Evaluation Test of NO Degradation by Nano-TiO2 Coatings on Road Pavements under Natural Light
Abstract
:1. Introduction
2. Materials and Methods
2.1. Materials and Apparatus
2.2. Test Methods
- Test preparation. Test exhaust gas catalytic decomposition under a natural light source glass container as the test chamber size is 30 cm × 18 cm × 20 cm. The experimental specimen area is 110 cm2, thickness is 1.5–1.8 mm, and the total mass of the prepared coating for each specimen is 40 g. The reducing weight method is used to accurately obtain the coating material from the glass container. For simplicity, the glass rod is still used as a tool to coat the mixture on the plate. Six hours is required time for a drying condition under room temperature to all samples before the formal test to make the weight of all samples stable. To ensure the consistent intensity (w/m2) of UV light, the test was conducted from 11:30 a.m. to 2:30 p.m. outside Wuhan. At the beginning of the test, start the calibrated exhaust gas analyzer, AVL, for heating. After heating up for about 30 min, the leakage inspection was conducted to ensure that the equipment was working well and ready for testing.
- Installation of the test specimens. Nano-TiO2 is proposed to be added at a mass ratio of hydrocarbons, 3%, 4%, 5%, and 6%, respectively, of coating material to produce five different contents of treated coating mixtures. Place the coating specimen mixed with Nano-TiO2 particles on a plastic plate into a closed Quartz glass container with a thickness of 3 mm to check that the chamber is hermetically closed enough. Repeat this step for each prepared specimen before formally testing.
- Connection equipment. Latex hoses connected the devices to ensure that the connection is airtight. After the connection was completed, check the tightness of the device to ensure the hoses are well sealed. Take close observation of the connections during each testing.
- Releasing the exhaust. To ensure that the test condition is close to the actual situation, the concentration of NO on the road pavement is controlled at the level of about 195 ± 15 ppm [25]. Release of gas through NO cylinders, when the gas concentration in the vessel approaches the initial concentration, the exhaust gas releasing is set to stop.
- Recording the test data. After stopping the exhaust gas release, the AVL data was recorded automatically, and the data were recorded every 5 min. The total test time was setting about 60 min.
- Test completion. After each test, the exhaust gas in the container needs to be drained completely, and the test specimen was taken out to prepare for the next group tested in the chamber. For each specimen, three times to repeat the measurements as the parallel test, and the average value is selected as the test data.
3. Results and Discussions
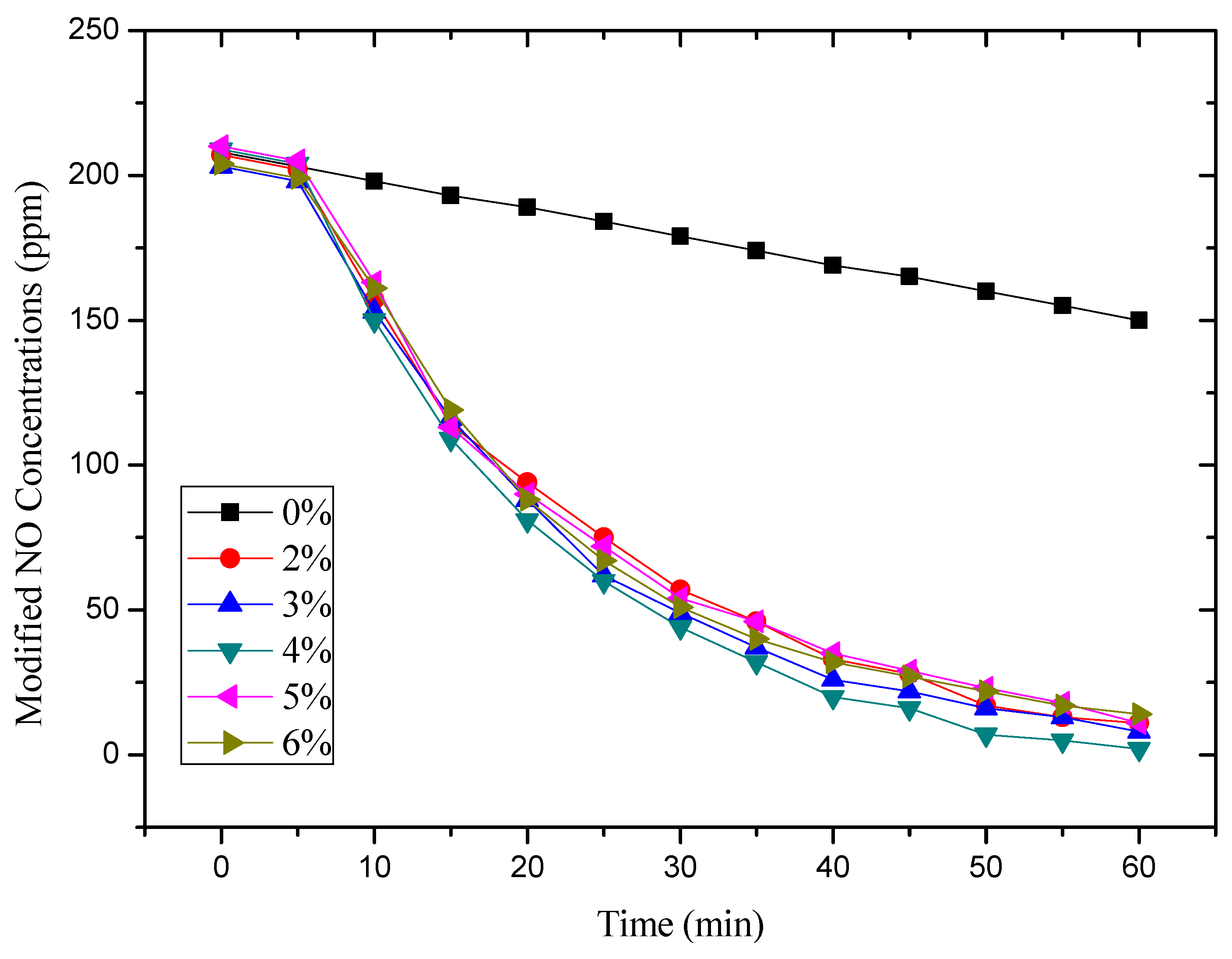
3.1. Catalytic Decomposition of Exhaust Gas under Natural Light
- —Correction of automobile exhaust in the container at a particular time (ppm).
- —A moment ago, the measured value in automobile exhaust gas container (ppm).
- —A time measurement value in the automobile exhaust gas container (ppm).
- —The initial concentration of the container of automobile exhaust (ppm).
- —The concentration of a time not containing Nano-TiO2 specimen container of automobile exhaust (ppm).
- —The concentration of a moment ago without TiO2 specimen container of automobile exhaust (ppm).
- —The initial concentration of Nano-TiO2 specimen container of automobile exhaust (ppm).
3.2. Evaluation System of Degradation Effect
3.2.1. Average Catalytic Decomposition Efficiency per Unit Area
- —Catalytic decomposition efficiency (%); the other symbols are the same as the above.
- Vc—The average efficiency of catalytic decomposition (%/5 min)
- C—Catalytic decomposition efficiency (%)
- T—Catalytic reaction time [22]
- —Average catalytic decomposition efficiency per unit area (10−3%/cm2)
- A—Total area of the paint (cm2)
- —Average catalytic decomposition efficiency (%/5 min)
3.2.2. Amount of Catalytic Decomposition per Unit Area
- —The amount of catalytic decomposition (mg)
- —The molar mass of gas (g/mol)
- —Catalytic decomposition efficiency (%)
- —The initial concentration of the container of automobile exhaust
- —The adequate volume of the sealed container (m3)
- —Amount of catalytic decomposition per unit area (10−6 g/cm2)
- A—Total area of the paint (cm2)
- —The amount of catalytic decomposition (10−6 g)
3.3. Evaluation of the Degradation Effect of NOx
4. Conclusions
- (1)
- Nano-TiO2 has a noticeable degradation effect on NO in the automobile exhaust gas. After only 1 h of reaction, the removal rate of NO by nano-TiO2 coating sample can reach up to more than 65%, even with the maximum rate up to 71% with 4% of Nano-TiO2, which means Nano-TiO2 coating can effectively degrade automobile exhaust, and it is feasible to use Nano-TiO2 coating to degrade automobile exhaust.
- (2)
- A parameter system for NO degradation evaluation was established. The catalyst average catalytic decomposition efficiency, catalytic decomposition efficiency, catalytic decomposition amount, catalytic decomposition per unit area, and catalytic decomposition efficiency per unit area and unified effect measurement can be taken as an evaluation system to verify the catalyst degree of Nano-TiO2 to NO. However, two parameters, average catalytic decomposition efficiency per unit area and Amount of decomposition per unit area, are recommended to evaluate the decomposition efficiency for derivation consistency.
- (3)
- The degradation effect decreases with a specific increase of Nano-TiO2 due to the agglomeration effect of nanoparticles. When increasing Nano-TiO2 up to 4% of mass ratio, the NO degradation effect reaches the highest level. Specifically, the degradation level of NO in Nano-TiO2 coatings increases first and then decreases with the increase of Nano-TiO2 particles, mainly caused by the agglomeration effect of nanoparticles.
- (4)
- Nano-TiO2 carried on the traffic marking materials is a cost-effective solution of NO degradation due to less contact with vehicle tires and lasting longer catalysis than mixed with pavement mixture. Considering the inappropriate scale of the test, a routine field test on Nano-TiO2 coated with different marking materials is strongly recommended to guide the actual projects. Except for pavement traffic coatings, all transportation facilities in the influenced range of exhaust which involves into the emission area, such as vehicles body, outside wall, bridge beam/deck, tunnel pavement as well as the other surface coatings for facilities can also be considered to incorporate into the degradation solutions. In addition, the degradation effect of the other NOx, such as NO2, needs further study.
Author Contributions
Funding
Institutional Review Board Statement
Informed Consent Statement
Data Availability Statement
Acknowledgments
Conflicts of Interest
References
- Mahmood, S.A.I. Air pollution kills 15,000 Bangladeshis each year: The role of public administration and governments integrity. J. Public Adm. Policy Res. 2011, 3, 129–140. [Google Scholar]
- Zhou, H.; Yang, P.; Gao, Y. A wind-tunnel investigation on the dispersion of urban-traffic-emitted pollutants. J. Tongji Univ. 1994, 22, 306–311. [Google Scholar]
- Yu, H.; Dai, W.; Qian, G.; Gong, X.; Zhou, D.; Li, X.; Zhou, X. The NOx Degradation Performance of Nano-TiO2 Coating for Asphalt Pavement. Nanomaterials 2020, 10, 897. [Google Scholar] [CrossRef] [PubMed]
- Lee, J.W.; Lee, S.H.; Jang, Y.I.; Park, H.M. Evaluation of Reducing NO and SO2 Concentration in Nano SiO2-TiO2 Photocatalytic Concrete Blocks. Materials 2021, 14, 7182. [Google Scholar] [CrossRef]
- Segundo, I.R.; Zahabizadeh, B.; Landi, S., Jr.; Lima, O., Jr.; Afonso, C.; Borinelli, J.; Freitas, E.; Cunha, V.M.; Teixeira, V.; Costa, M.F.; et al. Functionalization of Smart Recycled Asphalt Mixtures: A Sustainability Scientific and Pedagogical Approach. Sustainability 2022, 14, 573. [Google Scholar] [CrossRef]
- Chen, J.; Poon, C.S. Photocatalytic construction and building materials: From fundamentals to applications. Build. Environ. 2009, 44, 1899–1906. [Google Scholar] [CrossRef]
- Chen, M.; Liu, Y. NOx removal from vehicle emissions by functionality surface of asphalt road. J. Hazard. Mater. 2010, 174, 375–379. [Google Scholar] [CrossRef]
- Dylla, H.H.; Marwa, M. Characterization of nanoparticles released during construction of photocatalytic pavements using engineered nanoparticles. J. Nanopart. Res. 2012, 14, 825. [Google Scholar] [CrossRef]
- Liu, W.; Wang, S.; Zhang, J.; Fan, J. Photocatalytic degradation of vehicle exhausts on asphalt pavement by TiO2/rubber composite structure. Constr. Build. Mater. 2015, 81, 224–232. [Google Scholar] [CrossRef]
- Wang, D.; Leng, Z.; Hüben, M.; Oeser, M.; Steinauer, B. Photocatalytic pavements with epoxy-bonded TiO2-containing spreading material. Constr. Build. Mater. 2016, 107, 44–51. [Google Scholar] [CrossRef]
- Qian, G.P.; Wang, N.; Zhou, D.Y. Experimental investigation of the degradation of NOx by Nano-Tio2 pavement functional coating on purification NO. J. Transp. Sci. Eng. 2016, 32, 29–32. [Google Scholar]
- Wang, H.; Jin, K.; Dong, X.; Zhan, S.; Liu, C. Preparation Technique and Properties of Nano-TiO2 Photocatalytic Coatings for Asphalt Pavement. Appl. Sci. 2018, 8, 2049. [Google Scholar] [CrossRef]
- Huang, M.; Wen, X. Experimental Study on Photocatalytic Effect of Nano TiO2 Epoxy Emulsified Asphalt Mixture. Appl. Sci. 2019, 9, 2464. [Google Scholar] [CrossRef]
- Qian, C.; Zhao, L.; Dafang, F.U.; Li, L.I. Study on the effect of temperature. humidity and light intensity on photocatalytic oxidation of NO2 immobilized on cement-based materials. J. Environ. Sci. China 2005, 25, 623–630. [Google Scholar]
- Han, X.; Bai, H.; Guan, Q.; Li, H.; Du, X. Design on testing system for degrading automobile emission with photocatalytic material TiO2. J. Northeast For. Univ. 2005, 33, 89–91. [Google Scholar]
- Fujishima, A.; Honda, K. Electrochemical Photolysis of Water at a Semiconductor Electrode. Nature 1972, 238, 37–38. [Google Scholar] [CrossRef]
- Tryk, D.A.; Fujishima, A.; Honda, K. Recent topics in photoelectrochemistry: Achievements and future prospects. Electrochim. Acta 2000, 45, 2363–2376. [Google Scholar] [CrossRef]
- Szczepanik, B. Photocatalytic degradation of organic contaminants over clay-TiO2 nanocomposites: A review. Appl. Clay Sci. 2017, 141, 227–239. [Google Scholar] [CrossRef]
- Ouwehand, J.; Van Eynde, E.; De Canck, E.; Lenaerts, S.; Verberckmoes, A.; Van Der Voort, P. Titania-functionalized diatom frustules as photocatalyst for indoor air purification. Appl. Catal. B Environ. 2018, 226, 303–310. [Google Scholar] [CrossRef]
- Byrne, C.; Subramanian, G.; Pillai, S.C. Recent advances in photocatalysis for environmental applications. J. Environ. Chem. Eng. 2018, 6, 3531–3555. [Google Scholar] [CrossRef]
- Bethi, B.; Sonawane, S.H.; Bhanvase, B.A.; Gumfekar, S.P. Nanomaterials-based advanced oxidation processes for wastewater treatment: A review. Chem. Eng. Process. Process Intensif. 2016, 109, 178–189. [Google Scholar] [CrossRef]
- Linsebigler, A.L.; Lu, G.; Yates, J.T. Photocatalysis on TiO2 Surfaces: Principles, Mechanisms, and Selected Results. Chem. Rev. 1995, 95, 735–758. [Google Scholar] [CrossRef]
- Banerjee, S.; Dionysiou, D.D.; Pillai, S.C. Self-cleaning applications of TiO2 by photo-induced hydrophilicity and photocatalysis. Appl. Catal. B Environ. 2015, 176–177, 396–428. [Google Scholar] [CrossRef]
- Chen, M.; Jin, L.; Liu, Y.; Guo, X.; Chu, J. Decomposition of NO in automobile exhaust by plasma–photocatalysis synergy. Environ. Sci. Pollut. Res. 2014, 21, 1242–1247. [Google Scholar] [CrossRef]
- Zhang, W. Research on Automobile Exhaust Catalytic Decomposition of TiO2 Asphalt Pavement Materials; Chang’an University: Xi’an, China, 2014. [Google Scholar]
- Fang, M.; Cheng, Y.; Zhan, L. Study on the degradation efficiency and road performance of automobile exhaust for anti-skip color pavement. J. China Foreign Highw. 2016, 36, 226–229. [Google Scholar]
- Deng, Y. Study on the Surface Characteristics of Color Pavement Degradation of Automobile Exhaust; Xinjiang UIniversity: Ürümqi, China, 2015. [Google Scholar]
- Julong, D. Introduction to Grey System Theory. J. Grey Syst. 1989, 1, 1–24. [Google Scholar]








| Categories | Products | Function |
|---|---|---|
| Exterior construction materials | Tiles, glass, tents, plastic films, panels | Self-cleaning |
| Interior furnishing materials | Tiles, wallpaper, window blinds, paints, finishing coatings | Self-cleaning, anti-bacterial |
| Road construction materials | Soundproof walls, tunnel walls, roadblocks, concrete pavements | Air-cleaning, Self-cleaning |
| Nano-TiO2 (ppm, %) | 0 | 2 | 3 | 4 | 5 | 6 | |
|---|---|---|---|---|---|---|---|
| Time (min) | |||||||
| 0 | 208 | 207 | 203 | 209 | 210 | 204 | |
| 5 | 203 | 162 | 158 | 155 | 168 | 166 | |
| 10 | 198 | 119 | 121 | 114 | 118 | 124 | |
| 15 | 193 | 98 | 92 | 85 | 94 | 92 | |
| 20 | 189 | 80 | 67 | 65 | 77 | 72 | |
| 25 | 184 | 62 | 54 | 49 | 59 | 56 | |
| 30 | 179 | 51 | 42 | 37 | 51 | 45 | |
| 35 | 174 | 38 | 31 | 25 | 40 | 37 | |
| 40 | 169 | 32 | 26 | 20 | 33 | 31 | |
| 45 | 165 | 22 | 21 | 12 | 28 | 27 | |
| 50 | 160 | 18 | 18 | 10 | 23 | 22 | |
| 55 | 155 | 16 | 13 | 7 | 16 | 19 | |
| 60 | 150 | 12 | 11 | 4 | 14 | 12 | |
Publisher’s Note: MDPI stays neutral with regard to jurisdictional claims in published maps and institutional affiliations. |
© 2022 by the authors. Licensee MDPI, Basel, Switzerland. This article is an open access article distributed under the terms and conditions of the Creative Commons Attribution (CC BY) license (https://creativecommons.org/licenses/by/4.0/).
Share and Cite
Fang, M.; Peng, L.; Li, Y.; Cheng, Y.; Zhan, L. Evaluation Test of NO Degradation by Nano-TiO2 Coatings on Road Pavements under Natural Light. Coatings 2022, 12, 1200. https://doi.org/10.3390/coatings12081200
Fang M, Peng L, Li Y, Cheng Y, Zhan L. Evaluation Test of NO Degradation by Nano-TiO2 Coatings on Road Pavements under Natural Light. Coatings. 2022; 12(8):1200. https://doi.org/10.3390/coatings12081200
Chicago/Turabian StyleFang, Mingjing, Longfan Peng, Yunyu Li, Yuxiao Cheng, and Lu Zhan. 2022. "Evaluation Test of NO Degradation by Nano-TiO2 Coatings on Road Pavements under Natural Light" Coatings 12, no. 8: 1200. https://doi.org/10.3390/coatings12081200
APA StyleFang, M., Peng, L., Li, Y., Cheng, Y., & Zhan, L. (2022). Evaluation Test of NO Degradation by Nano-TiO2 Coatings on Road Pavements under Natural Light. Coatings, 12(8), 1200. https://doi.org/10.3390/coatings12081200

