Proximity-Induced Magnetism in a Topological Insulator/Half-Metallic Ferromagnetic Thin Film Heterostructure
Abstract
:1. Introduction
2. Experimental
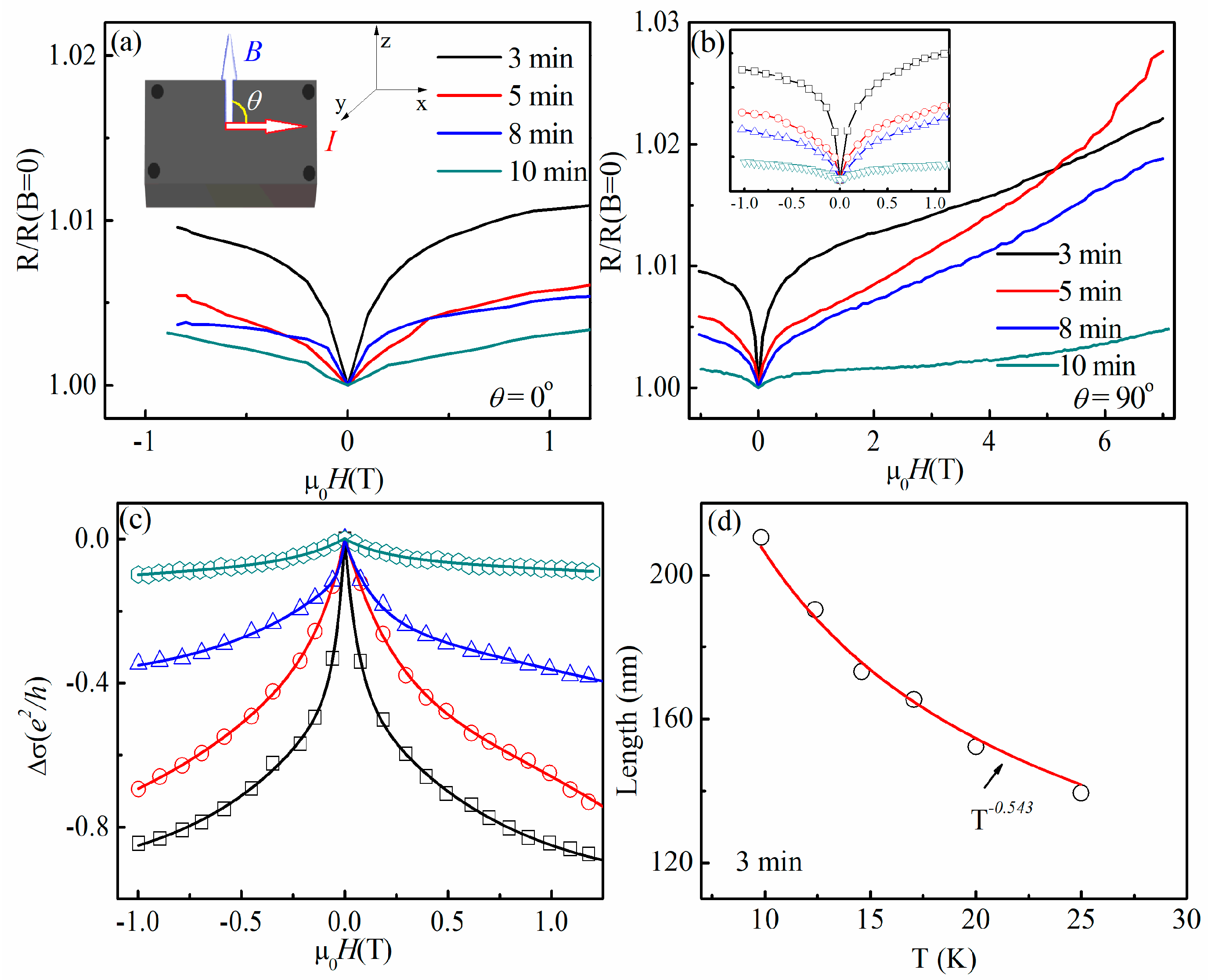
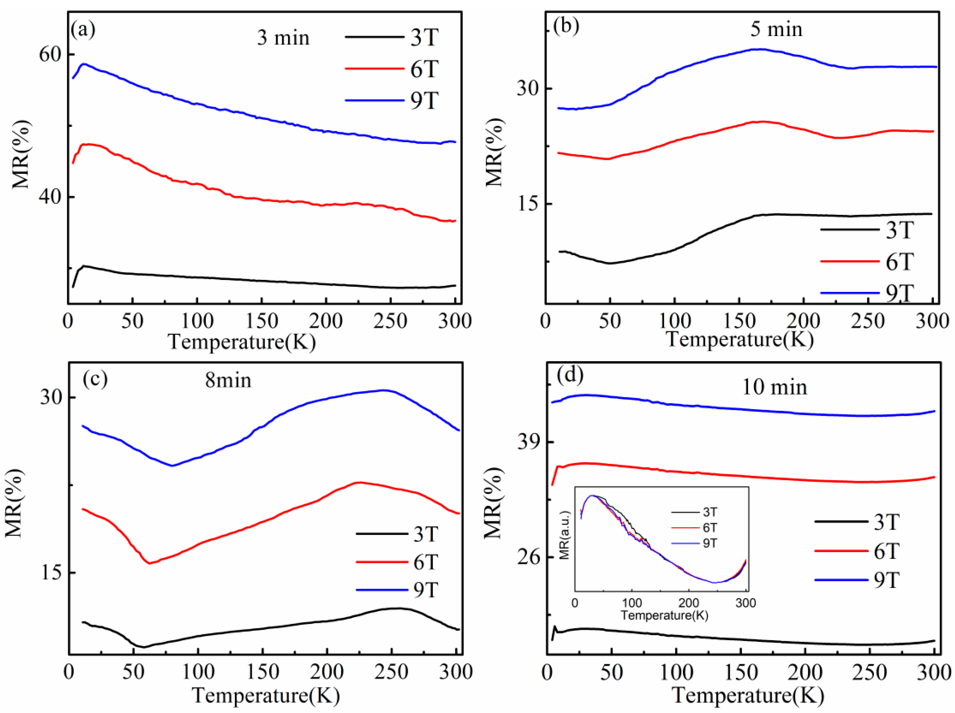
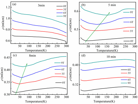
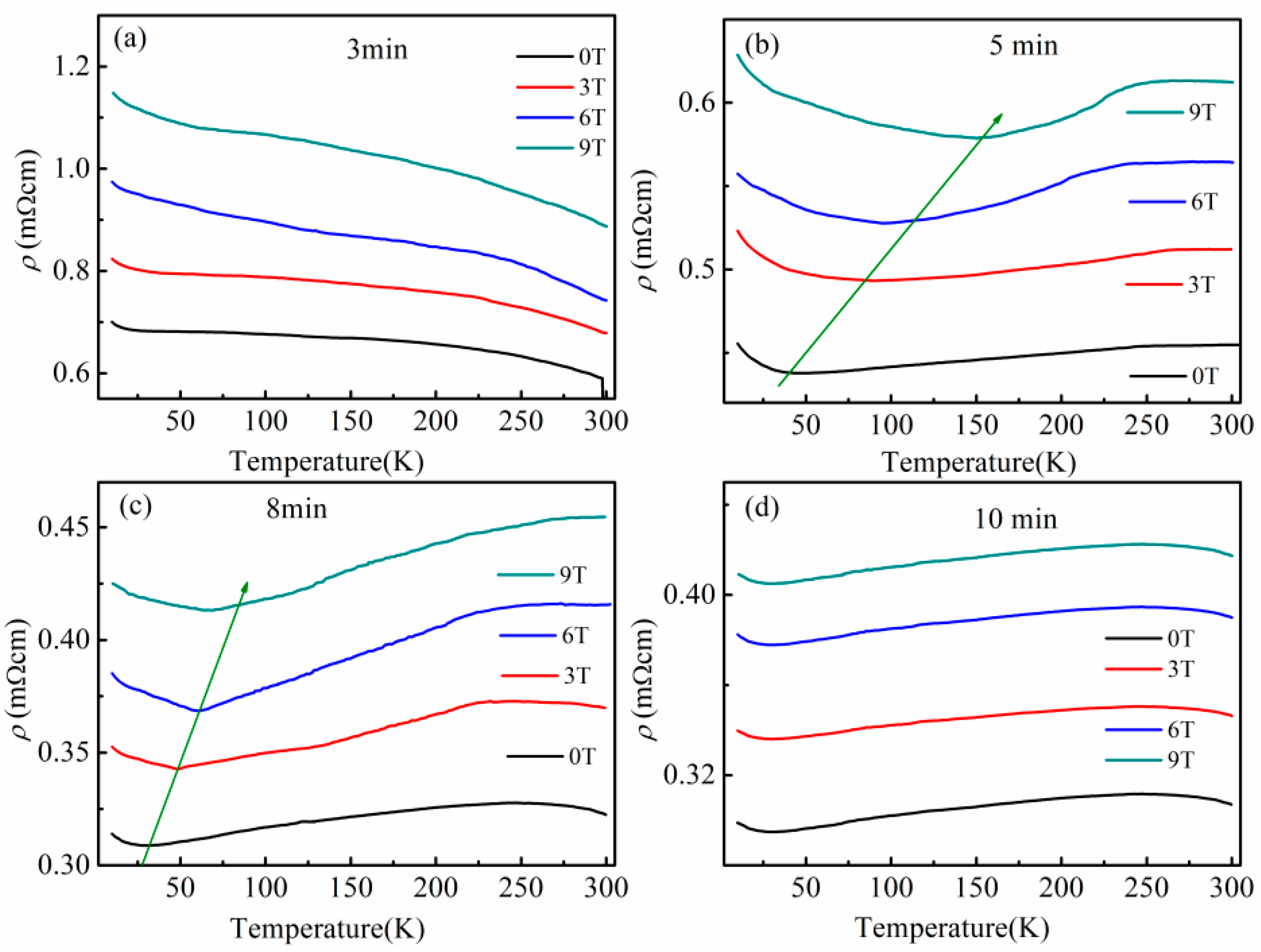
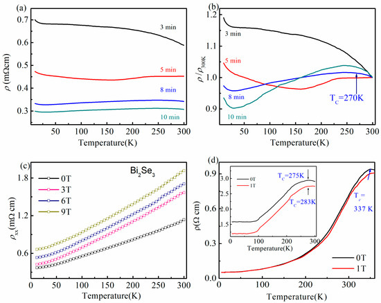
3. Results and Discussion
4. Conclusions
Author Contributions
Funding
Institutional Review Board Statement
Informed Consent Statement
Data Availability Statement
Conflicts of Interest
References
- Xia, Y.; Qian, D.; Hsieh, D.; Wray, L.; Pal, A.; Lin, H.; Bansil, A.; Grauer, D.; Hor, Y.S.; Cava, R.J.; et al. Discovery (theoretical prediction and experimental observation) of a large-gap topological-insulator class with spin-polarized single-Dirac-cone on the surface. Nat. Phys. 2009, 5, 398–402. [Google Scholar] [CrossRef] [Green Version]
- Chang, C.Z.; Zhang, J.S.; Feng, X.; Shen, J.; Zhang, Z.C.; Guo, M.H.; Li, K.; Ou, Y.B.; Wei, P.; Wang, L.L.; et al. Experimental Observation of the Quantum Anomalous Hall Effect in a Magnetic Topological Insulator. Science 2013, 340, 167–170. [Google Scholar] [CrossRef] [PubMed] [Green Version]
- Qi, X.L.; Zhang, S.C. The quantum spin Hall effect and topological insulators. Phys. Today 2010, 63, 33–38. [Google Scholar] [CrossRef] [Green Version]
- Wang, M.X.; Liu, C.; Xu, J.P.; Fang, Y.; Lin, M.; Yao, M.Y.; Gao, C.L.; Shen, C.Y.; Ma, X.C.; Chen, X.; et al. The coexistence of superconductivity and topological order in the Bi2Se3 thin films. Science 2012, 336, 52–55. [Google Scholar] [CrossRef]
- Chang, C.Z.; Wei, P.; Moodera, J.S. Breaking time reversal symmetry in topological insulators. MRS Bull. 2014, 39, 867–872. [Google Scholar] [CrossRef] [Green Version]
- Li, M.D.; Cui, W.P.; Yu, J.; Dai, Z.Y.; Wang, Z.; Katmis, F.; Guo, W.L.; Moodera, J. Magnetic proximity effect and interlayer exchange coupling of ferromagnetic/topological insulator/ferromagnetic trilayer. Phys. Rev. B 2015, 91, 014427. [Google Scholar] [CrossRef] [Green Version]
- Zheng, G.L.; Wang, N.; Yang, J.Y.; Wang, W.K.; Du, H.F.; Ning, W.; Yang, Z.R.; Lu, H.Z.; Zhang, Y.H.; Tian, M.L. Weak localization effect in topological insulator micro flakes grown on insulating ferrimagnet BaFe12O19. Sci. Rep. 2016, 6, 21334. [Google Scholar] [CrossRef] [Green Version]
- Zhang, Z.; Feng, X.; Wang, J.; Lian, B.; Zhang, J.; Chang, C.; Guo, M.; Ou, Y.; Feng, Y.; Zhang, S.C.; et al. Magnetic quantum phase transition in Cr-doped Bi2(SexTe1−x)3 driven by the Stark effect. Nat. Nanotechnol. 2017, 12, 953–957. [Google Scholar] [CrossRef] [Green Version]
- Wei, P.; Katmis, F.; Assaf, B.A.; Steinberg, H.; Herrero, P.J.; Heiman, D.; Moodera, J.S. Exchange-Coupling-Induced Symmetry Breaking in Topological Insulators. Phys. Rev. Lett. 2013, 110, 186807. [Google Scholar] [CrossRef]
- Zhang, M.; Liu, L.G.; Yang, H. Anomalous second ferromagnetic phase transition in Co0.08Bi1.92Se3 topological insulator. J. Alloy. Compd. 2016, 678, 463–467. [Google Scholar] [CrossRef]
- Yang, Q.I.; Dolev, M.; Zhang, L.; Zhao, J.F.; Fried, A.D.; Schemm, E.; Liu, M.; Palevski, A.; Marshall, A.F.; Risbud, S.H.; et al. Emerging Weak Localization Effects on Topological Insulator-Insulating Ferromagnet Bi2Se3-EuS Interface. Phys. Rev. B 2013, 88, 081407. [Google Scholar] [CrossRef] [Green Version]
- Liu, W.Q.; He, L.; Zhou, Y.; Murata, K.; Onbasli, M.C.; Ross, C.A.; Jiang, Y.; Wang, Y.; Xu, Y.B.; Zhang, R.; et al. Evidence for ferromagnetic coupling at the doped topological insulator/ferrimagnetic insulator interface. AIP Adv. 2016, 6, 055813. [Google Scholar] [CrossRef] [Green Version]
- Hu, Y. Prediction of reentering and switching ferromagnet/antiferromagnet exchange bias by antiferromagnetic proximity effect. Nanotechnology 2019, 30, 025708. [Google Scholar] [CrossRef] [PubMed]
- Casas, O.E.; Arrachea, L.; Herrera, W.J.; Yeyati, A.L. Proximity Induced Time-Reversal Topological Superconductivity in Bi2Se3 Films without Phase Tuning. Phys. Rev. B 2019, 99, 161301. [Google Scholar] [CrossRef] [Green Version]
- Dai, W.Q.; Richardella, A.; Du, R.Z.; Zhao, W.W.; Liu, X.; Liu, C.X.; Huang, S.H.; Sankar, R.; Chou, F.C.; Samarth, N.; et al. Proximity-Effect-Induced Superconducting Gap in Topological Surface States-A Point Contact Spectroscopy Study of NbSe2/Bi2Se3 Superconductor-Topological Insulator Heterostructures. Sci. Rep. 2017, 7, 7631. [Google Scholar] [CrossRef] [Green Version]
- Dmytro, P.; MacDonald, A.H. Spintronics and Pseudospintronics in Graphene and Topological Insulators. Nat. Mater. 2012, 11, 409–416. [Google Scholar]
- Lang, M.R.; Montazeri, M.; Onbasli, M.C.; Kou, X.F.; Fan, Y.B.; Upadhyaya, P.; Yao, K.Y.; Liu, F.; Jiang, Y.; Jiang, W.J.; et al. Proximity Induced High-Temperature Magnetic Order in Topological Insulator-Ferrimagnetic Insulator Heterostructure. Nano Lett. 2014, 14, 3459–3465. [Google Scholar] [CrossRef]
- Eremeev, S.V.; Otrokov, M.M.; Chulkov, E.V. New universal type of interface in the magnetic insulator/topological insulator heterostructures. Nano Lett. 2018, 18, 6521–6529. [Google Scholar] [CrossRef]
- Zhu, S.N.; Meng, D.C.; Liang, G.H.; Shi, G.; Zhao, P.; Cheng, P.; Li, Y.Q.; Zhai, X.F.; Lu, Y.L.; Chen, L.; et al. Proximity-Induced Magnetism and an Anomalous Hall Effect in Bi2Se3/LaCoO3: A Topological Insulator/Ferromagnetic Insulator Thin Film Heterostructure. Nanoscale 2018, 10, 10041–10049. [Google Scholar] [CrossRef]
- Kandala, A.; Richardella, A.; Rench, D.W.; Zhang, D.M.; Flanagan, T.C.; Samarth, N. Growth and Characterization of Hybrid Insulating Ferromagnet-Topological Insulator Heterostructure Devices. Appl. Phys. Lett. 2013, 103, 202409. [Google Scholar] [CrossRef] [Green Version]
- Haghiri-Gosnet, A.M.; Renard, J.P. CMR manganites: Physics, thin films and devices. J. Phys. D Appl. Phys. 2003, 36, R127. [Google Scholar] [CrossRef]
- Zhao, X.; Wong, H.F.; Liu, Y.K.; Ng, S.M.; Cheng, W.F.; Mak, C.L.; Leung, C.W. Exchange bias effect in epitaxial La0.35Sr0.65MnO3/La0.7Sr0.3MnO3 bilayers: Impact of antiferromagnet growth conditions. Vacuum 2020, 175, 109280. [Google Scholar] [CrossRef]
- Mlack, J.T.; Rahman, A.; Johns, G.L.; Livi, K.J.T.; Marković, N. Substrate-independent catalyst-free synthesis of high-purity Bi2Se3 nanostructures. Appl. Phys. Lett. 2013, 102, 193108. [Google Scholar] [CrossRef] [Green Version]
- Liu, Q.; Zhang, M.; Song, T. Transport properties of La0.7Sr0.3MnO3/Si thin films grown by polymer-assisted chemical solution deposition. J. Synth. Cryst. 2017, 46, 621–626. [Google Scholar] [CrossRef]
- Vicente, C.P.; Tirado, J.L.; Adouby, K.; Jumas, J.C.; Touré, A.A.; Kra, G. X-ray Diffraction and 119Sn Mössbauer Spectroscopy Study of a New Phase in the Bi2Se3−SnSe System: SnBi4Se7. Inorg. Chem. 1999, 38, 2131–2135. [Google Scholar] [CrossRef]
- Richardella, A.; Zhang, D.M.; Lee, J.S.; Koser, A.; Rench, D.W.; Yeats, A.L.; Buckley, B.B.; Awschalom, D.D.; Samarth, N. Coherent heteroepitaxy of Bi2Se3 on GaAs (111) B. Appl. Phys. Lett. 2010, 97, 262104. [Google Scholar] [CrossRef]
- Xie, M.H.; Seutter, S.M.; Zhu, W.K.; Zheng, L.X.; Wu, H.; Tong, S.Y. Anisotropic Step-Flow Growth and Island Growth of GaN(0001) by Molecular Beam Epitaxy. Phys. Rev. Lett. 1999, 82, 2749. [Google Scholar] [CrossRef] [Green Version]
- Greczynski, G.; Hultman, L. Reliable determination of chemical state in X-ray photoelectron spectroscopy based on sample-work-function referencing to adventitious carbon: Resolving the myth of apparent constant binding energy of the C 1s peak. Appl. Sur. Sci. 2018, 451, 99–103. [Google Scholar] [CrossRef]
- Liang, H.; Xiu, F.; Wang, Y.; Fedorov, A.V.; Huang, G.; Kou, X.; Lang, M.; Beyermann, W.P.; Zou, J.; Wang, K.L. Epitaxial growth of Bi2Se3 topological insulator thin films on Si (111). J. Appl. Phys. 2011, 109, 103702. [Google Scholar]
- Kordyuk, A.A.; Kim, T.K.; Zabolotnyy, V.B.; Evtushinsky, D.V.; Bauch, M.; Hess, C.; Buchner, B.; Berger, H.; Borisenko, S.V. Photoemission-induced gating of topological insulators. Phys. Rev. B 2011, 83, 081303(R). [Google Scholar] [CrossRef] [Green Version]
- Huang, H.; Li, Y.; Qi, L.; Li, B.; Song, Z.; Huang, W.; Zhao, C.; Zhang, H.; Wen, S.; Carroll, D.; et al. Field electron emission of layered Bi2Se3 nanosheets with atom-thick sharp edges. Nanoscale 2014, 6, 8306–8310. [Google Scholar] [CrossRef] [PubMed]
- Edmonds, M.T.; Hellerstedt, J.T.; Tadich, A.; Schenk, A.; O’Donnell, K.M.; Tosado, J.; Butch, N.P.; Syers, P.; Paglione, J.; Fuhrer, M.S. Stability and Surface Reconstruction of Topological Insulator Bi2Se3 on Exposure to Atmosphere. J. Phys. Chem. C 2014, 118, 20413–20419. [Google Scholar] [CrossRef]
- Zhu, H.; Zhou, W.; Yarmoff, J.A. Cs adsorption on Bi2Se. Surf. Sci. 2019, 683, 17–22. [Google Scholar] [CrossRef]
- Zhang, M.; Wei, Z.; Jin, R.; Jia, Y.; Yan, Y.; Pu, X.; Yang, X.; Zhao, Y. Electrical transport properties and morphology of topological insulator Bi2Se3 thin films with different thickness prepared by magnetron sputtering. Thin Solid Film. 2016, 603, 289–293. [Google Scholar] [CrossRef]
- Li, M.Z.; Wang, Z.H.; Yang, L.; Pan, D.S.; Li, D.; Gao, X.P.; Zhang, Z.D. Growth and quantum transport properties of vertical Bi2Se3 nanoplate films on Si substrates. Nanotechnology 2018, 29, 315706. [Google Scholar] [CrossRef] [PubMed]
- Liu, M.H.; Chang, C.Z.; Zhang, Z.C.; Zhang, Y.; Ruan, W.; He, K.; Wang, L.L.; Chen, X.; Jia, J.F.; Zhang, S.C.; et al. Electron interaction-driven insulating ground state in Bi2Se3 topological insulators in the two-dimensional limit. Phys. Rev. B 2011, 83, 165440. [Google Scholar] [CrossRef] [Green Version]
- Chen, Y.L.; Chu, J.; Analytis, J.; Liu, Z.K.; Igarashi, K.; Kuo, H.; Qi, X.L.; Mo, S.K.; Moore, R.G.; Lu, D.H.; et al. Massive Dirac fermion on the surface of a magnetically doped topological insulator. Science 2010, 329, 659–662. [Google Scholar] [CrossRef] [Green Version]
- Lv, L.; Zhang, M.; Wei, Z.T.; Yang, L.Q.; Yang, X.S.; Zhao, Y. Enhanced contribution of surface state and modification of magnetoresistance in FexBi2-xSe3 topological insulator crystals. J. Appl. Phys. 2013, 113, 043923. [Google Scholar] [CrossRef]
- Borchmann, J.; Peregbarnea, T. Analytic expression for the entanglement entropy of a two-dimensional topological superconductor. Phys. Rev. B 2017, 95, 075152. [Google Scholar] [CrossRef] [Green Version]
- Yang, X.S.; Zhao, T.; Liu, Q.Y.; Zhao, K.; Wei, Z.T.; Zhao, Y. Transport properties for Bi2Se3/La0.7Sr0.3MnO3 composites. Ceram. Int. 2020, 46, 4748–4753. [Google Scholar] [CrossRef]
- Salamon, M.B.; Jaime, M. The physics of manganites: Structure and transport. Rev. Mod. Phys. 2001, 73, 583–628. [Google Scholar] [CrossRef]
- Lin, J.G.; Cheng, S.; Chang, C.; Xing, D.Y. Supercouducting and transport properties of YBa2Cu3O7/La0.7Sr0.3MnO3 bilayers. J. Appl. Phys. 2005, 98, 023910. [Google Scholar] [CrossRef]
- Liu, S.M.; Zhu, X.B.; Yang, J.; Song, W.H.; Dai, J.M.; Sun, Y.P. The effect of grain boundary on the properties of La0.7Sr0.3MnO3 thin films prepared by chemical solution deposition. Ceram. Int. 2006, 32, 157–162. [Google Scholar] [CrossRef]
- Lin, Y.B.; Huang, Z.G.; Yang, Y.M.; Wang, S.; Li, S.D.; Zhang, F.M.; Du, Y.W. Giant positive magnetoresistance in heterostructure (La0.7Sr0.3MnO3) coated with YBa2Cu3O7 composites. Appl. Phys. A 2011, 104, 143–147. [Google Scholar] [CrossRef]
- Habermeier, H.U. Ferromagnet-superconductor interfaces: The length scales of interactions. J. Phys. Conf. Ser. 2008, 108, 012039. [Google Scholar] [CrossRef]
- Tang, H.; Liang, D.; Qiu, R.L.J.; Gao, X.P.A. Two-Dimensional Transport-Induced Linear Magneto-Resistance in Topological Insulator Bi2Se3 Nanoribbons. ACS Nano 2011, 5, 7510–7516. [Google Scholar] [CrossRef] [Green Version]
- Checkelsky, J.G.; Hor, Y.S.; Liu, M.H.; Qu, D.X.; Cava, R.J.; Ong, N.P. Quantum interference in macroscopic crystals of nonmetallic Bi2Se3. Phys. Rev. Lett. 2009, 103, 246601. [Google Scholar] [CrossRef]
- Hattacharyya, B.; Sharma, A.; Sinha, B.B.; Shah, K.; Jejurikar, S.M.; Senguttuvan, T.D.; Husale, S. Evidence of Robust 2D Transport and Efros-Shklovskii Variable Range Hopping in Disordered Topological Insulator (Bi2Se3) Nanowires. Sci. Rep. 2017, 7, 7825. [Google Scholar] [CrossRef]
- He, H.T.; Wang, G.; Zhang, T.; Sou, I.K.; Wong, G.K.L.; Wang, J.N.; Lu, H.Z.; Shen, S.Q.; Zhang, F.C. Impurity Effect on Weak Antilocalization in the Topological Insulator Bi2Te3. Phys. Rev. Lett. 2011, 106, 166805. [Google Scholar] [CrossRef] [Green Version]
- Hikami, S.; Larkin, A.I.; Nagaoka, Y. Spin-Orbit Interaction and Magnetoresistance in the two Dimensional Random System. Prog. Theor. Phys. 1980, 63, 707–710. [Google Scholar] [CrossRef]
- Lee, Y.F.; Kumar, R.; Hunte, F.; Narayan, J.; Schwartz, J. Microstructure and transport properties of epitaxial topological insulator Bi2Se3 thin films grown on MgO (100), Cr2O3 (0001), and Al2O3 (0001) templates. J. Appl. Phys. 2015, 118, 125309. [Google Scholar] [CrossRef]
- Steinberg, H.; Laloë, J.B.; Fatemi, V.; Moodera, J.S.; Herrero, P.J. Electrically tunable surface-to-bulk coherent coupling in topological insulator thin films. Phys. Rev. B 2011, 84, 233101. [Google Scholar] [CrossRef] [Green Version]
- Yong, S.K.; Brahlek, M.; Bansal, N.; Edrey, E.; Kapilevich, G.A.; Iida, K.; Tanimura, M.; Horibe, Y.; Cheong, S.W.; Oh, S. Thickness-dependent bulk properties and weak antilocalization effect in topological insulator Bi2Se3. Phys. Rev. B 2011, 84, 073109. [Google Scholar]
- Altshuler, B.L.; Aronov, A.G.; Khmelnitskii, D.E. Effects of electron-electron collisions with small energy transfers on quantum localization. J. Phys. C Solid State Phys. 1982, 15, 7367. [Google Scholar] [CrossRef]
- Che, X.Y.; Murata, K.; Pan, L.; He, Q.L.; Yu, G.Q.; Shao, Q.M.; Yin, G.; Deng, P.; Fan, Y.B.; Ma, B.; et al. Proximity-Induced Magnetic Order in a Transferred Topological Insulator Thin Film on a Magnetic Insulator. ACS Nano 2018, 12, 5042–5050. [Google Scholar] [CrossRef] [PubMed]
- Li, H.; Song, Y.R.; Yao, M.Y.; Zhu, F.; Liu, C.; Gao, C.L.; Jia, J.F.; Qian, D.; Yao, X.; Shi, Y.J.; et al. Carrier density dependence of the magnetic properties in iron-doped Bi2Se3 topological insulator. J. Appl. Phys. 2013, 113, 043926. [Google Scholar] [CrossRef] [Green Version]
- Manna, P.K.; Yusuf, S.M. Two interface effects: Exchange bias and magnetic proximity. Phys. Rep. 2014, 535, 61–69. [Google Scholar] [CrossRef]
- Katmis, F.; Lauter, V.; Nogueira, F.S.; Assaf, B.A.; Jamer, M.E.; Wei, P.; Satpati, B.; Freeland, J.W.; Eremin, I.; Heiman, D.; et al. A high-temperature ferromagnetic topological insulating phase by proximity coupling. Nature 2016, 533, 513–516. [Google Scholar] [CrossRef]
- Men’shov, V.N.; Tugushev, V.V.; Eremeev, S.V.; Echenique, P.M.; Chulkov, E.V. Magnetic proximity effect in the three-dimensional topological insulator/ferromagnetic insulator heterostructure. Phys. Rev. B 2013, 88, 224401. [Google Scholar] [CrossRef] [Green Version]








| Deposition Time (min) | Thickness (nm) | The EDX Results (at.%) | ||
|---|---|---|---|---|
| Bi | Se | Se/Bi | ||
| 3 | 53 | 40.80 | 59.20 | 1.45 |
| 5 | 210 | 41.21 | 58.84 | 1.43 |
| 8 | 552 | 40.29 | 59.32 | 1.47 |
| 10 | 710 | 41.14 | 59.45 | 1.44 |
| Bi2Se3 Films with Different Deposition Times | Lϕ (nm) | α |
|---|---|---|
| t = 3 min | 210 | −0.37 |
| t = 5 min | 255 | −0.43 |
| t = 8 min | 404 | −0.61 |
| t = 10 min | 517 | −0.69 |
Publisher’s Note: MDPI stays neutral with regard to jurisdictional claims in published maps and institutional affiliations. |
© 2022 by the authors. Licensee MDPI, Basel, Switzerland. This article is an open access article distributed under the terms and conditions of the Creative Commons Attribution (CC BY) license (https://creativecommons.org/licenses/by/4.0/).
Share and Cite
Zhang, M.; Liu, Q.; Liu, L.; Zeng, T. Proximity-Induced Magnetism in a Topological Insulator/Half-Metallic Ferromagnetic Thin Film Heterostructure. Coatings 2022, 12, 750. https://doi.org/10.3390/coatings12060750
Zhang M, Liu Q, Liu L, Zeng T. Proximity-Induced Magnetism in a Topological Insulator/Half-Metallic Ferromagnetic Thin Film Heterostructure. Coatings. 2022; 12(6):750. https://doi.org/10.3390/coatings12060750
Chicago/Turabian StyleZhang, Min, Qiya Liu, Ligang Liu, and Tixian Zeng. 2022. "Proximity-Induced Magnetism in a Topological Insulator/Half-Metallic Ferromagnetic Thin Film Heterostructure" Coatings 12, no. 6: 750. https://doi.org/10.3390/coatings12060750
APA StyleZhang, M., Liu, Q., Liu, L., & Zeng, T. (2022). Proximity-Induced Magnetism in a Topological Insulator/Half-Metallic Ferromagnetic Thin Film Heterostructure. Coatings, 12(6), 750. https://doi.org/10.3390/coatings12060750
