Investigating Waterproofness and Breathability of a Coated Double-Sided Knitted Fabric
Abstract
1. Introduction
2. Materials and Methods
2.1. Textile Material
2.2. Coating Process
2.3. Experimental Design
2.4. Air Permeability Measurement
2.5. Water Vapor Permeability Measurement
2.6. Determination of Fabric Resistance to Water Penetration
3. Results and Discussions
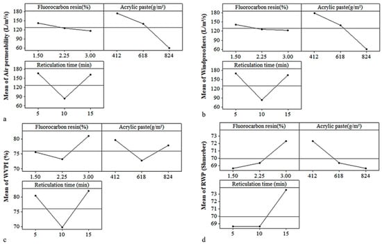
3.1. Study of the Air Permeabilities of Cotton and Polyester Sides
3.2. Study of the Water Vapor Permeability
3.3. Study of the Resistance to Water Penetration
3.4. Optimization of the Coating Process
4. Conclusions
Author Contributions
Funding
Institutional Review Board Statement
Informed Consent Statement
Data Availability Statement
Conflicts of Interest
References
- Shephard, A.J. Waterproof Dress: Patents as evidence of design and function from 1880 through 1895. Cloth. Text. Res. J. 2012, 30, 183–199. [Google Scholar] [CrossRef]
- Mukhopadhyay, A.; Midha, V.K. A Review on designing the waterproof breathable fabrics Part I: Fundamental principles and designing aspects of breathable fabrics. J. Ind. Text. 2008, 37, 225–262. [Google Scholar] [CrossRef]
- Mukhopadhyay, A.; Midha, V.K. A review on designing the waterproof breathable fabrics Part II: Construction and suitability of breathable fabrics for different uses. J. Ind. Text. 2008, 38, 17–41. [Google Scholar] [CrossRef]
- Shanley, L.A.; Slaten, B.L.; Shanley, P.S. Military protective clothing: Implications for clothing and textiles curriculum and research. Cloth. Text. Res. J. 1993, 11, 55–59. [Google Scholar] [CrossRef]
- Razzaque, A.; Tesinova, P.; Hes, L.; Salacova, J.; Abid, H.A. Investigation on hydrostatic resistance and thermal performance of layered waterproof breathable fabrics. Fibers Polym. 2017, 18, 1924–1930. [Google Scholar] [CrossRef]
- Utkun, E. A research on various comfort properties of interlock knitted fabrics. Ind. Textila 2015, 66, 23–27. [Google Scholar]
- Harnisch, M.; Mahr-Erhardt, A.; Woelfling, B.-M.; Classen, E. Influence of sock and shoe construction on tempreture and humidity in working boots. Int. J. Appl. Res. Text. 2017, 5, 15–20. [Google Scholar]
- Oh, E.; Kim, E.; Park, Y. Evaluation of the moisture transfer property of waterproof breathable fabric under low-temperature conditions depending on the pore size and distribution. Cloth. Text. Res. J. 2018, 36, 310–323. [Google Scholar] [CrossRef]
- Ghezal, I.; Moussa, A.; Ben Marzoug, I.; El-Achari, A.; Campagne, C.; Sakli, F. Development and surface state characterization of a spacer waterproof breathable fabric. Fibers Polym. 2020, 21, 910–920. [Google Scholar] [CrossRef]
- Yi, L.; Wang, S.; Wang, L.; Yao, J.; Marek, J.; Zhang, M. A waterproof and breathable nanofibrous membrane with thermal-regulated property for multifunctional textile application. J. Appl. Polym. Sci. 2021, 138, 1–10. [Google Scholar] [CrossRef]
- Wang, Y.; Ying, L.; Sun, R.; Li, C.; Ding, Z.; Wang, Z. A highly breathable and machine-washable ePTFE-aided down-proof cotton fabric. Coatings 2022, 12, 826. [Google Scholar] [CrossRef]
- Save, N.S.; Jassal, M.; Agrawal, A.K. Polyacrylamide Based Breathable Coating for Cotton Fabric. J. Ind. Text. 2002, 32, 119–138. [Google Scholar] [CrossRef]
- Lomax, G.R. Hydrophilic polyurethane coatings. J. Ind. Text. 1990, 20, 88–107. [Google Scholar]
- Schledjewski, R.; Schultze, D.; Imbach, K.-P. Breathable Protective Clothing with Hydrophilic Thermoplastic Elastomer Membrane Films. J. Ind. Text. 1997, 27, 105–114. [Google Scholar] [CrossRef]
- Desai, V.M.; Athawale, V.M. Water resistant-breathable hydrophilic polyurethane coatings. J. Ind. Text. 1995, 25, 39–46. [Google Scholar] [CrossRef]
- Ding, X.M.; Hu, J.L.; Tao, X.M. Effect of crystal melting on water vapor permeability of shape-memory polyurethane film. Text. Res. J. 2004, 74, 39–43. [Google Scholar] [CrossRef]
- Padleckien, I.; Petrulis, D.; Rubežienė, V.; Valiene, V.; Abraitienė, A. Breathability and resistance to water penetration of breathable-coated textiles after cyclic mechanical treatments. Mater. Sci. 2009, 15, 69–74. [Google Scholar]
- Kim, H.-A. Moisture vapor resistance of coated and laminated breathable fabrics using evaporative wet heat transfer method. Coatings 2021, 11, 1157. [Google Scholar] [CrossRef]
- Amini, G.; Karimi, M.; Zokaee Ashtiani, F. Hybrid electrospun membrane based on poly(vinylidene fluoride)/poly(acrylic acid)–poly(vinyl alcohol) hydrogel for waterproof and breathable applications. J. Ind. Text. 2022, 51, 1558–1584. [Google Scholar] [CrossRef]
- Shabaridharan, K.; Das, A. Analysis of thermal properties of multilayered fabrics by full factorial and Taguchi method. J. Text. Inst 2014, 105, 29–41. [Google Scholar] [CrossRef]
- Öner, E.; Okur, A. thermophysiological comfort properties of selected knitted fabrics and design of T-shirts. J. Text. Inst. 2015, 106, 1403–1414. [Google Scholar] [CrossRef]
- Basit, A.; Latif, W.; Baig, S.A.; Afzal, A. The mechanical and comfort properties of sustainable blended fabrics of bamboo with cotton and regenerated fibers. Cloth. Text. Res. J. 2018, 36, 267–280. [Google Scholar] [CrossRef]
- Zarehshi, A.; Ghane, M. Study of the water vapor permeability of multiple layer fabrics containing the milkweed fibers as the middle layer. J. Text. Inst. 2022, 113, 1531–1537. [Google Scholar] [CrossRef]
- Zhou, W.; Gong, X.; Li, Y.; Si, Y.; Zhang, S.; Yu, J.; Ding, B. Environmentally friendly waterborne polyurethane nanofibrous membranes by emulsion electrospinning for waterproof and breathable textiles. Chem. Eng. J. 2021, 427, 130925. [Google Scholar] [CrossRef]
- Das, B.; Das, A.; Kothari, V.K.; Fanguiero, R.; de Araújo, M. Moisture transmission through textiles: Part I: Processes involved in moisture transmission and the factors at play. Autex. Res. J. 2007, 7, 100–110. [Google Scholar]
- Hunter, L.; Fan, J. Waterproofing and breathability of fabrics and garments. In Engineering Apparel Fabrics and Garments, 1st ed.; Woodhead Publishing Series in Textiles; Sawston: Cambridge, UK, 2009; pp. 283–308. [Google Scholar]
- Dlugosch, S.; Hu, H.; Chan, A. thermal comfort evaluation of equestrian body protectors using a sweating manikin. Cloth. Text. Res. J. 2013, 31, 231–243. [Google Scholar] [CrossRef]
- Gadeikytė, A.; Abraitienė, A.; Barauskas, R. Prediction of air permeability coefficient and water-vapor resistance of 3D textile layer. J. Text. Inst. 2022, 113, 396–404. [Google Scholar] [CrossRef]
- Bagherzadeh, R.; Montazer, M.; Latifi, M.; Sheikhzadeh, M.; Sattari, M. Evaluation of comfort properties of polyester knitted spacer fabrics finished with water repellent and antimicrobial agents. Fibers Polym. 2007, 8, 386–392. [Google Scholar] [CrossRef]
- Sen, A.K. Fabrics for full weather protection. In Coated Textiles: Principles and Applications, 2nd ed.; Ashish Kumar, S., Ed.; CRC Press: Boca Raton, FL, USA, 2001; pp. 131–153. [Google Scholar]
- Jeong, J.H.; Han, Y.C.; Yang, J.H.; Kwak, D.S.; Jeong, H.M. Waterborne polyurethane modified with poly(ethylene glycol) macromer for waterproof breathable coating. Prog Org. Coat. 2017, 103, 69–75. [Google Scholar] [CrossRef]
- Yamauchi, G.; Riko, Y.; Yasuno, Y.; Shimizu, T.; Funakoshi, N. Water-repellent coating for mobile phone microphones. Surf. Coat. Int. Part B Coat. Trans. 2005, 88, 281–283. [Google Scholar] [CrossRef]
- Zhou, H.; Wang, H.; Niu, H.; Gestos, A.; Lin, T. Robust, self-healing superamphiphobic fabrics prepared by two-step coating of fluoro-containing polymer, fluoroalkyl silane, and modified silica nanoparticles. Adv. Funct. Mater. 2013, 23, 1664–1670. [Google Scholar] [CrossRef]
- De, P.; Sankhe, M.D.; Chaudhari, S.S.; Mathur, M.R. UV-resist, Water-repellent Breathable Fabric as Protective Textiles. J. Ind. Text. 2005, 34, 209–222. [Google Scholar] [CrossRef]
- Sato, Y.; Wakida, T.; Tokino, S.; Niu, S.; Ueda, M.; Mizushima, H.; Takekoshi, S. Effect of crosslinking agents on water repellency of cotton fabrics treated with fluorocarbon resin. Text. Res. J. 1994, 64, 316–320. [Google Scholar] [CrossRef]
- Kabbari, M.; Ghith, A.; Fayala, F.; Liouane, N. Investigating the effect of Water-oil repellency finish on baby clothes. Fibers Polym. 2016, 17, 873–879. [Google Scholar] [CrossRef]
- Castelvetro, V.; Francini, G.; Ciardelli, G.; Ceccato, M. Evaluating fluorinated acrylic latices as textile water and oil repellent finishes. Text. Res. J. 2001, 71, 399–406. [Google Scholar] [CrossRef]
- Rego, J.M.; Verdu, P.; Nieto, J.; Blanes, M. Comfort Analysis of Woven Cotton/Polyester Fabrics Modified with a New Elastic Fiber, Part 2: Detailed Study of Mechanical, Thermo-Physiological and Skin Sensorial Properties. Text. Res. J. 2010, 80, 206–215. [Google Scholar] [CrossRef]
- Scott, R.A. Cold Weather Clothing for Military Applications. In Textiles for Cold Weather Apparel, 1st ed.; Williams, J.T., Ed.; Woodhead Publishing: Cambridge, UK, 2009; pp. 305–328. [Google Scholar]
- Kim, H.A. Water repellency/proof/vapor permeability characteristics of coated and laminated breathable fabrics for outdoor clothing. Coatings 2022, 12, 12. [Google Scholar] [CrossRef]
- Ghezal, I.; Moussa, A.; Ben Marzoug, I.; El-Achari, A.; Campagne, C.; Sakli, F. Evaluating the mechanical properties of waterproof breathable fabric produced by a coating process. Cloth. Text. Res. J. 2019, 37, 235–248. [Google Scholar] [CrossRef]
- BS 7209:1990; Water Vapor Permeable Apparel Fabrics. BSI Group: London, UK, 1990.
- Shekar, R.I.; Yadav, A.K.; Kumar, K.; Tripthi, V.S. Breathable apparel fabrics for defence applications. Man-Made Text. India 2003, 46, 9–16. [Google Scholar]
- Holmes, D.A. Performance characteristics of waterproof breathable fabrics. J. Ind. Text. 2000, 29, 306–316. [Google Scholar] [CrossRef]
- Sayed, U.; Dabhi, P. Finishing of textiles with fluorocarbons. In Waterproof and Water Repellent Textiles and Clothing, 1st ed.; Williams, J., Ed.; Woodhead Publishing: Cambridge, UK, 2014; pp. 139–152. [Google Scholar]
- Pomeroy, R.K. The Reactivity of Fluorine. Chem. Educ. 2015, 20, 260–264. [Google Scholar]
- Liang, T.; Neumann, C.N.; Ritter, T. Introduction of fluorine and fluorine-containing functional groups. Angew. Chem.-Int. Ed. 2013, 52, 8214–8264. [Google Scholar] [CrossRef]



| Characteristics | Acceptable Values |
|---|---|
| Windproofness (ISO 9237, 1995) | <1.5 mL at 100 Pa measured by air permeability tester. |
| Water vapor permeability index (BS 7209, 1990) | >50% |
| Resistance to water penetration (ISO 811, 2018) | 130 cm under hydrostatic pressure |
| Exp. N° | Factors | Windproofness (L·m−2·s−1) (PET Outer Face) | Air Permeability (L·m−2·s−1) (Cotton Inner Face) | ||
|---|---|---|---|---|---|
| A | B | C | |||
| 1 | 1.5 | 412 | 10 | 115.000 | 115.500 |
| 2 | 3 | 412 | 10 | 106.333 | 98.467 |
| 3 | 1.5 | 824 | 10 | 29.167 | 28.267 |
| 4 | 3 | 824 | 10 | 83.550 | 78.350 |
| 5 | 1.5 | 618 | 5 | 220.667 | 221.667 |
| 6 | 3 | 618 | 5 | 229.667 | 221.000 |
| 7 | 1.5 | 618 | 15 | 200.667 | 201.000 |
| 8 | 3 | 618 | 15 | 70.867 | 67.200 |
| 9 | 2.25 | 412 | 5 | 182.000 | 178.667 |
| 10 | 2.25 | 824 | 5 | 51.967 | 50.233 |
| 11 | 2.25 | 412 | 15 | 310 | 302.667 |
| 12 | 2.25 | 824 | 15 | 79.667 | 80.300 |
| 13 a | 2.25 | 618 | 10 | 89.367 | 85.267 |
| 14 a | 2.25 | 618 | 10 | 86.600 | 86.400 |
| 15 a | 2.25 | 618 | 10 | 83.067 | 92.133 |
| Source | Coef. (Coded Data) | Coef. (Uncoded Data) | SE Coef. | T | P |
|---|---|---|---|---|---|
| Constant | 87.933 | 368.4057 | 40.36 | 2.179 | 0.081 |
| A | −12.677 | −63.1142 | 24.72 | −0.513 | 0.630 |
| B | −57.269 | 0.1795 | 24.72 | −2.317 | 0.068 |
| C | −2.550 | −31.4918 | 24.72 | −0.103 | 0.922 |
| A × A | 8.481 | 15.0779 | 36.38 | 0.233 | 0.825 |
| B × B | −16.269 | −0.0004 | 36.38 | −0.447 | 0.673 |
| C × C | 81.302 | 3.2521 | 36.38 | 2.235 | 0.076 |
| A × B | 16.779 | 0.1086 | 34.95 | 0.480 | 0.651 |
| A × C | −33.283 | −8.8755 | 34.95 | −0.952 | 0.385 |
| B × C | −23.483 | −0.0228 | 34.95 | −0.672 | 0.531 |
| Source | Coef. (Coded Data) | Coef. (Uncoded Data) | SE Coef. | T | P |
|---|---|---|---|---|---|
| Constant | 84.678 | 403.5707 | 41.13 | 2.059 | 0.095 |
| A | −9.386 | −76.6027 | 25.19 | −0.373 | 0.725 |
| B | −58.623 | 0.1039 | 25.19 | −2.327 | 0.067 |
| C | −2.888 | −31.9865 | 25.19 | −0.115 | 0.913 |
| A × A | 11.697 | 20.7938 | 37.08 | 0.315 | 0.765 |
| B × B | −12.862 | −0.0003 | 37.08 | −0.347 | 0.743 |
| C × C | 84.093 | 3.3637 | 37.08 | 2.268 | 0.073 |
| A × B | 15.763 | 0.1020 | 35.62 | 0.442 | 0.677 |
| A × C | −34.7 | −9.2533 | 35.62 | −0.974 | 0.375 |
| B × C | −25.075 | −0.0243 | 35.62 | −0.704 | 0.513 |
| Exp. N° | Factors | WVPI (%) | CV (%) | ||
|---|---|---|---|---|---|
| A | B | C | |||
| 1 | 1.5 | 412 | 10 | 61.828 | 1.636 |
| 2 | 3 | 412 | 10 | 85.853 | 3.802 |
| 3 | 1.5 | 824 | 10 | 75.568 | 1.857 |
| 4 | 3 | 824 | 10 | 79.868 | 2.030 |
| 5 | 1.5 | 618 | 5 | 84.366 | 3.548 |
| 6 | 3 | 618 | 5 | 81.056 | 3.425 |
| 7 | 1.5 | 618 | 15 | 80.689 | 3.636 |
| 8 | 3 | 618 | 15 | 77.178 | 2.047 |
| 9 | 2.25 | 412 | 5 | 82.060 | 2.688 |
| 10 | 2.25 | 824 | 5 | 74.599 | 0.363 |
| 11 | 2.25 | 412 | 15 | 88.727 | 0.633 |
| 12 | 2.25 | 824 | 15 | 81.540 | 0.483 |
| 13 a | 2.25 | 618 | 10 | 64.231 | 2.710 |
| 14 a | 2.25 | 618 | 10 | 63.032 | 4.124 |
| 15 a | 2.25 | 618 | 10 | 58.405 | 0.717 |
| Source | Coef. (Coded Data) | Coef. (Uncoded Data) | SE Coef. | T | P |
|---|---|---|---|---|---|
| Constant | 61.8893 | 185.4023 | 4.413 | 14.025 | 0 |
| A | 2.6886 | −28.4788 | 2.702 | 0.995 | 0.365 |
| B | −0.8623 | −0.1486 | 2.702 | −0.319 | 0.763 |
| C | 0.7566 | −9.8132 | 2.702 | 0.280 | 0.791 |
| A × A | 6.4910 | 11.5395 | 3.978 | 1.632 | 0.164 |
| B × B | 7.4002 | 0.0002 | 3.978 | 1.861 | 0.122 |
| C × C | 12.442 | 0.4977 | 3.978 | 3.128 | 0.026 |
| A × B | −4.9325 | −0.0319 | 3.821 | −1.291 | 0.253 |
| A × C | −0.0502 | −0.0134 | 3.821 | −0.013 | 0.990 |
| B × C | 0.0685 | 0.0001 | 3.821 | 0.018 | 0.986 |
| Exp. N° | Factors | Resistance to Water Penetration (cm H2O) | Resistance to Water Penetration (Schmerber) | ||
|---|---|---|---|---|---|
| A | B | C | |||
| 1 | 1.5 | 412 | 10 | 7 | 68.647 |
| 2 | 3 | 412 | 10 | 7.5 | 73.550 |
| 3 | 1.5 | 824 | 10 | 7 | 68.647 |
| 4 | 3 | 824 | 10 | 7 | 68.647 |
| 5 | 1.5 | 618 | 5 | 7 | 68.647 |
| 6 | 3 | 618 | 5 | 7 | 68.647 |
| 7 | 1.5 | 618 | 15 | 7 | 68.647 |
| 8 | 3 | 618 | 15 | 8 | 78.453 |
| 9 | 2.25 | 412 | 5 | 7 | 68.647 |
| 10 | 2.25 | 824 | 5 | 7 | 68.647 |
| 11 | 2.25 | 412 | 15 | 8 | 78.453 |
| 12 | 2.25 | 824 | 15 | 7 | 68.647 |
| 13 a | 2.25 | 618 | 10 | 6.5 | 63.743 |
| 14 a | 2.25 | 618 | 10 | 7 | 68.647 |
| 15 a | 2.25 | 618 | 10 | 7 | 68.647 |
| Source | Coef. (Coded Data) | Coef. (Uncoded Data) | SE Coef. | T | P |
|---|---|---|---|---|---|
| Constant | 67.012 | 87.4452 | 1.2122 | 55.280 | 0 |
| A | 1.839 | −10.6245 | 0.7423 | 2.477 | 0.056 |
| B | −1.839 | −0.0089 | 0.7423 | −2.477 | 0.056 |
| C | 2.451 | −1.6345 | 0.7423 | 3.302 | 0.021 |
| A × A | 1.430 | 2.5426 | 1.0927 | 1.309 | 0.247 |
| B × B | 1.430 | 0 | 1.0927 | 1.309 | 0.247 |
| C × C | 2.656 | 0.1062 | 1.0927 | 2.431 | 0.059 |
| A × B | −1.226 | −0.0079 | 1.0498 | −1.168 | 0.296 |
| A × C | 2.452 | 0.6537 | 1.0498 | 2.335 | 0.067 |
| B × C | −2.452 | −0.0024 | 1.0498 | −2.335 | 0.067 |
| Responses | Goals | Optimal Values | d-Values |
|---|---|---|---|
| Air permeability (L·m−2·s−1) | Maximize | 154.819 ± 1.156% | 1 |
| Windproofness (L·m−2·s−1) | Minimize | 161.810 ± 0.766% | 0.818 |
| WVPI (%) | Maximize | 83.852 ± 0.589% | 0.839 |
| RWP (Schmerber) | Maximize | 78.506 ± 1.8% | 1 |
Publisher’s Note: MDPI stays neutral with regard to jurisdictional claims in published maps and institutional affiliations. |
© 2022 by the authors. Licensee MDPI, Basel, Switzerland. This article is an open access article distributed under the terms and conditions of the Creative Commons Attribution (CC BY) license (https://creativecommons.org/licenses/by/4.0/).
Share and Cite
Ghezal, I.; Moussa, A.; Ben Marzoug, I.; El-Achari, A.; Campagne, C.; Sakli, F. Investigating Waterproofness and Breathability of a Coated Double-Sided Knitted Fabric. Coatings 2022, 12, 1572. https://doi.org/10.3390/coatings12101572
Ghezal I, Moussa A, Ben Marzoug I, El-Achari A, Campagne C, Sakli F. Investigating Waterproofness and Breathability of a Coated Double-Sided Knitted Fabric. Coatings. 2022; 12(10):1572. https://doi.org/10.3390/coatings12101572
Chicago/Turabian StyleGhezal, Imene, Ali Moussa, Imed Ben Marzoug, Ahmida El-Achari, Christine Campagne, and Faouzi Sakli. 2022. "Investigating Waterproofness and Breathability of a Coated Double-Sided Knitted Fabric" Coatings 12, no. 10: 1572. https://doi.org/10.3390/coatings12101572
APA StyleGhezal, I., Moussa, A., Ben Marzoug, I., El-Achari, A., Campagne, C., & Sakli, F. (2022). Investigating Waterproofness and Breathability of a Coated Double-Sided Knitted Fabric. Coatings, 12(10), 1572. https://doi.org/10.3390/coatings12101572

