Based on Ultrathin PEDOT:PSS/c-Ge Solar Cells Design and Their Photoelectric Performance
Abstract
:1. Introduction
2. Design and Structures
2.1. Simulation Methods
2.2. Structure Design
3. Results
4. Conclusions
Author Contributions
Funding
Institutional Review Board Statement
Informed Consent Statement
Data Availability Statement
Conflicts of Interest
References
- Yi, Z.; Li, J.K.; Lin, J.C.; Qin, F.; Chen, X.F.; Yao, W.T.; Liu, Z.M.; Cheng, S.B.; Wu, P.H.; Li, H.L. Broadband polariza-tion-insensitive and wide-angle solar energy absorber based on tungsten ring-disc array. Nanoscale 2020, 12, 23077–23083. [Google Scholar] [CrossRef] [PubMed]
- Li, J.; Chen, X.; Yi, Z.; Yang, H.; Tang, Y.; Yi, Y.; Yao, W.; Wang, J.; Yi, Y. Broadband solar energy absorber based on monolayer molybdenum disulfide using tungsten elliptical arrays. Mater. Today Energy 2020, 16, 100390. [Google Scholar] [CrossRef]
- Chen, X.; Wu, W.; Zhang, W.; Wang, Z.; Fu, Z.; Zhou, L.; Yi, Z.; Li, G.; Zeng, L. Blue and green double band luminescent carbon quantum dots: Synthesis, origin of photoluminescence, and application in white light-emitting devices. Appl. Phys. Lett. 2021, 15, 153102. [Google Scholar] [CrossRef]
- Deng, Y.; Cao, G.T.; Yang, H.; Zhou, X.Q.; Wu, Y.W. Dynamic control of double plasmon-induced transparencies in aperture-coupled waveguide-cavity system. Plasmonics 2018, 13, 345–352. [Google Scholar] [CrossRef]
- Liu, W.; Pang, L.; Han, H.; Bi, K.; Lei, M.; Wei, Z. Tungsten disulphide for ultrashort pulse generation in all-fiber lasers. Nanoscale 2017, 9, 5806–5811. [Google Scholar] [CrossRef] [PubMed]
- Cheng, Z.H.; Liao, J.; He, B.Z.; Zhang, F.; Zhang, F.A.; Huang, X.H.; Zhou, L. One-step fabrication of graphene oxide enhanced magnetic composite gel for highly efficient dye adsorption and catalysis. ACS Sustain. Chem. Eng. 2015, 3, 1677–1685. [Google Scholar] [CrossRef]
- Cheng, T.; Sun, X.; Xian, T.; Yi, Z.; Li, R.; Wang, X.; Yang, H. Tert-butylamine/oleic acid-assisted morphology tailoring of hierarchical Bi4Ti3O12 architectures and their application for photodegradation of simulated dye wastewater. Opt. Mater. 2021, 112, 110781. [Google Scholar] [CrossRef]
- Li, J.H.; Jiang, J.B.; Xu, Z.F.; Liu, M.Q.; Tang, S.P.; Yang, C.M.; Qian, D. Facile synthesis of Ag@Cu2O heterogeneous nanocrystals decorated N-doped reduced graphene oxide with enhanced electrocatalytic activity for ultrasensitive detection of H2O2. Sens. Actuators B Chem. 2018, 260, 529–540. [Google Scholar] [CrossRef]
- King, R.R.; Law, D.C.; Edmondson, K.M.; Fetzer, C.M.; Kinsey, G.S. 40% efficient metamorphic GaInP/GaInAs/Ge multijunction solar cells. Appl. Phys. Lett. 2007, 90, 183516. [Google Scholar] [CrossRef] [Green Version]
- Bunthof, L.A.A.; Haverkamp, E.J.; Woude, D.V.; Bauhuis, G.J.; Corbeek, W.H.M.; Veelenturf, S.; Vlieg, E.; Schermer, J.J. Influence of laterally split spectral illumination on multi-junction CPV solar cell performance. Sol. Energy 2018, 170, 86–94. [Google Scholar] [CrossRef]
- Renno, C.; Landi, G.; Petito, F.; Neitzert, H.C. Influence of a degraded triple-junction solar cell on the CPV system performances. Energy Convers. Manag. 2018, 160, 326–340. [Google Scholar] [CrossRef]
- Zhou, Q.; Ju, W.; Yong, Y.; Zhang, Q.; Liu, Y.; Li, J. Effect of the N/P and transition-metal co-doping on the quantum capacitance of supercapacitor electrodes based on mono-and multilayer graphene. Carbon 2020, 170, 368–379. [Google Scholar] [CrossRef]
- Huen, P.; Daoud, W.A. Advances in hybrid solar photovoltaic and thermoelectric generators. Renew. Sustain. Energy Rev. 2017, 72, 1295–1302. [Google Scholar] [CrossRef]
- Ahmed, A.; Zhang, G.; Shanks, K.; Sundaram, S.; Ding, Y.L.; Mallick, T. Performance evaluation of single multi-junction solar cell for high concentrator photovoltaics using minichannel heat sink with nanofluids. Appl. Therm. Eng. 2021, 182, 115868. [Google Scholar] [CrossRef]
- Lattyak, C.; Ravekes, R.E.; Steenhoff, V.; Vehse, M.; Agert, C. Ultrathin resonant-cavity-enhanced amorphous germanium solar cells on ZnO. IEEE J. Photovolt. 2018, 8, 3–7. [Google Scholar] [CrossRef]
- Hekmatshoar, B.; Shahrjerdi, D.; Hopstaken, M.; Fogel, K.; Sadana, D.K. High-efficiency heterojunction solar cells on crystalline germanium substrates, oxide-based materials & devices v, international society for optics and photonics. Appl. Phys. Lett. 2012, 101, 032102. [Google Scholar]
- Barrutia, L.; Garcia, I.; Barrigon, E.; Ochoa, M.; Algora, C.; Solle, I.R. Impact of the III-V/Ge nucleation routine on the performance of high efficiency multijunction solar cells. Sol. Energy Mater. Sol. Cells 2020, 207, 110355. [Google Scholar] [CrossRef]
- Qi, Y.; Zhang, B.; Ding, J.; Zhang, T.; Wang, X.; Yi, Z. Efficient manipulation of terahertz waves by multi-bit coding metasurfaces and its further application. Chin. Phys. B 2020, 30, 024211. [Google Scholar] [CrossRef]
- Liu, Q.; Khatri, I.; Ishikawa, R.; Ueno, K.; Shirai, H. Effects of molybdenum oxide molecular doping on the chemical structure of poly(3,4-ethylenedioxythiophene):poly(stylenesulfonate) and on carrier collection efficiency of silicon/poly(3,4-ethylenedioxythiophene):poly(stylenesulfonate) heterojunction solar cells. Phys. Lett. 2013, 102, 183503. [Google Scholar]
- Roghabadi, F.A.; Ahmadi, N.; Ahmadi, V.; Carlo, A.D.; Aghmiuni, K.O.; Tehrani, A.S.; Ghoreishi, F.S.; Payandeh, M.; Fumani, N.M.R. Bulk heterojunction polymer solar cell and perovskite solar cell: Concepts, materials, current status, and opto-electronic properties. Sol. Energy 2018, 173, 407–424. [Google Scholar] [CrossRef]
- Li, P.C.; Sun, K.; Ouyang, J.Y. Stretchable and conductive polymer films prepared by solution blending. Appl. Mater. Interfaces 2015, 7, 18415–18423. [Google Scholar] [CrossRef] [PubMed]
- Yi, M.J.; Jang, W.; Cho, J.S.; Wang, D.H. Enhanced interface of polyurethane acrylate via perfluoropolyether for efficient transfer printing and stable operation of PEDOT:PSS in perovskite photovoltaic cells. Appl. Surf. Sci. 2019, 467–468, 168–177. [Google Scholar] [CrossRef]
- Li, Z.; Yi, Y.; Xu, D.; Yang, H.; Yi, Z.; Chen, X.; Yi, Y.; Zhang, J.; Wu, P. A multi-band and polarization-independent perfect absorber based on dirac semimetals circles and semi-ellipses array. Chin. Phys. B 2021. [Google Scholar] [CrossRef]
- Zhang, X.; Liu, Z.; Zhang, Z.; Gao, E.; Luo, X.; Zhou, F.; Li, H.; Yi, Z. Polarization-sensitive triple plasmon-induced transparency with synchronous and asynchronous switching based on monolayer graphene metamaterials. Opt. Express 2020, 28, 36771–36783. [Google Scholar] [CrossRef] [PubMed]
- Zhang, B.; Qi, Y.; Zhang, T.; Zhang, Y.; Liu, W.; Wang, L.; Ding, J.; Wang, X.; Yi, Z. Tunable multi-band terahertz absorber based on composite graphene structures with square ring and Jerusalem cross. Results Phys. 2021, 25, 104233. [Google Scholar] [CrossRef]
- Lee, J.H.; Kim, Y.H. High performance ITO-free white organic light-emitting diodes using highlyconductive PEDOT:PSS transparent electrodes. Synth. Met. 2018, 242, 99–102. [Google Scholar] [CrossRef]
- Gogolin, R.; Zielke, D.; Descoeudres, A.; Despeisse, M.; Ballif, C.; Schmdt, J. Demonstrating the high voc potential of PEDOT:PSS/c-Si heterojunctions on solar cells. Energy Procedia 2017, 124, 593–597. [Google Scholar] [CrossRef] [Green Version]
- Minemoto, T.; Kawano, Y.; Nishimura, T.; Shen, Q.; Yoshino, K.; Likubo, S.; Hayase, S.; Chantana, J. Theoretical analysis of band alignment at back junction in Sn–Ge perovskite solar cells with inverted p-i-n structure. Sol. Energy Mater. Sol. Cells 2020, 206, 110268. [Google Scholar] [CrossRef]
- Zhao, F.; Chen, X.F.; Yi, Z.; Qin, F.; Tang, Y.J.; Yao, W.T.; Zhou, Z.G.; Yi, Y.G. Study on the solar energy absorption of hybrid solar cells with trapezoid-pyramidal structure based PEDOT:PSS/c-Ge. Solar Energy 2020, 204, 635–643. [Google Scholar] [CrossRef]
- Li, J.H.; Jiang, J.B.; Zhao, D.; Xu, Z.F.; Liu, M.Q.; Liu, X.; Tong, H.X.; Qian, D. Novel hierarchical sea urchin-like Prussian blue@palladium core-shell heterostructures supported on nitrogen-doped reduced graphene oxide: Facile synthesis and excellent guanine sensing performance. Electrochim. Acta 2020, 330, 135196. [Google Scholar] [CrossRef]
- Yang, X.; Zhang, F.; Hu, Y.J.; Chen, D.Z.; He, Z.Q.; Xiong, L.Z. Gold nanoparticals doping graphene sheets nanocomposites sensitized screen-printed carbon electrode as a disposable platform for voltammetric determination of guaiacol in bamboo juice. Int. J. Electrochem. Sci. 2014, 9, 5061–5072. [Google Scholar]
- Lu, W.H.; Wang, C.W.; Yue, W.; Chen, L.W. Si/PEDOT:PSS core/shell nanowire arrays for efficient hybrid solar cells. Nanoscale 2011, 3, 3631. [Google Scholar] [CrossRef] [PubMed]
- Mariani, G.; Wang, Y.; Wong, P.S.; Lech, A.; Hung, C.H.; Shapiro, J.; Prikhodko, S.; El-Kady, M.; Kaner, R.B.; Huffaker, D.L. Three-dimensional core−shell hybrid solar cells via controlled in situ materials engineering. Nano Lett. 2012, 12, 3581–3586. [Google Scholar] [CrossRef]
- Han, S.E.; Chen, G. Optical absorption enhancement in silicon nanohole arrays for solar photovoltaics. Nano Lett. 2010, 10, 1012–1015. [Google Scholar] [CrossRef] [PubMed]
- Garnett, E.; Yang, P.D. Light trapping in silicon nanowire solar cells. Nano Lett. 2010, 10, 1082–1087. [Google Scholar] [CrossRef] [PubMed]
- Ren, R.; Zhong, Z. Enhanced light absorption of silicon solar cells with dielectric nanostructured back reflector. Opt. Commun. 2018, 417, 110–114. [Google Scholar] [CrossRef]
- Liu, B.; Hu, J.; Jia, L.J.; Liu, J.; Ren, X.D.; Zhang, X.S.; Guo, X.J.; Liu, S.Z. Ge quantum-dot enhanced c–Si solar cell for improved light trapping efficiency. Sol. Energy 2018, 167, 102–107. [Google Scholar] [CrossRef]
- Agnihotri, S.K.; Samajdar, D.P.; Arefinia, Z. Design of InP-based truncated nanopyramid solar cells with conformal coating of PEDOT: PSS for improved light harvesting efficiency. Opt. Mater. 2020, 110, 110475. [Google Scholar] [CrossRef]
- Sachchidanand, D.P.S. Light-trapping strategy for PEDOT:PSS/c-Si nanopyramid based hybrid solar cells embedded with metallic nanoparticles. Sol. Energy 2019, 190, 278–285. [Google Scholar] [CrossRef]
- Xue, D.J.; Wang, J.J.; Wang, Y.Q.; Xin, S.; Guo, Y.G.; Wan, L.J. Facile synthesis of germanium nanocrystals and their application in organic–inorganic hybrid photodetectors. Adv. Mater. 2011, 23, 3704–3707. [Google Scholar] [CrossRef]
- Amollo, T.A.; Mola, G.T.; Nyamori, V.O. Improved short-circuit current density in bulk heterojunction solar cells with reduced graphene oxide-germanium dioxide nanocomposite in the photoactive layer. Mater. Chem. Phys. 2020, 254, 123448. [Google Scholar] [CrossRef]
- Chen, Z.; Chen, H.; Yin, J.; Zhang, R.; Jile, H.; Xu, D.; Yi, Z.; Zhou, Z.; Cai, S.; Yan, P. Multi-band, tunable, high figure of merit, high sensitivity single-layer patterned graphene—perfect absorber based on surface plasmon resonance. Diam. Relat. Mater. 2021, 116, 108393. [Google Scholar] [CrossRef]
- Chen, Z.; Chen, H.; Jile, H.; Xu, D.; Yi, Z.; Lei, Y.; Chen, X.; Zhou, Z.; Cai, S.; Li, G. Multi-band multi-tunable perfect plasmon absorber based on L-shaped and double-elliptical graphene stacks. Diam. Relat. Mater. 2021, 115, 108374. [Google Scholar] [CrossRef]
- Wang, Y.; Yi, Y.; Xu, D.; Yi, Z.; Li, Z.; Chen, X.; Jile, H.; Zhang, J.; Zeng, L.; Li, G. Terahertz tunable three band narrowband perfect absorber based on dirac semimetal. Phys. E Low-Dimens. Syst. Nanostruct. 2021, 131, 114750. [Google Scholar] [CrossRef]
- Zhang, Y.; Yi, Z.; Wang, X.; Chu, P.; Yao, W.; Zhou, Z.; Cheng, S.; Liu, Z.; Wu, P.; Pan, M.; et al. Dual band visible metamaterial absorbers based on four identical ring patches. Phys. E Low-Dimens. Syst. Nanostruct. 2021, 127, 114526. [Google Scholar] [CrossRef]
- Zhang, Z.H.; Cai, R.; Long, F.; Wang, J. Development and application of tetrabromobisphenol A imprinted electrochemical sensor based on graphene/carbon nanotubes three-dimensional nanocomposites modified carbon electrode. Talanta 2015, 134, 435–442. [Google Scholar] [CrossRef] [PubMed]
- Zhang, Z.; Liu, Z.; Zhou, F.; Wang, J.; Wang, Y.; Zhang, X.; Qin, Y.; Zhuo, S.; Luo, X.; Gao, E.; et al. Broadband plasmon-induced transparency modulator in the terahertz band based on multilayer graphene metamaterials. JOSA A 2021, 38, 784–789. [Google Scholar] [CrossRef] [PubMed]
- Zhang, X.; Liu, Z.; Zhang, Z.; Qin, Y.; Zhuo, S.; Luo, X.; Zhou, F.; Yi, Z.; Wang, J.; Wang, Y. Triple plasmon-induced transparency in graphene and metal metamaterials and its anomalous property. J. Phys. D Appl. Phys. 2021, 54, 284001. [Google Scholar] [CrossRef]
- Wang, Y.; Cui, W.; Ma, H.; Xu, H.; Yi, Z.; Cao, X.; Ren, X.; He, Z. Outstanding slow-light effect for graphene metasurface in terahertz. Results Phys. 2021, 23, 104002. [Google Scholar] [CrossRef]
- He, Z.; Li, L.; Cui, W.; Wang, Y.; Xue, W.; Xu, H.; Yi, Z.; Li, C.; Li, Z. Unidirectional reflectionless propagation of near-infrared light in resonator-assisted non-parity-time symmetric waveguides. New J. Phys. 2021, 23, 053015. [Google Scholar] [CrossRef]
- Liu, Z.; Zhang, X.; Zhou, F.; Luo, X.; Zhang, Z.; Qin, Y.; Zhuo, S.; Gao, E.; Li, H.; Yi, Z. Triple plasmon-induced transparency and optical switch desensitized to polarized light based on a mono-layer metamaterial. Opt. Express 2021, 29, 13949–13959. [Google Scholar] [CrossRef]
- Wang, X.X.; Zhu, J.K.; Xu, Y.Q.; Qi, Y.P.; Zhang, L.P.; Yang, H.; Yi, Z. A novel plasmonic refractive index sensor based on gold/silicon complementary grating structure. Chin. Phys. B 2021, 2, 024207. [Google Scholar] [CrossRef]
- Chang, K.F.; Chen, Y.C.; Chang, K.W.; Shellaiah, M.; Sun, K.W. Junction model and transport mechanism in hybrid PEDOT:PSS/n-GaAs solar cells. Org. Electron. 2017, 51, 435–441. [Google Scholar] [CrossRef]
- Han, G.; Zhang, S.; Boix, P.P.; Wong, L.H.; Sun, L.; Lien, S.Y. Towards high efficiency thin film solar cells. Prog. Mater. Sci. 2017, 87, 246–291. [Google Scholar] [CrossRef]
- Chen, L.; Wang, Q.K.; Shen, X.Q.; Chen, W.; Huang, K.; Liu, D.M. Absorption enhancement in thin film a-Si solar cells with double-sided SiO2 particle layers. Chin. Phys. B 2015, 24, 104201. [Google Scholar] [CrossRef]
- Nolasco, J.C.; Castro-Carranza, A.; León, Y.A.; Jurado, C.B.; Gutowski, J.; Parisi, J.; Hauff, E.V. Understanding the open circuit voltage in organic solar cells on the basis of a donor-acceptor abrupt (p-n++) heterojunction. Sol. Energy 2019, 184, 610–619. [Google Scholar] [CrossRef]
- Ge, S.B.; Liu, W.G.; Zhou, S.; Li, S.J.; Sun, X.P.; Huang, Y.T.; Yang, P.F.; Zhang, J.; Lin, D.B. design and preparation of a micro-pyramid structured thin film for broadband infrared antireflection. Coatings 2018, 8, 192. [Google Scholar] [CrossRef] [Green Version]
- Lin, X.; Li, Y.J.; Chen, F.T.; Xu, P.; Li, M. Facile synthesis of mesoporous titanium dioxide doped by Ag-coated graphene with enhanced visible-light photocatalytic performance for methylene blue degradation. RSC Adv. 2017, 7, 25314–25324. [Google Scholar]
- Long, F.; Zhang, Z.H.; Wang, J.; Yan, L.; Zhou, B.W. Cobalt-nickel bimetallic nanoparticles decorated graphene sensitized imprinted electrochemical sensor for determination of octylphenol. Electrochim. Acta 2015, 168, 337–345. [Google Scholar] [CrossRef]
- Yang, M.; Kong, Q.; Feng, W.; Yao, W. N/O double-doped biomass hard carbon material realizes fast and stable potassium ion storage. Carbon 2021, 176, 71–82. [Google Scholar] [CrossRef]
- Lv, P.P.; Xie, D.D.; Zhang, Z.H. Magnetic carbon dots based molecularly imprinted polymers for fluorescent detection of bovine hemoglobin. Talanta 2018, 188, 145–151. [Google Scholar] [CrossRef] [PubMed]
- Peng, J.; Khan, J.I.; Liu, W.; Ugur, E.; Duong, T.; Wu, Y.; Shen, H.; Wang, K.; Dang, H.; Aydin, E.; et al. A universal double-side passivation for high open-circuit voltage in perovskite solar cells: Role of carbonyl groups in poly(methyl methacrylate). Adv. Energy Mater. 2018, 8, 1801208. [Google Scholar] [CrossRef] [Green Version]
- Cai, L.; Zhang, Z.H.; Xiao, H.M.; Chen, S.; Fu, J.L. An eco-friendly imprinted polymer based on graphene quantum dots for fluorescent detection of p-nitroaniline. RSC Adv. 2019, 9, 41383–41391. [Google Scholar] [CrossRef] [Green Version]
- Ibrahim, M.L.I. The effect of injection barrier on the open-circuit voltage of organic photovoltaic cells. Mater. Today Proc. 2020, 29, 48–51. [Google Scholar] [CrossRef]









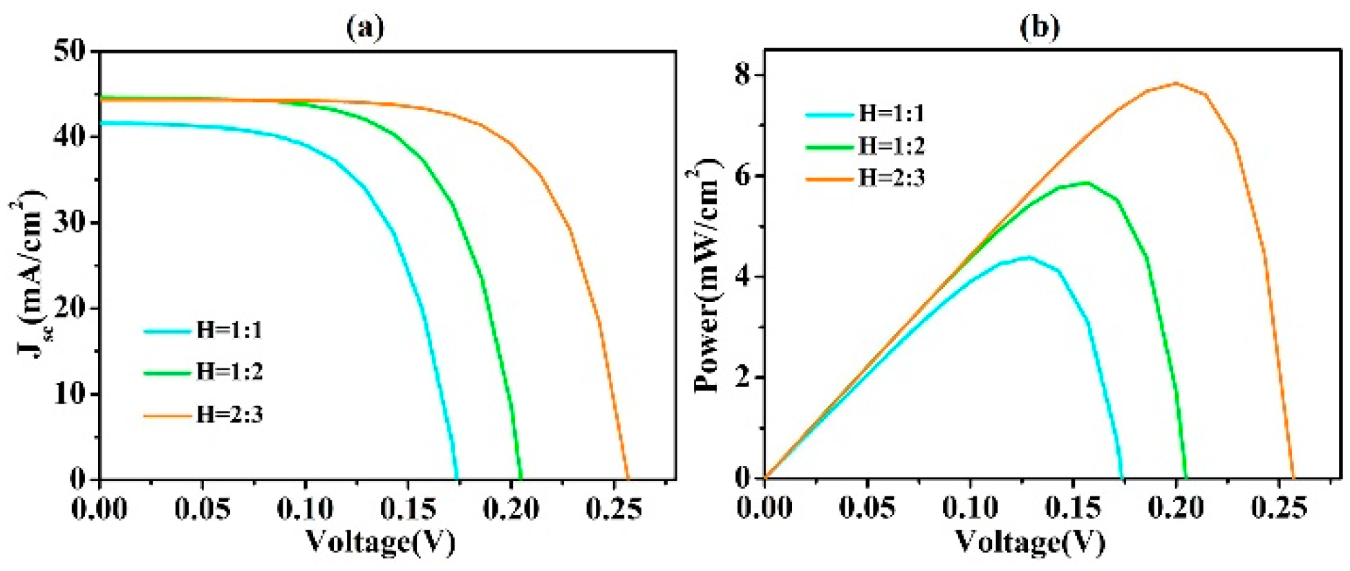
| H | VOC (V) | JSC (mA/cm2) | P (mW/cm2) | FF (%) | η (%) |
|---|---|---|---|---|---|
| 1:1 | 0.17 | 41.58 | 4.39 | 61% | 4.38 |
| 1:2 | 0.21 | 44.59 | 5.87 | 64% | 5.87 |
| 2:3 | 0.26 | 44.32 | 7.84 | 69% | 7.84 |
Publisher’s Note: MDPI stays neutral with regard to jurisdictional claims in published maps and institutional affiliations. |
© 2021 by the authors. Licensee MDPI, Basel, Switzerland. This article is an open access article distributed under the terms and conditions of the Creative Commons Attribution (CC BY) license (https://creativecommons.org/licenses/by/4.0/).
Share and Cite
Su, J.; Yang, H.; Xu, Y.; Tang, Y.; Yi, Z.; Zheng, F.; Zhao, F.; Liu, L.; Wu, P.; Li, H. Based on Ultrathin PEDOT:PSS/c-Ge Solar Cells Design and Their Photoelectric Performance. Coatings 2021, 11, 748. https://doi.org/10.3390/coatings11070748
Su J, Yang H, Xu Y, Tang Y, Yi Z, Zheng F, Zhao F, Liu L, Wu P, Li H. Based on Ultrathin PEDOT:PSS/c-Ge Solar Cells Design and Their Photoelectric Performance. Coatings. 2021; 11(7):748. https://doi.org/10.3390/coatings11070748
Chicago/Turabian StyleSu, Ju, Hua Yang, Yan Xu, Yijun Tang, Zao Yi, Fusheng Zheng, Fei Zhao, Li Liu, Pinghui Wu, and Hailiang Li. 2021. "Based on Ultrathin PEDOT:PSS/c-Ge Solar Cells Design and Their Photoelectric Performance" Coatings 11, no. 7: 748. https://doi.org/10.3390/coatings11070748
APA StyleSu, J., Yang, H., Xu, Y., Tang, Y., Yi, Z., Zheng, F., Zhao, F., Liu, L., Wu, P., & Li, H. (2021). Based on Ultrathin PEDOT:PSS/c-Ge Solar Cells Design and Their Photoelectric Performance. Coatings, 11(7), 748. https://doi.org/10.3390/coatings11070748

