Electrical Properties in Ta2NiSe5 Film and van der Waals Heterojunction
Abstract
:1. Introduction
2. Materials and Methods
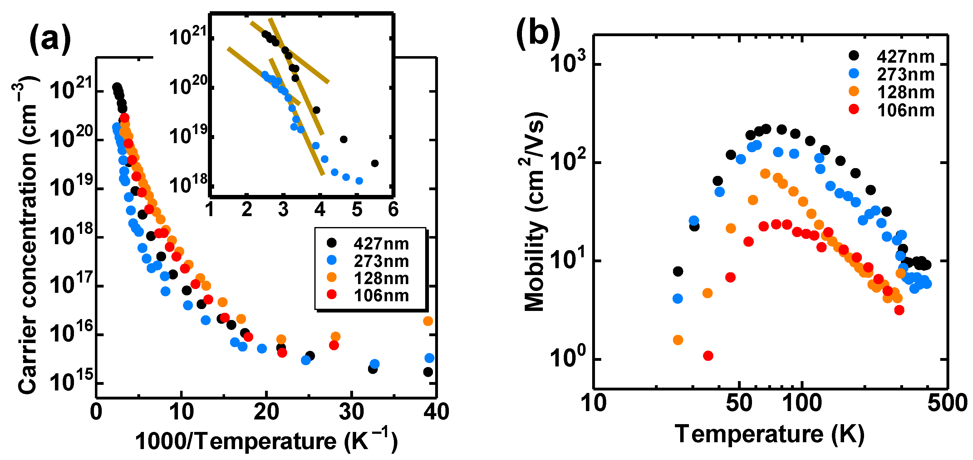
3. Results
4. Conclusions
Supplementary Materials
Author Contributions
Funding
Institutional Review Board Statement
Informed Consent Statement
Data Availability Statement
Acknowledgments
Conflicts of Interest
References
- Akinwande, D.; Huyghebaert, C.; Wang, C.-H.; Serna, M.I.; Goossens, S.; Li, L.-J.; Wong, H.-S.P.; Koppens, F.H.L. Graphene and two-dimensional materials for silicon technology. Nature 2019, 573, 507–518. [Google Scholar] [CrossRef] [PubMed]
- Zhang, E.; Wang, W.; Zhang, C.; Zhu, G.; Sun, Q.; Zhang, D.W.; Zhou, P.; Xiu, F. Tunable charge-trap memory based on few-layer MoS2. ACS Nano 2015, 9, 612–619. [Google Scholar] [CrossRef] [Green Version]
- Li, M.-Y.; Shi, Y.; Cheng, C.-C.; Lu, L.-S.; Lin, Y.-C.; Tang, H.-L.; Tsai, M.-L.; Chu, C.-W.; Wei, K.-H.; He, J.-H.; et al. Epitaxial growth of a monolayer WSe2-MoS2 lateral p-n junction with an atomically sharp interface. Science 2015, 349, 524–528. [Google Scholar] [CrossRef] [Green Version]
- Deng, W.; You, C.; Chen, X.; Wang, Y.; Li, Y.; Feng, B.; Shi, K.; Chen, Y.; Sun, L.; Zhang, Y. High-performance photodiode based on atomically thin WSe2/MoS2 nanoscroll integration. Small 2019, 15, 1901544. [Google Scholar] [CrossRef]
- Wang, J.; Jiang, Y.; Hu, Z. Dual-band and polarization-independent infrared absorber based on two-dimensional black phosphorus metamaterials. Opt. Express 2017, 25, 22149–22157. [Google Scholar] [CrossRef]
- Qiu, C.; Wu, J.; Zhu, R.; Shen, L.; Zheng, B. Dual band near-perfect metamaterial absorber based on cylinder MoS2-dielectric arrays for sensors. Opt. Commun. 2019, 451, 226–230. [Google Scholar] [CrossRef]
- Kenari, M.A. Printed planer patch antennas based on metamaterial. Int. J. Electron. Lett. 2013, 2, 37–42. [Google Scholar] [CrossRef]
- Kenari, M.A.; Virdee, B.S.; Limiti, E. Wideband planer array antenna based on SCRLH-TL for air borne synthetic aperture radar application. J. Electromagn. Waves Appl. 2018, 32, 1586–1599. [Google Scholar] [CrossRef]
- Althuwayb, A.A. Enhanced radiation gain and efficiency of a metamaterial-inspired wideband microstrip antenna using substrate integrated waveguide technology for sub-6 GHz wireless communication systems. Microw. Opt. Technol. Lett. 2021, 63, 1892–1898. [Google Scholar] [CrossRef]
- Das, S.; Robinson, J.A.; Dubey, M.; Terrones, H.; Terrones, M. Beyond graphene: Progress in Novel two-dimensional materials and van der waals solids. Annu. Rev. Mater. Res. 2015, 45, 1–27. [Google Scholar] [CrossRef]
- Kobayashi, Y.; Mori, S.; Maniwa, Y.; Miyata, Y. Bandgap-tunable lateral and vertical heterostructures based on monolayer Mo1-xWxS2 alloys. Nano Res. 2015, 8, 3261–3271. [Google Scholar] [CrossRef]
- Saito, Y.; Nojima, T.; Iwasa, Y. Highly crystalline 2D superconductors. Nat. Rev. Mater. 2017, 2, 16094. [Google Scholar] [CrossRef] [Green Version]
- Mak, K.F.; Shan, J.; Palph, D.C. Probing and controlling magnetic states in 2D layered magnetic materials. Nat. Rev. Phys. 2019, 1, 646–661. [Google Scholar] [CrossRef]
- Di Salvo, F.J.; Chen, C.H.; Fleming, R.M.; Waszczak, J.V.; Dunn, R.G.; Sunshine, S.A.; Ibers, J.A. Physical and structural properties of the new layered compounds Ta2NiS5 and Ta2NiSe5. J. Less Common Met. 1986, 116, 51–61. [Google Scholar] [CrossRef]
- Nakano, A.; Hasegawa, T.; Tamura, S.; Katayama, N.; Tsutsusi, S.; Sawa, H. Antiferroelectric distortion with anomalous phonon softening in the excitonic insulator Ta2NiSe5. Phys. Rev. B 2018, 98, 045139. [Google Scholar] [CrossRef] [Green Version]
- Wakisaka, Y.; Sudayama, T.; Takubo, K.; Mizokawa, T.; Arita, M.; Namatame, H.; Taniguchi, M.; Katayama, N.; Nohara, M.; Takagi, H. Excitonic insulator state in Ta2NiSe5 probed by photoemission spectroscopy. Phys. Rev. Lett. 2009, 103, 026402. [Google Scholar] [CrossRef] [PubMed]
- Nakano, A.; Nagai, T.; Katayama, N.; Sawa, H.; Taniguchi, H.; Terasaki, I. Exciton transport in the electron-hole system Ta2NiSe5. J. Phys. Soc. Jpn. 2019, 88, 113706. [Google Scholar] [CrossRef]
- Li, L.; Wang, W.; Gan, L.; Zhou, N.; Zhu, X.; Zhang, Q.; Li, H.; Tian, M.; Zhai, T. Ternary Ta2NiSe5 flakes for a high-performance infrared photodetector. Adv. Funct. Mater. 2016, 26, 8281–8289. [Google Scholar] [CrossRef]
- Qiao, J.; Feng, F.; Wang, Z.; Shen, M.; Zhang, G.; Yuan, X.; Somekh, M.G. Highly in-plane anisotropic two-dimensional ternary Ta2NiSe5 for polarization-sensitive photodetectors. ACS Appl. Mater. Interfaces 2021, 13, 17948–17956. [Google Scholar] [CrossRef] [PubMed]
- Kim, S.Y.; Kim, Y.; Kang, C.-J.; An, E.-S.; Kim, H.K.; Eom, M.J.; Lee, M.; Park, C.; Kim, T.-H.; Choi, H.C.; et al. Layer-confined excitonic insulating phase in ultrathin Ta2NiSe5 crystals. ACS Nano 2016, 10, 8888–8894. [Google Scholar] [CrossRef]
- Yan, J.; Xiao, R.; Luo, X.; Lv, H.; Zhang, R.; Sun, Y.; Tong, P.; Lu, W.; Song, W.; Zhu, X.; et al. Strong Electron-phonon coupling in the excitonic insulator Ta2NiSe5. Inorg. Chem. 2019, 58, 9036–9042. [Google Scholar] [CrossRef] [PubMed]
- Lu, Y.F.; Kono, H.; Larkin, T.I.; Rost, A.W.; Takayama, T.; Boris, A.V.; Keimer, B.; Takagi, H. Zero-gap semiconductor to excitonic insulator transition in Ta2NiSe5. Nat. Commun. 2017, 8, 14408. [Google Scholar] [CrossRef] [PubMed]
- Mao, J.; Shuai, J.; Song, S.; Wu, Y.; Dally, R.; Zhou, J.; Liu, Z.; Sun, J.; Zhang, Q.; dela Cruz, C.; et al. Manipulation of ionized impurity scattering for achieving high thermoelectric performance in n-type Mg3Sb2-based materials. Proc. Natl. Acad. Sci. USA 2017, 114, 10548–10553. [Google Scholar] [CrossRef] [Green Version]
- Wakafuji, Y.; Moriya, R.; Masubuchi, S.; Watanabe, K.; Taniguchi, T.; Machida, T. 3D manipulation of 2D materials using microdome polymer. Nano Lett. 2020, 20, 2486–2492. [Google Scholar] [CrossRef]
- Deng, Y.; Luo, Z.; Conrad, N.J.; Liu, H.; Gong, Y.; Najmaei, S.; Ajayan, P.M.; Lou, J.; Xu, X.; Ye, P.D. Black phosphorus-monolayer MoS2 van der Waals Heterojunction p-n diode. ACS Nano 2014, 8, 8292–8299. [Google Scholar] [CrossRef] [PubMed] [Green Version]
- Tan, C.; Yin, S.; Chen, J.; Lu, Y.; Wei, W.; Du, H.; Liu, K.; Wang, F.; Zhai, T.; Li, L. Broken-Gap PtS2/WSe2 van der Waals Heterojunction with Ultrahigh Reverse Rectification and Fast Photoresponse. ACS Nano 2021, 15, 8328–8337. [Google Scholar] [CrossRef]
- Jeong, H.; Bang, S.; Oh, H.M.; Jeong, H.J.; An, S.-J.; Han, G.H.; Kim, H.; Kim, K.K.; Park, J.C.; Lee, Y.H.; et al. Semiconductor-insulator-semiconductor diode consisting of monolayer MoS, h-BN, and GaN heterostructure. ACS Nano 2015, 9, 10032–10038. [Google Scholar] [CrossRef] [PubMed]




Publisher’s Note: MDPI stays neutral with regard to jurisdictional claims in published maps and institutional affiliations. |
© 2021 by the authors. Licensee MDPI, Basel, Switzerland. This article is an open access article distributed under the terms and conditions of the Creative Commons Attribution (CC BY) license (https://creativecommons.org/licenses/by/4.0/).
Share and Cite
Fukai, M.; Urakami, N.; Hashimoto, Y. Electrical Properties in Ta2NiSe5 Film and van der Waals Heterojunction. Coatings 2021, 11, 1485. https://doi.org/10.3390/coatings11121485
Fukai M, Urakami N, Hashimoto Y. Electrical Properties in Ta2NiSe5 Film and van der Waals Heterojunction. Coatings. 2021; 11(12):1485. https://doi.org/10.3390/coatings11121485
Chicago/Turabian StyleFukai, Masaya, Noriyuki Urakami, and Yoshio Hashimoto. 2021. "Electrical Properties in Ta2NiSe5 Film and van der Waals Heterojunction" Coatings 11, no. 12: 1485. https://doi.org/10.3390/coatings11121485
APA StyleFukai, M., Urakami, N., & Hashimoto, Y. (2021). Electrical Properties in Ta2NiSe5 Film and van der Waals Heterojunction. Coatings, 11(12), 1485. https://doi.org/10.3390/coatings11121485

