Effect of Graphene Nanoparticles Addition on Superconductivity of YBa2Cu3O7~δ Synthesized via the Thermal Treatment Method
Abstract
:1. Introduction
2. Materials and Methods
3. Results and Discussions
3.1. Thermogravimetric Analysis (TG/DTG)
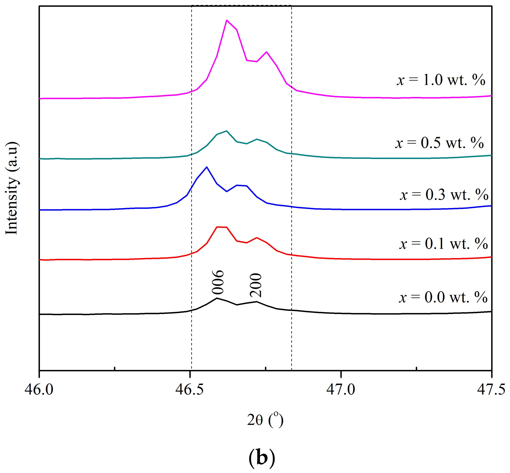
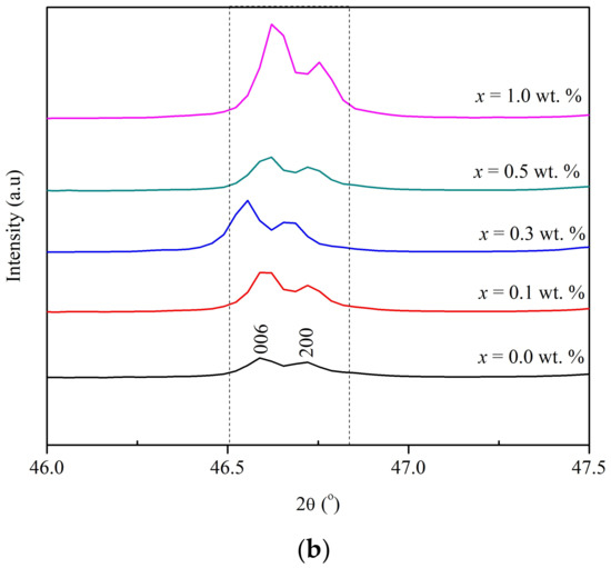
3.2. X-ray Diffraction Analysis
3.3. Surface Morphology of FESEM Analysis
3.4. AC Susceptibility Analysis
4. Conclusions
Author Contributions
Funding
Institutional Review Board Statement
Informed Consent Statement
Data Availability Statement
Acknowledgments
Conflicts of Interest
References
- Paranthaman, M.P.; Izumi, T. High-performance YBCO-coated superconductor wires. MRS Bull. 2004, 29, 533–537. [Google Scholar] [CrossRef] [Green Version]
- Deng, Z.; Izumi, M.; Miki, M.; Tsuzuki, K.; Felder, B.; Liu, W.; Zheng, J.; Wang, S.; Wang, J.; Floegel-Delor, U.; et al. Trapped flux and levitation properties of multiseeded YBCO bulks for HTS magnetic device applications-part II: Practical and achievable performance. IEEE Trans. Appl. Supercond. 2012, 22, 6800210. [Google Scholar] [CrossRef]
- Werfel, F.N.; Floegel-Delor, U.; Riedel, T.; Goebel, B.; Rothfeld, R.; Schirrmeister, P.; Wippich, D. Large-scale HTS bulks for magnetic application. Phys. C Supercond. Appl. 2013, 484, 6–11. [Google Scholar] [CrossRef]
- Koblischka-Veneva, A.; Koblischka, M.R.; Ide, N.; Inoue, K.; Muralidhar, M.; Hauet, T.; Murakami, M. Microstructural and magnetic analysis of a superconducting foam and comparison with IG-processed bulk samples. J. Phys. Conf. Ser. 2016, 695, 012002. [Google Scholar] [CrossRef]
- Muralidhar, M.; Kenta, N.; Zeng, X.L.; Koblischka, M.R.; Diko, P.; Murakami, M. Record critical current densities in IG processed bulk YBa2Cu3Oy fabricated using ball-milled Y2Ba1Cu1O5 phase. Phys. Status Solid Appl. Mater. Sci. 2016, 213, 443–449. [Google Scholar]
- Ramli, A.; Shaari, A.H.; Baqiah, H.; Kean, C.S.; Kechik, M.M.A.; Talib, Z.A. Role of Nd2O3 nanoparticles addition on microstructural and superconducting properties of YBa2Cu3O7-δ ceramics. J. Rare Earths 2016, 34, 895–900. [Google Scholar] [CrossRef]
- Dihom, M.M.; Shaari, A.H.; Baqiah, H.; Kechik, M.M.A. Effects of calcination temperature on microstructure and superconducting properties of y123 ceramic prepared using thermal treatment method effects of calcination temperature on microstructure and superconducting properties of Y123 ceramic prepared using. Solid State Phenom. 2017, 268, 325–329. [Google Scholar] [CrossRef]
- Hapipi, N.M.; Chen, S.K.; Shaari, A.; Kechik, M.M.A.; Tan, K.B.; Lim, K.P. Superconductivity of Y2O3 and BaZrO3 nanoparticles co-added YBa2Cu3O7−δ bulks prepared using co-precipitation method. J. Mater. Sci. Mater. Electron. 2018, 29, 18684–18692. [Google Scholar] [CrossRef]
- Arlina, A.; Karim, Y.; Chen, S.K.; Halim, S.A.; Kechik, M.M.A. Synthesis and effect of Al2O3 added in yttrium barium copper oxide YBa2Cu3Oδ by solid state reaction method. J. Trop. Resour. Sustain. Sci. 2016, 4, 75–77. [Google Scholar]
- Yusuf, N.N.M.; Kechik, M.M.A.; Baqiah, H.; Chen, S.K.; Lim, K.P.; Shaari, A.A.; Jusoh, W.N.W.W.; Sukor, S.I.A.; Dihom, M.M.; Talib, Z.A.; et al. Structural and superconducting properties of thermal treatment-synthesised bulk YBa2Cu3O7−δ superconductor: Effect of addition of SnO2 nanoparticles. Materials 2019, 12, 92. [Google Scholar] [CrossRef] [PubMed] [Green Version]
- Kamarudin, A.N.; Kechik, M.M.A.; Muralidhar, M.; Pinmangkorn, S.; Murakami, M.; Chen, S.K.; Baqiah, H.; Ramli, A.; Lim, K.P.; Halim, S.A. Microstructural, phase formation, and superconducting properties of bulk YBa2Cu3Oy superconductors grown by infiltration growth process utilizing the YBa2Cu3Oy + ErBa2Cu3Oy + Ba3Cu5O8 as a liquid source. Coatings 2021, 11, 377. [Google Scholar] [CrossRef]
- Haugan, T.; Barnes, P.N.; Wheeler, R.; Meisenkothen, F.; Sumption, M.; Melsenkothen, F.; Sumption, M. Addition of nanoparticle dispersions to enhance flux pinning of the YBa2Cu3O7-x superconductor. Nature 2004, 430, 867–870. [Google Scholar] [CrossRef] [PubMed]
- Dadras, S.; Gharehgazloo, Z. Effect of Au nano-particles doping on polycrystalline YBCO high temperature superconductor. Phys. B Phys. Condens. Matter 2016, 492, 45–49. [Google Scholar] [CrossRef]
- Baqiah, H.; Halim, S.A.; Chen, S.K.; Lim, K.P.; Kechik, M.M.A. Effects of rare earth nanoparticles (M = Sm2O3, Ho2O3, Nd2O3) addition on the microstructure and superconducting transition of Bi1.6Pb0.4Sr2Ca2Cu3O10+δ ceramics. Sains Malays. 2016, 45, 643–651. [Google Scholar]
- Mikheenko, P.; Abell, J.S.; Sarkar, A.; Dang, V.S.; Kechik, M.M.A.; Tanner, J.L.; Paturi, P.; Huhtinen, H.; Babu, N.H.; Cardwell, D.A.; et al. Self-assembled artificial pinning centres in thick YBCO superconducting films. J. Phys. Conf. Ser. 2010, 234, 022022. [Google Scholar] [CrossRef]
- Hapipi, N.M.; Chen, S.K.; Halim, S.A.; Kechik, M.M.A.; Tan, K.B.; Lim, K.P.; Lee, O.J. AC susceptibility of BaZrO3 nanoparticles added YBa2Cu3O7−δ superconductor prepared via coprecipitation method. J. Supercond. Nov. Magn. 2019, 32, 1191–1198. [Google Scholar] [CrossRef]
- Mikheenko, P.; Sarkar, A.; Dang, V.S.; Tanner, J.L.; Kechik, M.M.A.; Abell, J.S.; Crisan, A. Pinning centers induced in YBCO films by nano-dots in substrate decoration and quasi-superlattice approaches. IEEE Trans. Appl. Supercond. 2009, 19, 3491–3494. [Google Scholar] [CrossRef]
- Abd-Shukor, R.; Kechik, M.M.A.; Halim, S.A. Transport critical current density of Bi-Sr-Ca-Cu-O/Ag superconductor tapes with addition of Fe3O4 as flux pinning center. J. Phys. Conf. Ser. 2008, 97, 2–8. [Google Scholar] [CrossRef]
- Arlina, A.; Halim, S.A.; Kechik, M.M.A.; Chen, S.K. Superconductivity in Bi-Pb-Sr-Ca-Cu-O ceramics with YBCO as additive. J. Alloys Compd. 2015, 645, 69–273. [Google Scholar] [CrossRef]
- Dihom, M.M.; Halim, S.A.; Baqiah, H.; Al-Hada, N.M.; Chen, S.K.; Azis, R.S.; Kechik, M.M.A.; Talib, Z.A.; Abd-Shukor, R. Microstructure and superconducting properties of Ca substituted Y(Ba1−xCax)2Cu3O7−δ ceramics prepared by thermal treatment method. Results Phys. 2017, 7, 407–412. [Google Scholar] [CrossRef]
- Dihom, M.M.; Halim, S.A.; Baqiah, H.; Al-Hada, N.M.; Talib, Z.A.; Chen, S.K.; Azis, R.S.; Kechik, M.M.A.; Lim, K.P.; Abd-Shukor, R. Structural and superconducting properties of Y(Ba1-xKx)2Cu3O7-δ ceramics. Ceram. Int. 2017, 43, 11339–11344. [Google Scholar] [CrossRef]
- Khalid, N.A.; Kechik, M.M.A.; Baharuddin, N.A.; Chen, S.K.; Baqiah, H.; Yusuf, N.N.M.; Halim, S.A.; Hashim, A.; Talib, Z.A. Impact of carbon nanotubes addition on transport and superconducting properties of YBa2Cu3O7−δ ceramics. Ceram. Int. 2018, 44, 9568–9573. [Google Scholar] [CrossRef]
- Dou, S.X.; Soltanian, S.; Horvat, J.; Wang, X.L.; Zhou, S.H.; Ionescu, M.; Liu, H.K.; Munroe, P.; Tomsic, M. Enhancement of the critical current density and flux pinning of MgB2 superconductor by nanoparticle SiC doping. Appl. Phys. Lett. 2002, 81, 3419–3421. [Google Scholar] [CrossRef] [Green Version]
- Khalid, N.A.; Kechik, M.M.A.; Baharuddin, N.A.; Chen, S.K.; Baqiah, H.; Lim, K.P.; Halim, S.A.; Talib, Z.A.; Hashim, A.; Murakami, M.; et al. Carbon nanofibers addition on transport and superconducting properties of bulk YBa2Cu3O7−δ material prepared via co-precipitation. J. Mater. Sci. Mater. Electron. 2020, 31, 16983–16990. [Google Scholar] [CrossRef]
- Lee, C.Y.; Kao, Y.H. Frequency dependence of the intergranular energy-loss peak in AC magnetic susceptibility of high-Tc superconductors. Phys. C Supercond. 1996, 256, 183–190. [Google Scholar] [CrossRef]
- De Silva, K.S.B.; Xu, X.; Gambhir, S.; Wang, X.L.; Li, W.X.; Wallaceb, G.G.; Doua, S.X. Flux pinning mechanisms in graphene-doped MgB2 superconductors. Scr. Mater. 2011, 65, 634–637. [Google Scholar] [CrossRef]
- Dadras, S.; Dehghani, S.; Davoudiniya, M.; Falahati, S. Improving superconducting properties of YBCO high temperature superconductor by Graphene Oxide doping. Mater. Chem. Phys. 2017, 193, 496–500. [Google Scholar] [CrossRef]
- Colie, M.; Mihaiescu, D.; Surdu, A.; Trusca, R.; Vasile, B.; Istrati, D.; Ficai, A.; Plapcianu, C.; Andronescu, E. High temperature superconducting materials based on Graphene/YBCO nanocomposite. Mater. Today Proc. 2016, 3, 2628–2634. [Google Scholar] [CrossRef]
- Kong, W.; Kong, I.; Kechik, M.M.A.; Abd-Shukor, R. Effect of graphene addition on the transport critical current density of bulk (Tl0.85Cr0.15) Sr2CaCu2O7-δ superconductor. Mater. Today Proc. 2018, 5, 3176–3184. [Google Scholar] [CrossRef]
- Justh, N.; Berke, B.; László, K.; Bakos, L.P.; Szabó, A.; Hernádi, K.; Szilágyi, I.M. Preparation of graphene oxide/semiconductor oxide composites by using atomic layer deposition. Appl. Surf. Sci. 2018, 453, 245–251. [Google Scholar] [CrossRef] [Green Version]
- Akilarasan, M.; Kogularasu, S.; Chen, S.M.; Chen, T.W.; Lin, S.H. One-step synthesis of reduced graphene oxide sheathed zinc oxide nanoclusters for the trace level detection of bisphenol A in tissue papers. Ecotoxicol. Environ. Saf. 2018, 161, 699–705. [Google Scholar] [CrossRef]
- Cançado, L.G.; Jorio, A.; Ferreira, E.H.M.; Stavale, F.; Achete, C.A.; Capaz, R.B.; Moutinho, M.V.O.; Lombardo, A.; Kulmala, T.S.; Ferrari, A.C. Quantifying defects in graphene via Raman spectroscopy at different excitation energies. Nano Lett. 2011, 11, 3190–3196. [Google Scholar] [CrossRef] [PubMed] [Green Version]
- Parvathi, V.P.; Parimaladevi, R.; Sathe, V.; Umadevi, M. Environmental photochemistry by plasmonic semiconductor decorated GO nanocomposites: SERS detection and visible light driven degradation of aromatic dyes. Appl. Surf. Sci. 2019, 473, 864–872. [Google Scholar] [CrossRef]
- Ng, Y.H.; Iwase, A.; Bell, N.J.; Kudo, A.; Amal, R. Semiconductor/reduced graphene oxide nanocomposites derived from photocatalytic reactions. Catal. Today 2011, 164, 353–357. [Google Scholar] [CrossRef]
- Kogularasu, S.; Govindasamy, M.; Chen, S.M.; Akilarasan, M.; Mani, V. 3D graphene oxide-cobalt oxide polyhedrons for highly sensitive non-enzymatic electrochemical determination of hydrogen peroxide. Sens. Actuators B Chem. 2017, 253, 773–783. [Google Scholar] [CrossRef]
- Sahoo, B.; Routray, K.L.; Samal, D.; Behera, D. Effect of artificial pinning centers on YBCO high temperature superconductor through substitution of graphene nano-platelets. Mater. Chem. Phys. 2019, 223, 784–788. [Google Scholar] [CrossRef]
- Pei, S.; Cheng, H.M. The reduction of graphene oxid. Carbon 2012, 50, 3210–3228. [Google Scholar] [CrossRef]
- Naseri, M.G.; Saion, E.B.; Hashim, M.; Halim, S.A.; Ahangar, H.A. Synthesis and characterization of zinc ferrite nanoparticles by a thermal treatment method. Solid State Commun. 2011, 151, 1031–1035. [Google Scholar] [CrossRef]
- Melnikov, P.; Nascimento, V.A.; Consolo, L.Z.Z.; Silva, A.F. Mechanism of thermal decomposition of yttrium nitrate hexahydrate, Y(NO3)3·6H2O and modeling of intermediate oxynitrates. J. Therm. Anal. Calorim. 2013, 111, 115–119. [Google Scholar] [CrossRef]
- Jasim, S.E.; Jusoh, M.A.; Hafiz, M.; Jose, R. Fabrication of Superconducting YBCO Nanoparticles by Electrospinning. Procedia Eng. 2016, 148, 243–248. [Google Scholar] [CrossRef] [Green Version]
- Lui, C.H.; Liu, L.; Mak, K.F.; Flynn, G.W.; Heinz, T.F. Ultraflat graphene. Nature 2009, 462, 339–341. [Google Scholar] [CrossRef]
- Sheahen, T. Introduction to High-Temperature Superconductivity; Springer Science & Business Media: Berlin, Germany, 1994. [Google Scholar]
- Wei, K.; Ing, K.; Hamdan, M.S.; Radiman, S. AC Susceptibility and superconducting properties of graphene added YBa2Cu3O7−d. J. Supercond. Nov. Magn. 2018, 31, 2699–2703. [Google Scholar] [CrossRef]
- Dadras, S.; Falahati, S.; Dehghani, S. Effects of graphene oxide doping on the structural and superconducting properties of YBa2Cu3O7−δ. Phys. C Supercond. Appl. 2018, 548, 65–67. [Google Scholar] [CrossRef]
- Parinov, I.A. Microstructure and Properties of High-Temperature Superconductors; Springer: Berlin/Heidelberg, Germany, 2007. [Google Scholar]
- Hannachi, E.; Almessiere, M.A.; Slimani, Y.; Baykal, A.; Ben Azzouz, F. AC susceptibility investigation of YBCO superconductor added by carbon nanotubes. J. Alloys Compd. 2016, 812, 152150. [Google Scholar] [CrossRef]
- Ramli, A.; Halim, S.A.; Chen, S.K.; Kechik, M.M.A. The effect of Gd2O3 nanoparticles addition on microstructural and electrical properties of YBCO superconductor. ARPN J. Eng. Appl. Sci. 2016, 11, 13708–13715. [Google Scholar]
- Sharma, D.; Kumar, R.; Awana, V.P.S. DC and AC susceptibility study of sol-gel synthesized Bi2Sr2CaCu2O8+δ superconductor. Ceram. Int. 2013, 39, 1143–1152. [Google Scholar] [CrossRef]
- Sarmago, R.V.; Singidas, B.G. Low field AC susceptibility of YBCO: The frequency and field dependence of intra- and intergrain coupling losses in the absence of vortices. Supercond. Sci. Technol. 2004, 17, S578. [Google Scholar] [CrossRef]
- Peng, J.; Liu, Y.; Ma, Z.; Shahriar Al Hossain, M.; Xin, Y.; Jin, J. Superior critical current density obtained in MgB2 bulks via employing carbon-coated boron and minor Cu addition. Phys. C Supercond. Appl. 2016, 528, 60–64. [Google Scholar] [CrossRef]
- Ambegaokar, V.; Baratoff, A. Tunneling between superconductors. Phys. Rev. Lett. 1963, 11, 104. [Google Scholar] [CrossRef]








| Samples (wt.%) | a (Å) | b (Å) | c (Å) | V3 (Å3) | Crystallite Size (nm) | Orthorhombicity Factor |
|---|---|---|---|---|---|---|
| 0.0 | 3.8213 ± 0.0002 | 3.8812 ± 0.0002 | 11.6784 ± 0.0005 | 173.21 | 103.65 | 0.0078 |
| 0.1 | 3.8209 ± 0.0002 | 3.8817 ± 0.0002 | 11.6787 ± 0.0004 | 173.21 | 125.72 | 0.0079 |
| 0.3 | 3.8197 ± 0.0002 | 3.8813 ± 0.0002 | 11.6769 ± 0.0004 | 173.11 | 103.65 | 0.0080 |
| 0.5 | 3.8219 ± 0.0002 | 3.8818 ± 0.0002 | 11.6777 ± 0.0004 | 173.25 | 73.68 | 0.0078 |
| 1.0 | 3.8235 ± 0.0002 | 3.8817 ± 0.0003 | 11.6794 ± 0.0004 | 173.34 | 182.50 | 0.0076 |
| Samples (wt.%) | Average Grain Sizes D (μm) |
|---|---|
| 0.0 | 6.384 ± 0.33 |
| 0.1 | 4.539 ± 0.22 |
| 0.3 | 5.524 ± 0.25 |
| 0.5 | 4.754 ± 0.24 |
| 1.0 | 8.916 ± 0.69 |
| Samples (wt.%) | Tc-onset (K) | Tcj (K) | Tp (K) | Jcm(A/cm2) | Io (µA) |
|---|---|---|---|---|---|
| 0.0 | 92.65 | - | 89.77 | 24.16 | 1.465 |
| 0.1 | 92.30 | 91.13 | 91.84 | 22.87 | 114.32 |
| 0.3 | 92.50 | 90.92 | 88.89 | 19.60 | 85.02 |
| 0.5 | 92.59 | 90.83 | 89.31 | 21.29 | 76.47 |
| 1.0 | 92.64 | 90.78 | 91.69 | 25.94 | 72.44 |
Publisher’s Note: MDPI stays neutral with regard to jurisdictional claims in published maps and institutional affiliations. |
© 2022 by the authors. Licensee MDPI, Basel, Switzerland. This article is an open access article distributed under the terms and conditions of the Creative Commons Attribution (CC BY) license (https://creativecommons.org/licenses/by/4.0/).
Share and Cite
Kamarudin, A.N.; Awang Kechik, M.M.; Abdullah, S.N.; Baqiah, H.; Chen, S.K.; Abdul Karim, M.K.; Ramli, A.; Lim, K.P.; Shaari, A.H.; Miryala, M.; et al. Effect of Graphene Nanoparticles Addition on Superconductivity of YBa2Cu3O7~δ Synthesized via the Thermal Treatment Method. Coatings 2022, 12, 91. https://doi.org/10.3390/coatings12010091
Kamarudin AN, Awang Kechik MM, Abdullah SN, Baqiah H, Chen SK, Abdul Karim MK, Ramli A, Lim KP, Shaari AH, Miryala M, et al. Effect of Graphene Nanoparticles Addition on Superconductivity of YBa2Cu3O7~δ Synthesized via the Thermal Treatment Method. Coatings. 2022; 12(1):91. https://doi.org/10.3390/coatings12010091
Chicago/Turabian StyleKamarudin, Aliah Nursyahirah, Mohd Mustafa Awang Kechik, Siti Nabilah Abdullah, Hussein Baqiah, Soo Kien Chen, Muhammad Khalis Abdul Karim, Aima Ramli, Kean Pah Lim, Abdul Halim Shaari, Muralidhar Miryala, and et al. 2022. "Effect of Graphene Nanoparticles Addition on Superconductivity of YBa2Cu3O7~δ Synthesized via the Thermal Treatment Method" Coatings 12, no. 1: 91. https://doi.org/10.3390/coatings12010091
APA StyleKamarudin, A. N., Awang Kechik, M. M., Abdullah, S. N., Baqiah, H., Chen, S. K., Abdul Karim, M. K., Ramli, A., Lim, K. P., Shaari, A. H., Miryala, M., Murakami, M., & Talib, Z. A. (2022). Effect of Graphene Nanoparticles Addition on Superconductivity of YBa2Cu3O7~δ Synthesized via the Thermal Treatment Method. Coatings, 12(1), 91. https://doi.org/10.3390/coatings12010091

