The Effects of a Gum Arabic-Based Edible Coating on Guava Fruit Characteristics during Storage
Abstract
:1. Introduction
2. Materials and Methods
2.1. Fruit Materials
2.2. Postharvest Treatments and Storage
2.3. Preparation of Plant Extracts
2.4. Treatment of Guava Fruit
2.5. Determination of Fruit Physical Properties
2.6. Fruit Chemical Characteristics
2.6.1. Fruit Pigments
2.6.2. Ascorbic Acid, TSS, Titratable Acidity (TA), and TSS/TA Ratio, TPC and TAA of the Pulp
2.6.3. Total Pectin
2.7. Shelf-Life Period
2.8. Inoculation of Fruits
2.9. Statistical Analysis
3. Results
3.1. Weight Loss (%), Decay (%), Rot and Marketable (%)
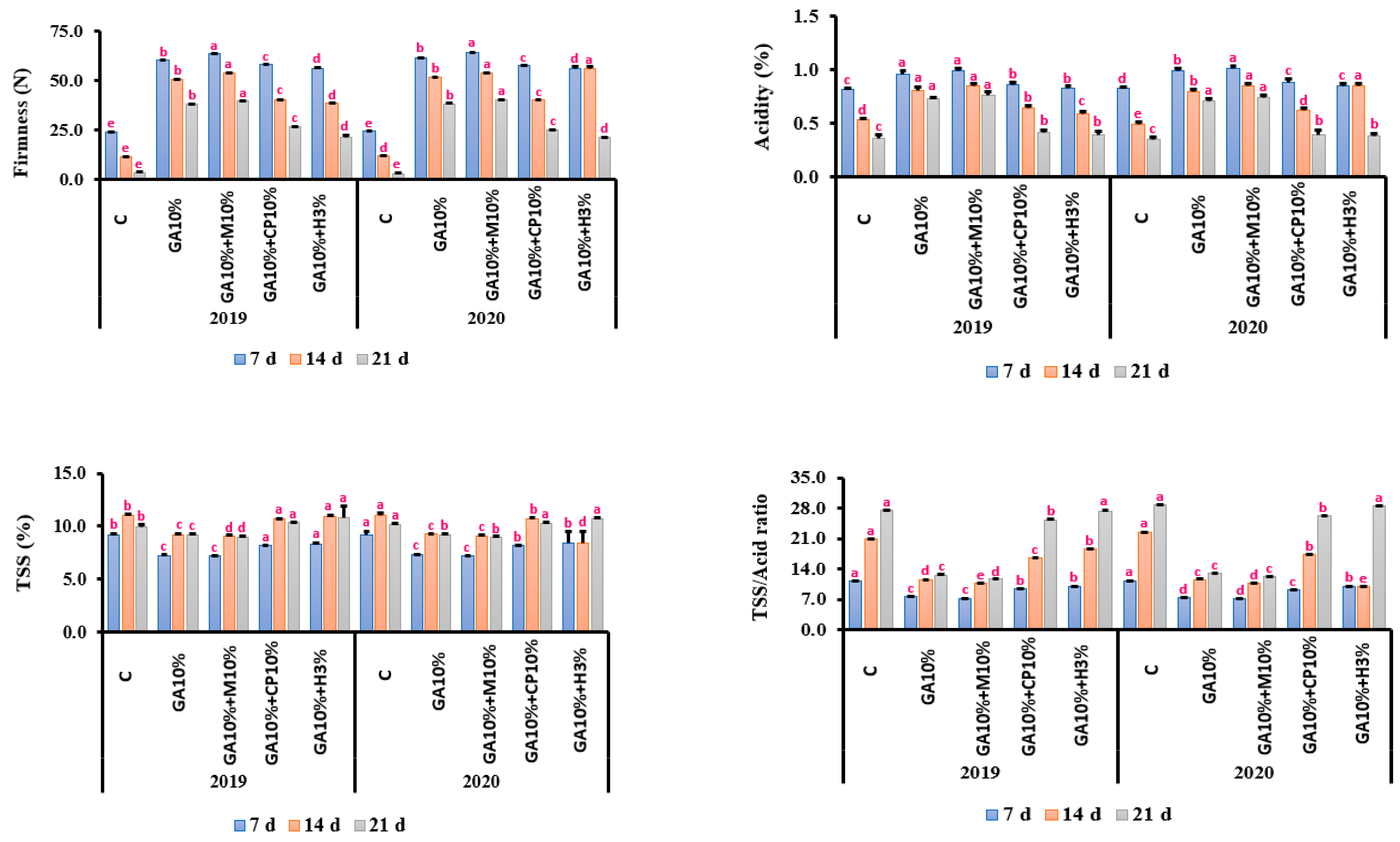
3.2. Firmness (N), TSS (%), Acidity (%), and TSS/Acid (%)
3.3. Total Sugars and Pectin
3.4. Effects on Total Carotenoid and Total Chlorophyll
3.5. Effects on VC Juice Content, Total Phenols, and Antioxidants Activity
3.6. Effects on the Shelf Life
3.7. Relationship among Fruit Characteristics
4. Discussion
5. Conclusions
Author Contributions
Funding
Institutional Review Board Statement
Informed Consent Statement
Data Availability Statement
Conflicts of Interest
References
- Valencia-Chamorro, S.A.; Palou, L.; Del Río, M.A.; Pérez-Gago, M.B. Antimicrobial edible films and coatings for fresh and minimally processed fruits and vegetables: A review. Crit. Rev. Food Sci. Nutr. 2011, 51, 872–900. [Google Scholar] [CrossRef] [PubMed]
- Lo’ay, A.A.; Doaa, M.H. The potential of vine rootstocks impacts on ‘Flame Seedless’ bunches behavior under cold storage and antioxidant enzyme activity performance. Sci. Hortic. 2020, 260, 108844. [Google Scholar] [CrossRef]
- Lo’ay, A.A.; El-Khateeb, A.Y. Impact of chitosan/PVA with salicylic acid, cell wall degrading enzyme activities and berries shattering of ‘Thompson seedless’ grape vines during shelf life. Sci. Hortic. 2018, 238, 281–287. [Google Scholar] [CrossRef]
- Kocira, A.; Kozłowicz, K.; Panasiewicz, K.; Staniak, M.; Szpunar-Krok, E.; Hortyńska, P. Polysaccharides as Edible Films and Coatings: Characteristics and Influence on Fruit and Vegetable Quality—A Review. Agronomy 2021, 11, 813. [Google Scholar] [CrossRef]
- Murmu, S.B.; Mishra, H.N. Optimization of the arabic gum based edible coating formulations with sodium caseinate and tulsi extract for guava. LWT 2017, 80, 271–279. [Google Scholar] [CrossRef]
- Lo’ay, A.A.; Dawood, H.D. Minimize browning incidence of banana by postharvest active chitosan/PVA Combines with oxalic acid treatment to during shelf-life. Sci. Hortic. 2017, 226, 208–215. [Google Scholar] [CrossRef]
- Mahajan, P.V.; Oliveira, F.; Macedo, I. Effect of temperature and humidity on the transpiration rate of the whole mushrooms. J. Food Eng. 2008, 84, 281–288. [Google Scholar] [CrossRef]
- Forato, L.A.; de Britto, D.; de Rizzo, J.S.; Gastaldi, T.A.; Assis, O.B. Effect of cashew gum-carboxymethylcellulose edible coatings in extending the shelf-life of fresh and cut guavas. Food Packag. Shelf Life 2015, 5, 68–74. [Google Scholar] [CrossRef]
- Lo’ay, A.A.; Dawood, H.D. Active chitosan/PVA with ascorbic acid and berry quality of ‘Superior seedless’ grapes. Sci. Hortic. 2017, 224, 286–292. [Google Scholar] [CrossRef]
- Yan, J.; Luo, Z.; Ban, Z.; Lu, H.; Li, D.; Yang, D.; Aghdam, M.S.; Li, L. The effect of the layer-by-layer (LBL) edible coating on strawberry quality and metabolites during storage. Posthavest Biol. Technol. 2019, 147, 29–38. [Google Scholar] [CrossRef]
- Klangmuang, P.; Sothornvit, R. Active coating from hydroxypropyl methylcellulose-based nanocomposite incorporated with Thai essential oils on mango (cv. Namdokmai Sithong). Food Biosci. 2018, 23, 9–15. [Google Scholar] [CrossRef]
- Perdones, A.; Sánchez-González, L.; Chiralt, A.; Vargas, M. Effect of chitosan–lemon essential oil coatings on storage-keeping quality of strawberry. Postharvest Biol. Technol. 2012, 70, 32–41. [Google Scholar] [CrossRef]
- Saberi, B.; Golding, J.B.; Marques, J.R.; Pristijono, P.; Chockchaisawasdee, S.; Scarlett, C.J.; Stathopoulos, C.E. Application of biocomposite edible coatings based on pea starch and guar gum on quality, storability and shelf life of ‘Valencia’ oranges. Postharvest Biol. Technol. 2018, 137, 9–20. [Google Scholar] [CrossRef] [Green Version]
- Thakur, R.; Pristijono, P.; Golding, J.; Stathopoulos, C.E.; Scarlett, C.; Bowyer, M.; Singh, S.; Vuong, Q. Development and application of rice starch based edible coating to improve the postharvest storage potential and quality of plum fruit (Prunus salicina). Sci. Hortic. 2018, 237, 59–66. [Google Scholar] [CrossRef] [Green Version]
- Chen, H.; Sun, Z.; Yang, H. Effect of carnauba wax-based coating containing glycerol monolaurate on the quality maintenance and shelf-life of Indian jujube (Zizyphus mauritiana Lamk.) fruit during storage. Sci. Hortic. 2019, 244, 157–164. [Google Scholar] [CrossRef]
- Nair, M.S.; Saxena, A.; Kaur, C. Effect of chitosan and alginate based coatings enriched with pomegranate peel extract to extend the postharvest quality of guava (Psidium guajava L.). Food Chem. 2018, 240, 245–252. [Google Scholar] [CrossRef]
- Prakash, A.; Joseph, M.; Mangino, M. The effects of added proteins on the functionality of gum arabic in soft drink emulsion systems. Food Hydrocoll. 1990, 4, 177–184. [Google Scholar] [CrossRef]
- Motlagh, S.; Ravines, P.; Karamallah, K.; Ma, Q. The analysis of Acacia gums using electrophoresis. Food Hydrocoll. 2006, 20, 848–854. [Google Scholar] [CrossRef]
- Anderson, D.; Eastwood, M. The safety of gum arabic as a food additive and its energy value as an ingredient: A brief review. J. Hum. Nutr. Diet. 1989, 2, 137–144. [Google Scholar] [CrossRef]
- Maqbool, M.; Ali, A.; Alderson, P.G.; Zahid, N.; Siddiqui, Y. Effect of a novel edible composite coating based on gum arabic and chitosan on biochemical and physiological responses of banana fruits during cold storage. J. Agric. Food Chem. 2011, 59, 5474–5482. [Google Scholar] [CrossRef]
- Ali, A.; Maqbool, M.; Alderson, P.G.; Zahid, N. Effect of gum arabic as an edible coating on antioxidant capacity of tomato (Solanum lycopersicum L.) fruit during storage. Postharvest Biol. Technol. 2013, 76, 119–124. [Google Scholar] [CrossRef]
- Addai, Z.R.; Abdullah, A.; Mutalib, S.; Musa, K. Effect of gum Arabic on quality and antioxidant properties of papaya fruit during cold storage. Int. J. ChemTech Res. 2013, 5, 2854–2862. [Google Scholar]
- Khaliq, G.; Mohamed, M.T.M.; Ali, A.; Ding, P.; Ghazali, H.M. Effect of gum arabic coating combined with calcium chloride on physico-chemical and qualitative properties of mango (Mangifera indica L.) fruit during low temperature storage. Sci. Hortic. 2015, 190, 187–194. [Google Scholar] [CrossRef]
- Ullah, A.; Abbasi, N.; Shafique, M.; Qureshi, A. Influence of edible coatings on biochemical fruit quality and storage life of bell pepper cv. “Yolo Wonder”. J. Food Qual. 2017, 2017. [Google Scholar] [CrossRef] [Green Version]
- Anjum, M.A.; Akram, H.; Zaidi, M.; Ali, S. Effect of gum arabic and Aloe vera gel based edible coatings in combination with plant extracts on postharvest quality and storability of ‘Gola’ guava fruits. Sci. Hrotic. 2020, 271, 109506. [Google Scholar] [CrossRef]
- Moyo, B.; Masika, P.J.; Muchenje, V. Antimicrobial activities of Moringa oleifera Lam leaf extracts. Afr. J. Biotechnol. 2012, 11, 2797–2802. [Google Scholar] [CrossRef]
- Tesfay, S.; Modi, A.; Mohammed, F. The effect of temperature in moringa seed phytochemical compounds and carbohydrate mobilization. S. Afr. J. Bot. 2016, 102, 190–196. [Google Scholar] [CrossRef]
- Tesfay, S.Z.; Magwaza, L.S. Evaluating the efficacy of moringa leaf extract, chitosan and carboxymethyl cellulose as edible coatings for enhancing quality and extending postharvest life of avocado (Persea americana Mill.) fruit. Food Packag. Shelf Life 2017, 11, 40–48. [Google Scholar] [CrossRef]
- Adetunji, C.; Fawole, O.; Arowora, K.; Nwaubani, S.; Ajayi, E.; Oloke, J.; Majolagbe, O.; Ogundele, B.; Aina, J.; Adetunji, J. Quality and safety of Citrus Sinensis coated with Hydroxypropylmethylcellulose edible coatings containing Moringa oleifera extract stored at ambient temperature. Glob. J. Sci. Front. Res 2012, 12, 6. [Google Scholar]
- Ncama, K.; Magwaza, L.S.; Mditshwa, A.; Tesfay, S.Z. Plant-based edible coatings for managing postharvest quality of fresh horticultural produce: A review. Food Packag. Shelf Life 2018, 16, 157–167. [Google Scholar] [CrossRef]
- Yousef, A.; El-Moniem, E.; Saleh, M. The effect of some natural products on storability and fruit properties of Fuerte avocado. Int. J. ChemTech Res. 2015, 8, 1454–1462. [Google Scholar]
- Salehi, F. Edible Coating of Fruits and Vegetables Using Natural Gums: A Review. Int. J. Fruit Sci. 2020, 20, S570–S589. [Google Scholar] [CrossRef]
- Kubheka, S.F.; Tesfay, S.Z.; Mditshwa, A.; Magwaza, L.S. Evaluating the Efficacy of Edible Coatings Incorporated with Moringa Leaf Extract on Postharvest of ‘Maluma’ Avocado Fruit Quality and Its Biofungicidal Effect. HortScience 2020, 55, 410–415. [Google Scholar] [CrossRef]
- Zegbe, J.A.; Mena-Covarrubias, J.; Domínguez-Canales, V.S.I. Cactus mucilage as a coating film to enhance shelf life of unprocessed guavas (Psidium guajava L.). Acta Hortic. 2015, 1067, 423–427. [Google Scholar] [CrossRef]
- Habbal, O.; Hasson, S.S.; El-Hag, A.H.; Al-Mahrooqi, Z.; Al-Hashmi, N.; Al-Bimani, Z.; Al-Balushi, M.S.; Al-Jabri, A.A. Antibacterial activity of Lawsonia inermis Linn (Henna) against Pseudomonas aeruginosa. Asian Pac. J. Trop Biomed. 2011, 1, 173–176. [Google Scholar] [CrossRef] [Green Version]
- Mercado-Silva, E.; Benito-Bautista, P.; de los Angeles García-Velasco, M. Fruit development, harvest index and ripening changes of guavas produced in central Mexico. Postharvest Biol. Technol. 1998, 13, 143–150. [Google Scholar] [CrossRef]
- A.O.A.C. Official Methods of Analysis; Association of Official Analytical Chemists Washington: Washington, DC, USA, 2005. [Google Scholar]
- Kähkönen, M.P.; Hopia, A.I.; Vuorela, H.J.; Rauha, J.-P.; Pihlaja, K.; Kujala, T.S.; Heinonen, M. Antioxidant activity of plant extracts containing phenolic compounds. J. Agric. Food Chem. 1999, 47, 3954–3962. [Google Scholar] [CrossRef]
- Abe, N.; Murata, T.; HIRoTA, A. Novel DPPH radical scavengers, bisorbicillinol and demethyltrichodimerol, from a fungus. Biosci. Biotechnol. Biochem. 1998, 62, 661–666. [Google Scholar] [CrossRef] [Green Version]
- Yu, L.; Reitmeier, C.; Love, M. Strawberry texture and pectin content as affected by electron beam irradiation. J. Food Sci. 1996, 61, 844–846. [Google Scholar] [CrossRef]
- Wu, R.; Frei, B.; Kennedy, J.A.; Zhao, Y. Effects of refrigerated storage and processing technologies on the bioactive compounds and antioxidant capacities of ‘Marion’ and ‘Evergreen’ blackberries. LWT-Food Sci. Technol. 2010, 43, 1253–1264. [Google Scholar] [CrossRef]
- Milosevic, T.; Mratinic, E.; Milosevic, N.; Glisic, I.; Mladenovic, J. Segregation of blackberry cultivars based on the fruit physico-chemical attributes. J. Agric. Sci. 2012, 18, 100–109. [Google Scholar]
- Dhall, R. Advances in edible coatings for fresh fruits and vegetables: A review. Crit. Rev. Food Sci. Nutr. 2013, 53, 435–450. [Google Scholar] [CrossRef]
- Ali, A.; Maqbool, M.; Ramachandran, S.; Alderson, P.G. Gum arabic as a novel edible coating for enhancing shelf-life and improving postharvest quality of tomato (Solanum lycopersicum L.) fruit. Postharvest Biol. Technol. 2010, 58, 42–47. [Google Scholar] [CrossRef]
- Barman, K.; Asrey, R.; Pal, R. Putrescine and carnauba wax pretreatments alleviate chilling injury, enhance shelf life and preserve pomegranate fruit quality during cold storage. Sci. Hortic. 2011, 130, 795–800. [Google Scholar] [CrossRef]
- El-Khalek, A.; Fathy, A. Effectiveness of gum arabic, potassium salts and their incorporation in the control of postharvest diseases and maintaining quality of ‘Washington’ navel oranges during long term cold storage. Egypt. J. Hortic. 2018, 45, 185–203. [Google Scholar] [CrossRef]
- Razzaq, K.; Khan, A.S.; Malik, A.U.; Shahid, M.; Ullah, S. Role of putrescine in regulating fruit softening and antioxidative enzyme systems in ‘Samar Bahisht Chaunsa’ mango. Postharvest Biol. Technol. 2014, 96, 23–32. [Google Scholar] [CrossRef]
- Tripathi, P.; Dubey, N. Exploitation of natural products as an alternative strategy to control postharvest fungal rotting of fruit and vegetables. Postharvest Biol. Technol. 2004, 32, 235–245. [Google Scholar] [CrossRef]
- Lester, G.E.; Grusak, M.A. Field application of chelated calcium: Postharvest effects on cantaloupe and honeydew fruit quality. HortTechnology 2004, 14, 29–38. [Google Scholar] [CrossRef] [Green Version]
- Baldwin, E.; Burns, J.; Kazokas, W.; Brecht, J.; Hagenmaier, R.; Bender, R.; Pesis, E. Effect of two edible coatings with different permeability characteristics on mango (Mangifera indica L.) ripening during storage. Postharvest Biol. Technol. 1999, 17, 215–226. [Google Scholar] [CrossRef]
- Echeverria, E.; Ismail, M. Changes in sugars and acids of citrus fruits during storage. In Proceedings of the Annual Meeting of the Florida State Horticulture Society, Florida, FA, USA; 1988; pp. 50–52. [Google Scholar]
- El-Banna, M.F.; Lo’ay, A.A. Evaluation berries shattering phenomena of ‘Flame seedless’ vines grafted on different rootstocks during shelf life. Sci. Hortic. 2019, 246, 51–56. [Google Scholar] [CrossRef]
- Beckman, C.H. Phenolic-storing cells: Keys to programmed cell death and periderm formation in wilt disease resistance and in general defence responses in plants? Physiol. Mol. Plant Pathol. 2000, 57, 101–110. [Google Scholar] [CrossRef]
- Blokhina, O.; Virolainen, E.; Fagerstedt, K.V. Antioxidants, oxidative damage and oxygen deprivation stress: A review. Ann. Bot. 2003, 91, 179–194. [Google Scholar] [CrossRef] [PubMed] [Green Version]
- Lo’ay, A.A.; Ameer, N.M. Performance of calcium nanoparticles blending with ascorbic acid and alleviation internal browning of ‘Hindi Be-Sennara’ mango fruit at a low temperature. Sci. Hortic. 2019, 254, 199–207. [Google Scholar] [CrossRef]
- Devi, R. Role of Gibberellic Acid and Calcium Chloride in Ripening Related Biochemical Changes in Guava (Psidium guajava L.) Fruit. Ph.D. Thesis, CCSHAU, Hisar, India, 2016. [Google Scholar]
- Lo’ay, A.A.; El-Ezz, S.F.A. Performance of ‘Flame seedless’ grapevines grown on different rootstocks in response to soil salinity stress. Sci. Hortic. 2021, 275, 109704. [Google Scholar] [CrossRef]









| Parameters | Values |
|---|---|
| Weight loss (%) | 0.00 |
| Decay (%) | 0.00 |
| Marketable (%) | 100.00 |
| Firmness (N) | 67.91 |
| TSS (%) | 7.01 |
| Acidity (%) | 1.11 |
| TSS/Acid ratio | 6.32 |
| Ascorbic acid (mg/100 mL juice) | 105.15 |
| Total chlorophyll (mg/100 g FW) | 16.15 |
| Total Carotenoids (mg/100 g FW) | 5.39 |
| Total sugars (%) | 1.65 |
| Total Pectin (%) | 0.69 |
| Total Phenolic (IC50 mg/mL) | 39.11 |
| Antioxidants (IC50 mg/mL) | 210.17 |
| Rhizopus Rot infection (%) | 0.00 |
Publisher’s Note: MDPI stays neutral with regard to jurisdictional claims in published maps and institutional affiliations. |
© 2022 by the authors. Licensee MDPI, Basel, Switzerland. This article is an open access article distributed under the terms and conditions of the Creative Commons Attribution (CC BY) license (https://creativecommons.org/licenses/by/4.0/).
Share and Cite
El-Gioushy, S.F.; Abdelkader, M.F.M.; Mahmoud, M.H.; Abou El Ghit, H.M.; Fikry, M.; Bahloul, A.M.E.; Morsy, A.R.; A., L.A.; Abdelaziz, A.M.R.A.; Alhaithloul, H.A.S.; et al. The Effects of a Gum Arabic-Based Edible Coating on Guava Fruit Characteristics during Storage. Coatings 2022, 12, 90. https://doi.org/10.3390/coatings12010090
El-Gioushy SF, Abdelkader MFM, Mahmoud MH, Abou El Ghit HM, Fikry M, Bahloul AME, Morsy AR, A. LA, Abdelaziz AMRA, Alhaithloul HAS, et al. The Effects of a Gum Arabic-Based Edible Coating on Guava Fruit Characteristics during Storage. Coatings. 2022; 12(1):90. https://doi.org/10.3390/coatings12010090
Chicago/Turabian StyleEl-Gioushy, Sherif Fathy, Mohamed F. M. Abdelkader, Mohamed H. Mahmoud, Hanan M. Abou El Ghit, Mohammad Fikry, Asmaa M. E. Bahloul, Amany R. Morsy, Lo’ay A. A., Adel M. R. A. Abdelaziz, Haifa A. S. Alhaithloul, and et al. 2022. "The Effects of a Gum Arabic-Based Edible Coating on Guava Fruit Characteristics during Storage" Coatings 12, no. 1: 90. https://doi.org/10.3390/coatings12010090
APA StyleEl-Gioushy, S. F., Abdelkader, M. F. M., Mahmoud, M. H., Abou El Ghit, H. M., Fikry, M., Bahloul, A. M. E., Morsy, A. R., A., L. A., Abdelaziz, A. M. R. A., Alhaithloul, H. A. S., Hikal, D. M., Abdein, M. A., Hassan, K. H. A., & Gawish, M. S. (2022). The Effects of a Gum Arabic-Based Edible Coating on Guava Fruit Characteristics during Storage. Coatings, 12(1), 90. https://doi.org/10.3390/coatings12010090

