photoinitiators with Improved Safety for 3D Printing. ACS Appl. Mater. Interfaces 2017, 9, 32418–32423. [Google Scholar] [CrossRef] [PubMed]
- Deng, L.; Qu, J. Design of Novel Phenothiazine-Based Push-Pull Photoinitiators for Visible Light with High Activity, Good Solubility and Low Migration. Prog. Org. Coat. 2023, 183, 107766. [Google Scholar] [CrossRef]
- Xu, Y.; Noirbent, G.; Brunel, D.; Ding, Z.; Gigmes, D.; Graff, B.; Xiao, P.; Dumur, F.; Lalevée, J. Allyloxy Ketones as Efficient Photoinitiators with High Migration Stability in Free Radical Polymerization and 3D Printing. Dyes Pigm. 2021, 185, 108900. [Google Scholar] [CrossRef]
- Roth, M.; Hennen, D.; Oesterreicher, A.; Mostegel, F.H.; Kappaun, S.; Edler, M.; Griesser, T. Exploring Functionalized Benzophenones as Low-Migration Photoinitiators for Vinyl Carbonate/Thiol Formulations. Eur. Polym. J. 2017, 88, 403–411. [Google Scholar] [CrossRef]
- Gong, S.; Hou, J.; Wu, X.; Huang, M.; Wei, T.; Deng, S.; Xiong, Y.; Tang, H. Fast Photobleachable and Low Migration One-Component Green Indole Visible Photoinitiators. Chem. Eng. J. 2023, 477, 146904. [Google Scholar] [CrossRef]
- Li, L.; Zhu, D.; Peng, X.; Xiao, P. Visible-Light-Sensitive Polymerizable and Polymeric Triazine-Based Photoinitiators with Enhanced Migration Stability. Catalysts 2022, 12, 1305. [Google Scholar] [CrossRef]
- Liang, S.; Yang, Y.D.; Zhou, H.Y.; Li, Y.Q.; Wang, J.X. Novel Polymerizable HMPP-Type Photoinitiator with Carbamate: Synthesis and Photoinitiating Behaviors. Prog. Org. Coat. 2017, 110, 128–133. [Google Scholar] [CrossRef]
- Li, W.; Nie, J.; Zhao, Y.; Zhu, X. Photoinitiators with Low Migration Capability Based on Benzophenone. Eur. Polym. J. 2024, 202, 112591. [Google Scholar] [CrossRef]
- Qiu, W.; Zhu, J.; Dietliker, K.; Li, Z. Polymerizable Oxime Esters: An Efficient Photoinitiator with Low Migration Ability for 3D Printing to Fabricate Luminescent Devices. ChemPhotoChem 2020, 4, 5296–5303. [Google Scholar] [CrossRef]
- Griesser, M.; Rosspeintner, A.; Dworak, C.; Höfer, M.; Grabner, G.; Liska, R.; Gescheidt, G. Initiators Based on Benzaldoximes: Bimolecular and Covalently Bound Systems. Macromolecules 2012, 45, 8648–8657. [Google Scholar] [CrossRef] [PubMed]
- Starčević, Š.; Brožič, P.; Turk, S.; Cesar, J.; Lanišnik Rižner, T.; Gobec, S. Synthesis and Biological Evaluation of (6- and 7-Phenyl) Coumarin Derivatives as Selective Nonsteroidal Inhibitors of 17β-Hydroxysteroid Dehydrogenase Type 1. J. Med. Chem. 2011, 54, 248–261. [Google Scholar] [CrossRef] [PubMed]
- Chen, L.; Lv, Q.; Cai, J.; Liang, J.; Liang, Z.; Lin, J.; Xiao, Y.; Chen, R.; Zhang, Z.; Hong, Y.; et al. Design, Synthesis and Anticancer Activity Studies of 3-(Coumarin-3-Yl)-Acrolein Derivatives: Evidenced by Integrating Network Pharmacology and Vitro Assay. Front. Pharmacol. 2023, 14, 1141121. [Google Scholar] [CrossRef]
- Hui, W.; Wei-Hua, Z.; Feng-Ni, X.I.E.; Hua-Can, S. Synthesis and Biological Evaluation of Coumarin Schiff Base Deriva-Tives as Novel Antitumor Inhibitors. Chin. J. Org. Chem. 2011, 31, 708. [Google Scholar]
- Dumur, F. Recent Advances on Coumarin-Based Photoinitiators of Polymerization. Eur. Polym. J. 2022, 163, 110962. [Google Scholar] [CrossRef]
- Mallavia, R.; Sastre, R.; Amat-Guerri, F. Photofragmentation and Photoisomerization of O-Acyl-α-Oxooximes. J. Photoch. Photobio. A. 2001, 138, 193–201. [Google Scholar] [CrossRef]
- Shiota, D.; Tadokoro, Y.; Noda, K.; Shida, M.; Fujii, M. Photopolymerization Analysis by Isomerization for Oxime Derivatives. J. Photopolym. Sci. Technol. 2011, 24, 625–629. [Google Scholar] [CrossRef][Green Version]
- Lu, H.; Li, Z. Synthesis and Structure-Activity Relationship of N-Substituted Carbazole Oxime Ester Photoinitiators. J. Photopol. Sci. Technol. 2021, 34, 307–313. [Google Scholar] [CrossRef]
- Dietliker, K.; Jung, T.; Benkhoff, J.; Kura, H.; Matsumoto, A.; Oka, H.; Hristova, D.; Gescheidt, G.; Rist, G. New Developments in Photoinitiators. Macromol. Symp. 2004, 217, 77–98. [Google Scholar] [CrossRef]
- Yang, D.B. Kinetic Studies of Photopolymerization Using Real Time FT-IR Spectroscopy. J. Polym. Sci. Pol. Chem. 1993, 31, 199–208. [Google Scholar] [CrossRef]
- Szymaszek, P.; Tomal, W.; Świergosz, T.; Kamińska-Borek, I.; Popielarz, R.; Ortyl, J. Review of Quantitative and Qualitative Methods for Monitoring Photopolymerization Reactions. Polym. Chem. 2023, 14, 1690–1717. [Google Scholar] [CrossRef]
- Lowe, B.; Thiol-Ene, A. “Click” Reactions and Recent Applications in Polymer and Materials Synthesis. Polym. Chem. 2010, 1, 17–36. [Google Scholar] [CrossRef]









| PIs | λmax (nm) | εmax (M−1cm−1) |
|---|---|---|
| OEC-C1 | 334 | 14,963 |
| OEC-C2 | 337 | 19,118 |
| OEC-C3 | 330 | 15,260 |
| OEC-C4 | 336 | 12,074 |
Disclaimer/Publisher’s Note: The statements, opinions and data contained in all publications are solely those of the individual author(s) and contributor(s) and not of MDPI and/or the editor(s). MDPI and/or the editor(s) disclaim responsibility for any injury to people or property resulting from any ideas, methods, instructions or products referred to in the content. |
© 2024 by the authors. Licensee MDPI, Basel, Switzerland. This article is an open access article distributed under the terms and conditions of the Creative Commons Attribution (CC BY) license (https://creativecommons.org/licenses/by/4.0/).
Share and Cite
Chen, Z.; Yang, P.; Lu, H.; Xiong, S.; Dai, G.; Li, Z. Self-Anchoring Coumarin Oxime Ester Photoinitiators with Low Migration for UV-LED Curable Coatings. Coatings 2025, 15, 6. https://doi.org/10.3390/coatings15010006
Chen Z, Yang P, Lu H, Xiong S, Dai G, Li Z. Self-Anchoring Coumarin Oxime Ester Photoinitiators with Low Migration for UV-LED Curable Coatings. Coatings. 2025; 15(1):6. https://doi.org/10.3390/coatings15010006
Chicago/Turabian StyleChen, Zhihong, Pin Yang, Huaqiao Lu, Shiyun Xiong, Gaole Dai, and Zhiquan Li. 2025. "Self-Anchoring Coumarin Oxime Ester Photoinitiators with Low Migration for UV-LED Curable Coatings" Coatings 15, no. 1: 6. https://doi.org/10.3390/coatings15010006
APA StyleChen, Z., Yang, P., Lu, H., Xiong, S., Dai, G., & Li, Z. (2025). Self-Anchoring Coumarin Oxime Ester Photoinitiators with Low Migration for UV-LED Curable Coatings. Coatings, 15(1), 6. https://doi.org/10.3390/coatings15010006

