Research on the Durability of Modified Crumb Rubber Asphalt Mixtures in High-Altitude and Seasonally Frozen Regions
Abstract
1. Introduction
2. Raw Materials
2.1. Asphalt
2.2. Crumb Rubber
3. Asphalt Mixtures
3.1. Gradation Design
3.2. Asphalt Mixture Design
3.3. Specimen Preparation
4. Test Programs
4.1. UV Aging Test
4.2. Freeze–Thaw Cycling Test
4.3. Road Performance Tests
4.3.1. Cantabro Test
4.3.2. High-Temperature Stability Test
4.3.3. Low-Temperature Bending Beam Test
4.3.4. Freeze–Thaw Splitting Test
4.3.5. Indirect Tensile Fatigue Test
5. Results and Discussion
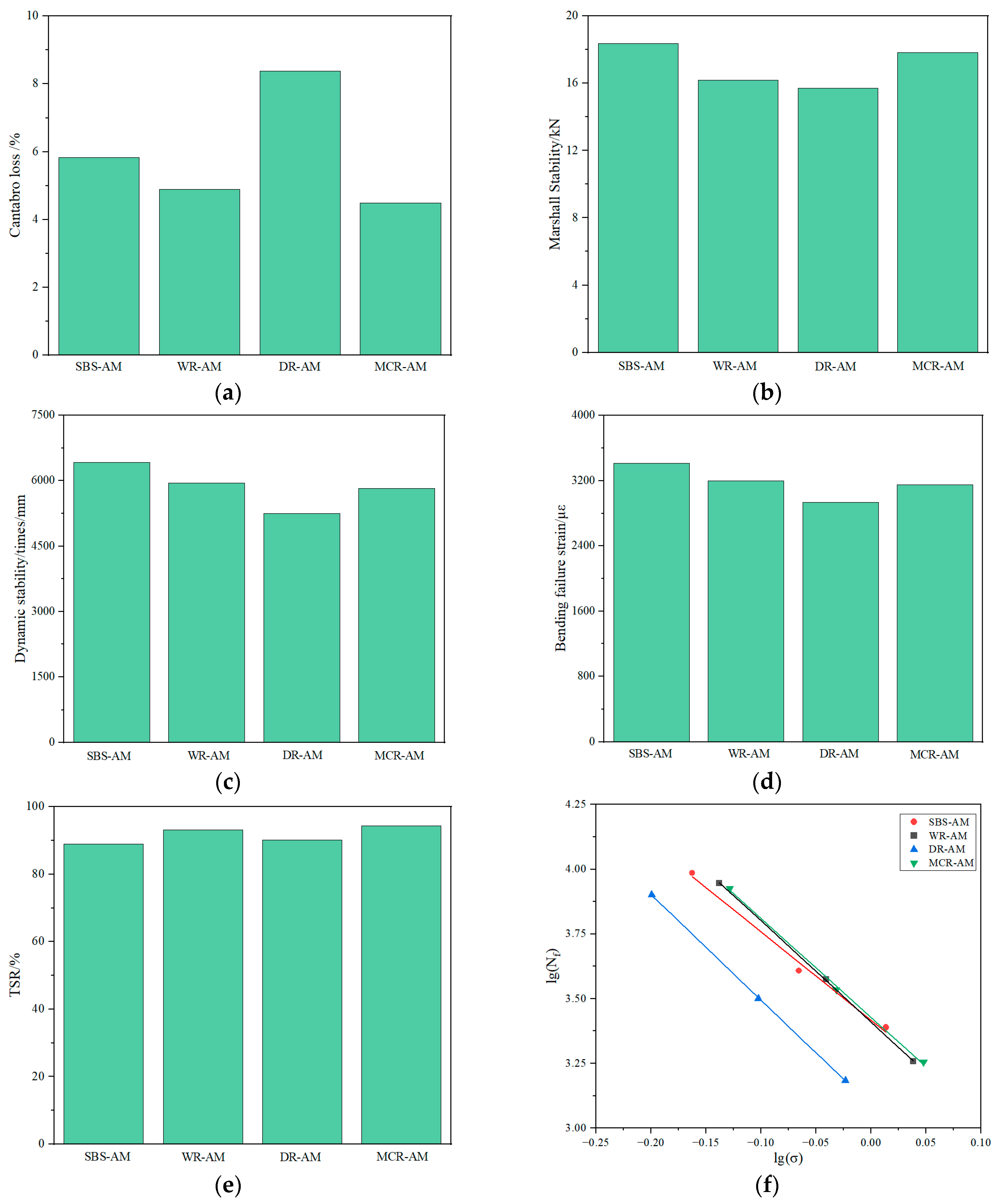
5.1. Effects of MCR on Performances of Asphalt Mixtures
5.2. Performance Degradation Under UV Aging
5.2.1. Cohesive and Adhesive Properties
5.2.2. High-Temperature Stability
5.2.3. Low-Temperature Cracking Resistance
5.2.4. Water Stability
5.2.5. Fatigue Resistance
5.3. Performance Degradation Under Freeze–Thaw Cycling
5.3.1. Cohesive and Adhesive Properties
5.3.2. High-Temperature Stability
5.3.3. Low-Temperature Cracking Resistance
5.3.4. Water Stability
5.3.5. Fatigue Resistance
6. Conclusions
- The MCR asphalt mixture exhibited better cohesion and water stability than other tested mixtures, while maintaining comparable performance in high-temperature stability, low-temperature cracking resistance, and fatigue resistance.
- Under UV aging conditions, the water stability, cracking resistance, and fatigue resistance of all asphalt mixtures were adversely affected as the duration of exposure increased. The network structure between MCR and asphalt enhanced the resistance of asphalt mixtures to UV aging. The MCR-AM exhibited a relatively slow degradation rate over 16 months compared to the others, achieving a Cantabro loss and TSR of 10.1% and 78.4%, respectively. Also, in terms of cracking and fatigue resistance, MCR-AM shows the best resistance due to its unique composition that mitigates stress sensitivity.
- When subjected to freeze–thaw cycling, the incorporation of MCR particles in MCR-AM noticeably improved toughness and elastic recovery, leading to delayed micro-crack propagation and a self-healing effect. The expansion reaction between MCR particles and asphalt enhances the resistance of the asphalt mixture to freeze–thaw damage, which mitigates its performance degradation rate compared to the other mixtures.
- The findings suggest that MCR-modified asphalt mixture is a promising alternative for enhancing pavement performance in high-altitude and seasonally frozen regions, thereby contributing to the development of more durable road infrastructures. Future research should focus on its long-term performance under real-world conditions to further validate these benefits.
Author Contributions
Funding
Institutional Review Board Statement
Informed Consent Statement
Data Availability Statement
Acknowledgments
Conflicts of Interest
References
- Czarna-Juszkiewicz, D.; Kunecki, P.; Cader, J.; Wdowin, M. Review in Waste Tire Management-Potential Applications in Mitigating Environmental Pollution. Materials 2023, 16, 5771. [Google Scholar] [CrossRef] [PubMed]
- Chen, B.; Zheng, D.; Xu, R.; Leng, S.; Han, L.; Zhang, Q.; Liu, N.; Dai, C.; Wu, B.; Yu, G.; et al. Disposal Methods for Used Passenger Car Tires: One of the Fastest Growing Solid Wastes in China. Green Energy Environ. 2022, 7, 1298–1309. [Google Scholar] [CrossRef]
- Han, W.; Han, D.; Chen, H. Pyrolysis of Waste Tires: A Review. Polymers 2023, 15, 1604. [Google Scholar] [CrossRef]
- Cui, D.; Bi, Z.; Wang, Y.; Gu, Y.; Wang, H.; Gao, X.; Wang, P.; Sun, X.; Chen, W.-Q. Scenario Analysis of Waste Tires from China’s Vehicles Future. J. Clean Prod. 2024, 478, 143940. [Google Scholar] [CrossRef]
- Gao, N.; Wang, F.; Quan, C.; Santamaria, L.; Lopez, G.; Williams, P.T. Tire Pyrolysis Char: Processes, Properties, Upgrading and Applications. Prog. Energy Combust. Sci. 2022, 93, 101022. [Google Scholar] [CrossRef]
- Wang, Q.-Z.; Wang, N.-N.; Tseng, M.-L.; Huang, Y.-M.; Li, N.-L. Waste Tire Recycling Assessment: Road Application Potential and Carbon Emissions Reduction Analysis of Crumb Rubber Modified Asphalt in China. J. Clean Prod. 2020, 249, 119411. [Google Scholar] [CrossRef]
- Zhang, M.; Qi, Y.; Zhang, W.; Wang, M.; Li, J.; Lu, Y.; Zhang, S.; He, J.; Cao, H.; Tao, X.; et al. A Review on Waste Tires Pyrolysis for Energy and Material Recovery from the Optimization Perspective. Renew. Sust. Energ. Rev. 2024, 199, 114531. [Google Scholar] [CrossRef]
- Soprych, P.; Czerski, G.; Grzywacz, P. Studies on the Thermochemical Conversion of Waste Tyre Rubber-A Review. Energies 2024, 17, 14. [Google Scholar] [CrossRef]
- Wang, H.; Xu, T. Piezoelectric Properties and Microstructural Changes of Smart Asphalt-Based Composites Containing Electroactive Polymer and Carbon Black. Constr. Build. Mater. 2024, 444, 137894. [Google Scholar] [CrossRef]
- Liu, H.; Luo, G.; Wang, X.; Jiao, Y. Laboratory Evaluation of the Pavement Performance of a Rubber-Modified Asphalt Mixture. Emerg. Mater. Res. 2020, 9, 99–103. [Google Scholar] [CrossRef]
- Deng, H.; Ma, X.; Deng, D.; Tan, L. Fatigue Properties of Rubber Modified SMA Asphalt Mixture. In Proceedings of the 1st International Conference on Advances in Civil Engineering and Materials (Acem1) and 1st World Symposium On Sustainable Bio-Composite Materials And Structures (Sbms1), Nanjing, China, 9–11 November 2018; Li, H., Ashraf, M., Corbi, O., Yang, P., Corbi, I., Wang, L., Eds.; E D P Sciences: Les Ulis, France, 2019; Volume 275, p. 04001. [Google Scholar]
- Li, H.; Li, W.; Sheng, Y.; Lv, H. Influence of Compound Action of Rubber Powder and SBS on High-Temperature Performance of Asphalt Pavement Surface. J. Mater. Civ. Eng. 2021, 33, 04021126. [Google Scholar] [CrossRef]
- Li, Y.; Li, J.; Bai, T.; Chen, A.; Gu, D.; Gao, Y. Mechanism and Performance of SBS Polymer Dry-Modified Asphalt Mixture with PCB and TPO from Waste Tires. J. Mater. Civ. Eng. 2024, 36, 04024099. [Google Scholar] [CrossRef]
- Chen, S.; Zhang, B.; Zheng, H.; He, X.; Su, Y.; Xu, H.; Zhu, Y.; Pan, Y.; Chen, J. Polymerized Activating Highly-Dispersible Waste Tire Powder for Viscoelasticity Regulation of Modified Asphalt at a Lower Mixing Temperature. Constr. Build. Mater. 2023, 366, 130216. [Google Scholar] [CrossRef]
- Lee, S.; Park, Y.-K.; Lee, J. Upcycling of Plastic and Tire Waste toward Use as Modifier for Asphalt Binder. Energy Environ. 2024, 35, 510–524. [Google Scholar] [CrossRef]
- Guo, F.; Pei, J.; Huang, G.; Zhang, J.; Falchetto, A.C.; Korkiala-Tanttu, L. Investigation of the Adhesion and Debonding Behaviors of Rubber Asphalt and Aggregates Using Molecular Dynamics Simulation. Constr. Build. Mater. 2023, 371, 130781. [Google Scholar] [CrossRef]
- Wang, X.; Liu, J.; Wang, Z.; Jing, H.; Yang, B. Investigations on Adhesion Characteristics between High-Content Rubberized Asphalt and Aggregates. Polymers 2022, 14, 5474. [Google Scholar] [CrossRef]
- Hu, J.; Yu, Y.; Chen, M.; Liu, Q.; Song, S.; Chen, Y.; Deng, H.; Zhang, X. Research on the Effect of Rubber Powder on Asphalt Adhesion and Resistance to Ultraviolet Aging. Proc. Inst. Civil Eng.-Transp. 2024; ahead of print. [Google Scholar] [CrossRef]
- Li, P.; Wang, Z.; Men, B.; Ma, X.; Tang, G.; Wang, R. Use of Multi-Scale Investigation to Evaluate Adhesion Performance of Warm-Mix Polymer-Modified Asphalt. Materials 2023, 16, 287. [Google Scholar] [CrossRef]
- Hu, D.; Pei, J.; Li, R.; Zhang, J.; Jia, Y.; Fan, Z. Using Thermodynamic Parameters to Study Self-Healing and Interface Properties of Crumb Rubber Modified Asphalt Based on Molecular Dynamics Simulation. Front. Struct. Civ. Eng. 2020, 14, 109–122. [Google Scholar] [CrossRef]
- Kong, P.; Xu, G.; Chen, X.; Shi, X.; Zhou, J. Effect of Different High Viscosity Modifiers on Rheological Properties of High Viscosity Asphalt. Front. Struct. Civ. Eng. 2021, 15, 1390–1399. [Google Scholar] [CrossRef]
- Yang, J.; Zhang, Z.; Shi, J.; Yang, X.; Fang, Y. Comparative Analysis of Thermal Aging Behavior and Comprehensive Performance of High Viscosity Asphalt (HVA) from Cohesion, Adhesion and Rheology Perspectives. Constr. Build. Mater. 2022, 317, 125982. [Google Scholar] [CrossRef]
- Kocak, S.; Kutay, M.E. Effect of Devulcanized Rubber Modification on the Performance Grade, Fatigue Cracking Resistance, and Rutting Resistance of Asphalt Binders. J. Mater. Civ. Eng. 2021, 33, 04021248. [Google Scholar] [CrossRef]
- Castillo, C.A.T.; Hand, A.J.; Sebaaly, P.E.; Hajj, E.Y.; Piratheepan, M. Evaluation of Cracking Resistance of Tire Rubber-Modified Asphalt Mixtures. J. Transp. Eng. Pt. B-Pavements 2021, 147, 04021019. [Google Scholar] [CrossRef]
- Rath, P.; Gettu, N.; Chen, S.; Buttlar, W.G. Investigation of Cracking Mechanisms in Rubber-Modified Asphalt through Fracture Testing of Mastic Specimens. Road Mater. Pavement Des. 2022, 23, 1544–1563. [Google Scholar] [CrossRef]
- Xie, S.; Cheng, Z.; Zhou, Y.; Cao, Y.; Wang, T.; Zhang, Z.; Dai, Y.; Zhang, W. Performance of Asphalt Mixtures Modified with Desulfurized Rubber and Rock Asphalt Composites. Buildings 2024, 14, 3026. [Google Scholar] [CrossRef]
- Thives, L.P.; Pais, J.C.; Pereira, P.A.A.; Minhoto, M.C.; Triches, G. Performance of Asphalt Rubber Mixture Overlays to Mitigate Reflective Cracking. Materials 2022, 15, 2375. [Google Scholar] [CrossRef]
- Wu, H.; Shen, A.; Cui, H.; Dai, X.; Li, Y.; Wang, J. Effect of Crumb Rubber Particles on Antisliding and Noise-Reduction Performance of Asphalt Pavement. J. Mater. Civ. Eng. 2023, 35, 04023118. [Google Scholar] [CrossRef]
- Xu, L.; Tian, Y.; Sun, D.; Chen, Z.; Ni, H.; Deng, Y. Effects of Clogging and Cleaning on Sound Absorption Performance of Rubberized Porous Asphalt Mixture. Int. J. Pavement Eng. 2024, 25, 2424383. [Google Scholar] [CrossRef]
- Xu, L.; Zhang, Y.; Zhang, Z.; Ni, H.; Hu, M.; Sun, D. Optimization Design of Rubberized Porous Asphalt Mixture Based on Noise Reduction and Pavement Performance. Constr. Build. Mater. 2023, 389, 131551. [Google Scholar] [CrossRef]
- Wang, Y.; Wang, X.; Zhang, L. Pavement and Noise Reduction Performance of Open-Graded Asphalt Friction Course Improved by Waste Tire Crumb Rubber. Adv. Civ. Eng. 2021, 2021, 9937293. [Google Scholar] [CrossRef]
- Xu, L.; Ni, H.; Zhang, Y.; Sun, D.; Zheng, Y.; Hu, M. Porous Asphalt Mixture Use Asphalt Rubber Binders: Preparation and Noise Reduction Evaluation. Br. J. Clean Prod. 2022, 376, 134119. [Google Scholar] [CrossRef]
- Zhuang, C.-Y.; Hao, Y.; Ye, Y.-L.; Guo, J.-K. Research on Strength Formation Mechanism and Noise Reduction Characteristics of Waste Rubber Powder Micro-Surfacing. Case Stud. Constr. Mater. 2023, 19, e02293. [Google Scholar] [CrossRef]
- Li, W.; Zheng, M.; Ning, Z.; Zhang, W.; Ding, X. The Design and Performance Evaluation of Low-Noise Rubber-Fibre Micro-Surfacing Pavement. Int. J. Pavement Eng. 2024, 25, 2414056. [Google Scholar] [CrossRef]
- Rodriguez-Alloza, A.M.; Giuliani, F.; Gallego, J. Technical Suitability of Wet or Dry Processing of a Dense Rubberized Warm Asphalt Mixture. Mater. Constr. 2022, 72, e302. [Google Scholar] [CrossRef]
- Wu, Z.; Ge, D.; Ju, Z.; Xue, Y. The Performance Evaluation of Extracted Asphalt Binder from Dry Process Produced Rubber Modified Asphalt Mixture. Constr. Build. Mater. 2023, 401, 131864. [Google Scholar] [CrossRef]
- Jin, D.; Ge, D.; Wang, J.; Malburg, L.; You, Z. Reconstruction of Asphalt Pavements with Crumb Rubber Modified Asphalt Mixture in Cold Region: Material Characterization, Construction, and Performance. Materials 2023, 16, 1874. [Google Scholar] [CrossRef]
- Liang, M.; Qiu, Z.; Luan, X.; Qi, C.; Guo, N.; Liu, Z.; Su, L.; Yao, Z.; Zhang, J. The Effects of Activation Treatments for Crumb Rubber on the Compatibility and Mechanical Performance of Modified Asphalt Binder and Mixture by the Dry Method. Front. Mater. 2022, 9, 845718. [Google Scholar] [CrossRef]
- Li, N.; Hu, Z.; Yao, X.; Xu, T. Performance Characterizations of Vulcanized Eucommia ulmoides Gum-Modified. J. Mater. Civ. Eng. 2022, 34, 04022011. [Google Scholar] [CrossRef]
- Wang, H.; Li, N.; Xu, T. Aging Effects on Microstructures and Micromechanical Properties of Vulcanized Eucommia ulmoides Gum Modified Bitumen. Constr. Build. Mater. 2022, 346, 128432. [Google Scholar] [CrossRef]
- Shi, Y.; Tong, Z.; Ren, Q.; Li, Z.; Wang, J. Modification of the Crumb Rubber Asphalt by Eucommia ulmoides Gum Under a High-Temperature Mixing Process. Coatings 2024, 14, 1059. [Google Scholar] [CrossRef]
- Geng, J.; Hua, J.; Xia, L. The Application of Natural Eucommia ulmoides Gum in Natural Rubber Tire Compounds. In Proceedings of the Materials Science, Energy Technology and Power Engineering II (Mep2018), Hangzhou, China, 14–15 April 2018; You, Z., Xiao, J., Tan, Z., Eds.; Amer Inst Physics: Melville, NY, USA, 2018; Volume 1971, p. 020020. [Google Scholar]
- Lu, J.; Gong, M.; Chen, J.; Zhang, D.; Liu, Z. Study on the Decay Behavior of the Stability of Asphalt Mixture under Different Dry-Wet Cycle Conditions. Constr. Build. Mater. 2021, 296, 123307. [Google Scholar] [CrossRef]
- Li, A.; Shi, C.; Yin, S.; Li, N.; Letu, H.; Shi, G. Variation of Surface Solar Radiation Components from 2016 to 2020 in China: Perspective from Geostationary Satellite Observation with a High Spatiotemporal Resolution. Sci. Total Environ. 2024, 954, 176264. [Google Scholar] [CrossRef]
- Cao, F.; Li, H.; Zhao, L. Comparison of the Daily Global Solar Radiation from Different Data Sources in Northwest China Climate. Int. J. Green Energy 2017, 14, 548–554. [Google Scholar] [CrossRef]
- Qi, Y. Experimental Study on Indoor Simulated Aging of Rubber Asphalt in Strong Ultraviolet Region of Xinjiang. Master’s Thesis, Xinjiang University, Ürümqi, China, 2011. [Google Scholar]
- Han, J. Research on Microstructure and Rheological Properties of Asphalt Under Salt-Freezing Cycle Conditions. Master’s Thesis, Inner Mongolia University of Technology, Hohhot, China, 2016. [Google Scholar]
- JTG E20-2011; Standard Test Methods of Bitumen and Bituminous Mixtures for Highway Engineering. Ministry of Transportation: Beijing, China, 2011.
- ASTM D7369-11; Standard Test Method for Determining the Resilient Modulus of Bituminous Mixtures by Indirect Tension Test. ASTM International: West Conshohocken, PA, USA, 2011.
- Cui, S.; Guo, N.; Tan, Y.; You, Z.; Chu, Z.; Jin, X.; Guo, Z. Preparation and Microstructural and Thermal Properties of a Vulcanized Eucommia ulmoides Gum Modified Asphalt. Constr. Build. Mater. 2023, 408, 133727. [Google Scholar] [CrossRef]
- Li, N.; Xu, J.; Xu, T. Preparation, Properties and Modification Mechanism of Vulcanized Eucommia ulmoides Gum Modified Asphalt. Constr. Build. Mater. 2021, 274, 121992. [Google Scholar] [CrossRef]
















| Test Items | Unit | Measurement | Requirement |
|---|---|---|---|
| Specific gravity (15 °C) | - | 0.986 | - |
| Penetration (25 °C) | (0.1 mm) | 87 | 80~100 |
| Ductility (15 °C) | (cm) | 108 | ≥100 |
| Softening Point | (°C) | 46.4 | ≥45 |
| Test Items | Unit | Measurement | Requirement |
|---|---|---|---|
| Specific gravity (15 °C) | - | 1.035 | - |
| Penetration (25 °C) | (0.1 mm) | 87 | 80~100 |
| Ductility (5 °C) | (cm) | 49 | ≥40 |
| Softening Point | (°C) | 63 | ≥50 |
| Physical–Technical Indicators | Relative Density | Moisture Content (%) | Metal Content (%) | Fiber Content (%) |
|---|---|---|---|---|
| Requirement | 1.10–1.20 | <1 | ≤0.03 | ≤0.5 |
| Measurement | 1.103 | 0.54 | 0.012 | 0.35 |
| Testing Items | Gray Content (%) | Acetone Extract (%) | Carbon Black Content (%) | Rubber Hydrocarbons (%) |
|---|---|---|---|---|
| Requirement | ≤8 | 6–16 | ≥26 | 42–65 |
| Measurement | 6.76 | 6.84 | 29.35 | 59.06 |
| Sieve Size (mm) | 26.5 | 19 | 16 | 13.2 | 9.5 | 4.75 | 2.36 | 1.18 | 0.6 | 0.3 | 0.15 | 0.075 |
|---|---|---|---|---|---|---|---|---|---|---|---|---|
| Passing rate (%) | 100 | 99.8 | 97.0 | 84.3 | 61.8 | 32.4 | 27.9 | 22.5 | 17.8 | 12.6 | 9.8 | 5.4 |
Disclaimer/Publisher’s Note: The statements, opinions and data contained in all publications are solely those of the individual author(s) and contributor(s) and not of MDPI and/or the editor(s). MDPI and/or the editor(s) disclaim responsibility for any injury to people or property resulting from any ideas, methods, instructions or products referred to in the content. |
© 2025 by the authors. Licensee MDPI, Basel, Switzerland. This article is an open access article distributed under the terms and conditions of the Creative Commons Attribution (CC BY) license (https://creativecommons.org/licenses/by/4.0/).
Share and Cite
Liu, S.; Lu, P.; Sun, X.; Wang, H.; Fei, Z. Research on the Durability of Modified Crumb Rubber Asphalt Mixtures in High-Altitude and Seasonally Frozen Regions. Coatings 2025, 15, 102. https://doi.org/10.3390/coatings15010102
Liu S, Lu P, Sun X, Wang H, Fei Z. Research on the Durability of Modified Crumb Rubber Asphalt Mixtures in High-Altitude and Seasonally Frozen Regions. Coatings. 2025; 15(1):102. https://doi.org/10.3390/coatings15010102
Chicago/Turabian StyleLiu, Song, Peng Lu, Xuecong Sun, Hongchang Wang, and Zhuang Fei. 2025. "Research on the Durability of Modified Crumb Rubber Asphalt Mixtures in High-Altitude and Seasonally Frozen Regions" Coatings 15, no. 1: 102. https://doi.org/10.3390/coatings15010102
APA StyleLiu, S., Lu, P., Sun, X., Wang, H., & Fei, Z. (2025). Research on the Durability of Modified Crumb Rubber Asphalt Mixtures in High-Altitude and Seasonally Frozen Regions. Coatings, 15(1), 102. https://doi.org/10.3390/coatings15010102

