Significance of Synthetic Cilia and Arrhenius Energy on Double Diffusive Stream of Radiated Hybrid Nanofluid in Microfluidic Pump under Ohmic Heating: An Entropic Analysis
Abstract
:1. Introduction
- (i)
- Examine the entropic features of radiated hybrid type nanofluid transport that will be first time deliberated in electroosmotic pump with its electrically charged surface shielded with fabricated cilia
- (ii)
- Double diffusion effects on Cu-CuO/Casson nanofluid transport with the provision of activation energy input.
- (iii)
- Further, the entropy is supposed to be caused by the heat transfer due the radiation, Joule heating, mass and heat transfer, and viscous irreversibilities; and
- (iv)
- Establish optimal geometry of microfluidic pump for effective flow and minimum entropy generation rate. To the best of authors’ comprehension such study has not been conducted earlier.
2. Problem Statement
3. Solution
4. Entropy Analysis
5. Results and Discussion
5.1. Axial Velocity Profile
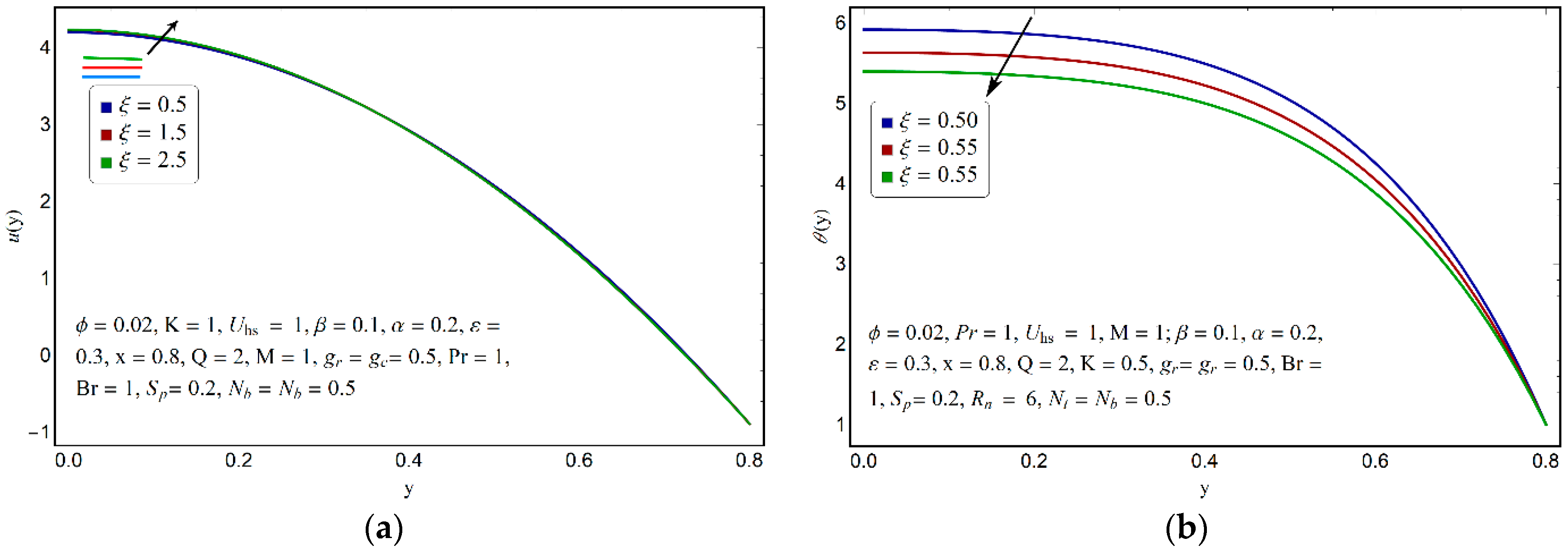
5.2. Effect of Electroosmosis Parameter
5.3. Effect of Casson Fluid Parameter
5.4. Effects Thermal Radiation Number
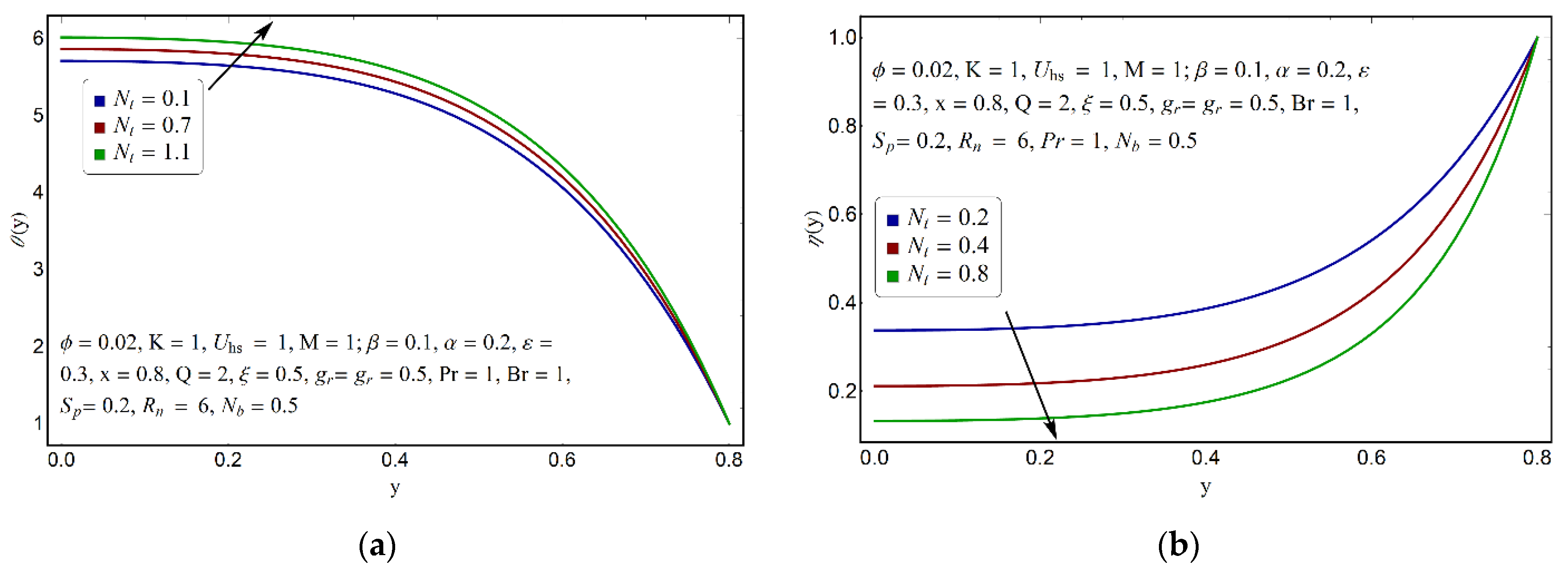
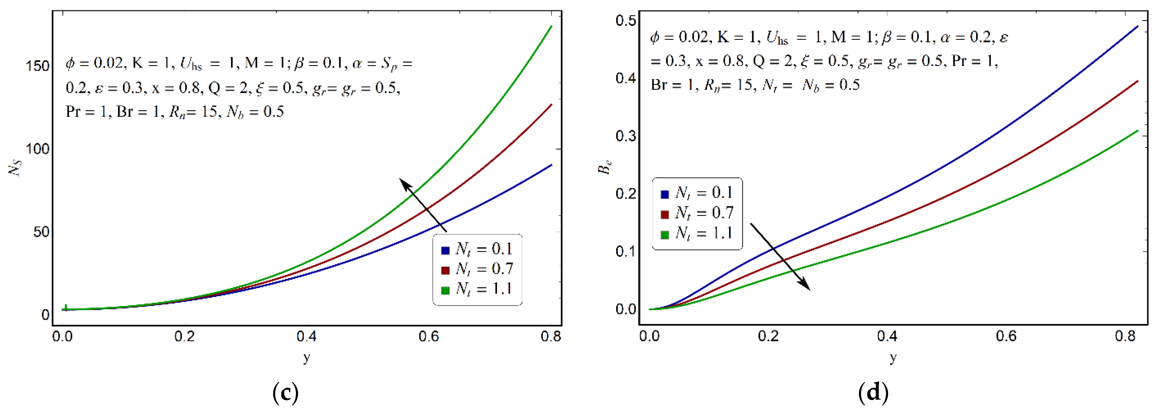
5.5. Effects of Thermophoresis Parameter
5.6. The Effects Brownian Motion Parameters
5.7. Effects of Joule Heating Parameters
5.8. Effects of Activation Energy Parameter
6. Conclusions
Author Contributions
Funding
Institutional Review Board Statement
Informed Consent Statement
Data Availability Statement
Conflicts of Interest
References
- Knowles, M.R.; Boucher, R.C. Mucus clearance as a primary innate defense mechanism for mammalian airways. J. Clin. Investig. 2002, 109, 571–577. [Google Scholar] [CrossRef] [PubMed]
- Kindblom, L.G.; Remotti, H.E.; Aldenborg, F.; Meis-Kindblom, J.M. Gastrointestinal pacemaker cell tumor (GIPACT): Gastrointestinal stromal tumors show phenotypic characteristics of the interstitial cells of Cajal. Am. J. Pathol. 1998, 152, 1259–1269. [Google Scholar]
- Wijayagunawardane, M.P.B.; Miyamoto, A. Tumor Necrosis Factor. ALPHA. System in the Bovine Oviduct: A Possible Mechanism for Embryo Transport. J. Reprod. Dev. 2004, 50, 57–62. [Google Scholar] [CrossRef] [Green Version]
- Ashraf, M.; Saddiqui, A.M.; Rana, M.A. Fallopian tube assessment of the peristaltic-ciliary flow of a linearly viscous fluid in a finite narrow tube. Appl. Math. Mech. Engl. Ed. 2018, 39, 437–454. [Google Scholar] [CrossRef]
- Park, M.S.; Hee, J.J.; Lee, H.J. Roles of Primary Cilia in the Developing Brain. Front. Cell Neurosci. 2019, 13, 218. [Google Scholar] [CrossRef] [PubMed] [Green Version]
- Lukens, S.; Yang, X.; Fauci, L. Using Lagrangian coherent structures to analyze fluid mixing by cilia. Chaos 2010, 20, 017511. [Google Scholar] [CrossRef] [PubMed]
- Saleem, N.; Munawar, S. Entropy analysis in cilia driven pumping flow of hyperbolic tangent fluid with magnetic field effects. Fluid Dyn. Res. 2020, 52, 025503. [Google Scholar] [CrossRef]
- Farooq, A.A.; Siddiqui, A.M. Mathematical model for the ciliary-induced transport of seminal liquids through the ductuli efferentes. Int. J. Biomath. 2017, 10, 1750031. [Google Scholar] [CrossRef]
- Burgreen, D.; Nakache, F.R. Electrokinetic Flow in Ultrafine Capillary Slits1. J. Phys. Chem. 1964, 68, 1084–1091. [Google Scholar] [CrossRef]
- Wang, X.; Cheng, C.; Wang, S.; Liu, S. Electroosmotic pumps and their applications in microfluidic systems. Microfluid. Nanofluidics 2009, 6, 145–162. [Google Scholar] [CrossRef] [PubMed] [Green Version]
- Chaube, M.K.; Yadav, A.; Tripathi, D.; Bég, O.A. Electroosmotic flow of biorheological micropolar fluids through microfluidic channels. Korea-Aust. Rheol. J. 2018, 30, 89–98. [Google Scholar] [CrossRef]
- Saleem, N.; Munawar, S.; Tripathi, D. Thermal analysis of double diffusive electrokinetic thermally radiated TiO2-Ag/blood stream triggered by synthetic cilia under buoyancy forces and activation energy. Phys. Scr. 2021, 96, 095218. [Google Scholar] [CrossRef]
- Munawar, S. Significance of Slippage and Electric Field in Mucociliary Transport of Biomagnetic Fluid. Lubricants 2021, 9, 48. [Google Scholar] [CrossRef]
- Munawar, S.; Saleem, N. Entropy generation in thermally radiated hybrid nanofluid through an electroosmotic pump with ohmic heating: Case of synthetic cilia regulated stream. Sci. Prog. 2021, 104, 00368504211025921. [Google Scholar] [CrossRef]
- Yang, C.; Li, D. Electrokinetic Effects on Pressure-Driven Liquid Flows in Rectangular Microchannels. J. Colloid Interface Sci. 1997, 194, 95–107. [Google Scholar] [CrossRef]
- Hang, H.U.; Pop, I.; Sun, Q. Fluid flow driven along microchannel by its upper stretching wall with electrokinetic effects. Appl. Math. Mech. Engl. Ed. 2018, 39, 395–408. [Google Scholar]
- Akram, J.; Akbar, N.S.; Tripathi, D. Numerical study of the electroosmotic flow of Al2O3–CH3OH Sisko nanofluid through a tapered microchannel in a porous environment. Appl. Nanosci. 2020, 10, 4161–4176. [Google Scholar] [CrossRef]
- Choi, S.U.S. Enhancing thermal conductivity of fluids with nanoparticles. In Developments and Applications of Non-Newtonian Flows; ASME: New York, NY, USA, 1995; Volume 66, pp. 99–105. [Google Scholar]
- Chakraborty, S.; Panigrahi, P.K. Stability of nanofluid: A review. Appl. Therm. Eng. 2020, 174, 115259. [Google Scholar] [CrossRef]
- Chamkha, A.J.; Dogonchi, A.S.; Ganji, D.D. Magneto-hydrodynamic flow and heat transfer of a hybrid nanofluid in a rotating system among two surfaces in the presence of thermal radiation and Joule heating. AIP Adv. 2019, 9, 025103. [Google Scholar] [CrossRef] [Green Version]
- Iqbal, Z.; Akbar, N.S.; Azhar, E.; Maraj, E.N. Performance of hybrid nanofluid (Cu-CuO/water) on MHD rotating transport in oscillating vertical channel inspired by Hall current and thermal radiation. Alex. Eng. J. 2018, 57, 1943–1954. [Google Scholar] [CrossRef]
- Tripathi, D.; Parkash, J.; Tiwari, A.K.; Ellahi, R. Thermal, microrotation, electromagnetic field and nanoparticle shape effects on Cu-CuO/blood flow in microvascular vessels. Microvasc. Res. 2020, 132, 104065. [Google Scholar] [CrossRef] [PubMed]
- Mekheimer, K.; Abo-Elkhair, R.; Moawad, A. Electrothermal transport via gold nanoparticles as antimicrobials of blood flow through an electro-osmosis artery with overlapping stenosis. Int. J. Fluid Mech. Res. 2020, 47, 135–152. [Google Scholar] [CrossRef]
- Munawar, S.; Saleem, N.; Chamkha, A.J.; Mehmood, A.; Dar, A. Lubricating hot stretching membrane with a thin hybrid nanofluid squeezed film under oscillatory compression. Eur. Phys. J. Plus. 2021, 136, 1–18. [Google Scholar]
- Akram, S.; Zafar, M.; Nadeem, S. Peristaltic transport of a Jeffrey fluid with double-diffusive convection in nanofluids in the presence of inclined magnetic field. Int. J. Geom. Methods Mod. Phys. 2018, 15, 1850181. [Google Scholar] [CrossRef]
- Farooq, S.; Khan, M.I.; Waqas, M.; Hayat, T.; Alsaedi, A. Transport of hybrid type nanomaterials in peristaltic activity of viscous fluid considering nonlinear radiation, entropy optimization and slip effects. Comput. Methods Programs Biomed. 2020, 184, 105086. [Google Scholar] [CrossRef] [PubMed]
- Mehmood, A.; Iqbal, M.; Khan, S.; Munawar, S. Entropy analysis in moving wavy surface boundary-layer. Therm. Sci. 2019, 23, 233–241. [Google Scholar] [CrossRef]
- Balla, H.H.; Abdullah, S.; Mohdfaizal, W.; Zulkifli, R.; Sopian, K. Numerical study of the enhancement of heat transfer for hybrid CuO-Cu nanofluids flowing in a circular pipe. J. Oleo. Sci. 2013, 62, 533–539. [Google Scholar] [CrossRef]
- Khan, A.A.; Masood, F.; Ellahi, R.; Bhatti, M.M. Mass transport on chemicalized fourth-grade fluid propagating peristaltically through a curved channel with magnetic effects. J. Mol. Liq. 2018, 258, 186–195. [Google Scholar] [CrossRef]
- Hayat, T.; Nisar, Z.; Alsaedi, A.; Ahmed, B. Analysis of activation energy and entropy generation in mixed convective peristaltic transport of Sutterby nanofluid. J. Therm. Anal. Calorim. 2021, 143, 1867–1880. [Google Scholar] [CrossRef]
- Bejan, A. Second-law analysis in heat transfer and thermal design. In Advances in Heat Transfer; Hartnett, J.P., Irvine, T.F., Eds.; Elsevier: Amsterdam, The Netherlands, 1982; Volume 15, pp. 1–58. [Google Scholar]
- Alsaadi, F.; Ullah, I.; Hayat, T.; Alsaedi, F.E. Entropy generation in nonlinear mixed convective flow of nanofluid in porous space influenced by Arrhenius activation energy and thermal radiation. J. Therm. Anal. Calorim. 2020, 140, 799–809. [Google Scholar] [CrossRef]
- Munawar, S.; Saleem, N. Second Law Analysis of Ciliary Pumping Transport in an Inclined Channel Coated with Carreau Fluid under a Magnetic Field. Coatings 2020, 10, 240. [Google Scholar] [CrossRef] [Green Version]
- Munawar, S.; Saleem, N. Thermal analysis of an Eyring-Powell fluid flow-through a constricted channel. Therm. Sci. 2020, 24, 1207–1216. [Google Scholar] [CrossRef] [Green Version]
- Makinde, O.D.; Reddy, M.G. MHD peristaltic slip flow of Casson fluid and heat transfer in channel filled with a porous medium. Trans. Mech. Eng. B 2019, 26, 2342–2355. [Google Scholar] [CrossRef] [Green Version]
- Mernone, A.; Mazumdar, J.; Lucas, S. A mathematical study of peristaltic transport of a casson fluid. Math. Comput. Model. 2002, 35, 895–912. [Google Scholar] [CrossRef]
- Alghamdi, W.; Alsubie, A.; Kumam, P.; Saeed, A.; Gul, T. MHD hybrid nanofluid flow comprising the medication through a blood artery. Sci. Rep. 2021, 11, 11621. [Google Scholar]
- Ghadikolaei, S.; Gholinia, M. 3D mixed convection MHD flow of GO-MoS2 hybrid nanoparticles in H2O–(CH2OH)2 hybrid base fluid under the effect of H2 bond. Int. Commun. Heat Mass Transf. 2020, 110, 104371. [Google Scholar] [CrossRef]
- Lardner, T.J.; Shack, W.J. Cilia transport. Bull. Math. Biophys. 1972, 34, 325–335. [Google Scholar] [CrossRef]
- Munawar, S.; Saleem, N. Entropy Analysis of an MHD Synthetic Cilia Assisted Transport in a Microchannel Enclosure with Velocity and Thermal Slippage Effects. Coatings 2020, 10, 414. [Google Scholar] [CrossRef]
- Saleem, N.; Munawar, S.; Mehmood, A.; Daqqa, I. Entropy production in electroosmotic cilia facilitated stream of thermally radiated nanofluid with Ohmic heating. Micromachines 2021, 12, 1004. [Google Scholar] [CrossRef]
- Hayat, T.; Rani, S.; Alsaedi, A.; Rafiq, M. Radiative peristaltic flow of magneto nanofluid in a porous channel with thermal radiation. Results Phys. 2017, 7, 3396–3407. [Google Scholar] [CrossRef]
- Mekheimer, K.; Zaher, A.Z.; Hasona, W.M. Entropy of AC electro-kinetics for blood mediated gold or copper nanoparticles as a drug agent for thermotherapy of oncology. Chin. J. Phys. 2020, 65, 123–138. [Google Scholar] [CrossRef]
- Akbar, N.S.; Khan, Z. Metachronal beating of cilia under the influence of Casson fluid and magnetic field. J. Magn. Magn. Mater. 2015, 378, 320–326. [Google Scholar] [CrossRef]
- Munawar, S.; Saleem, N.; Aboura, K. Second law analysis in the peristaltic flow of variable viscosity fluid. Int. J. Exergy 2016, 20, 170–185. [Google Scholar]
- Huang, Y.Y.; Zhang, L.J.; Yang, G.; Wu, J.Y. Secondary Flow and Entropy Generation of Laminar Mixed Convection in the Entrance Region of a Horizontal Square Duct. J. Heat Transf. 2017, 140, 034503. [Google Scholar] [CrossRef]












| Physical Quantities | Base Liquid | Solid Nanoparticles Properties | |
|---|---|---|---|
| blood | Cu | CuO | |
| f | S1 | S2 | |
| σ (1/Ωm) | 0.8 | 59.6 × 106 | 2.7 × 10−8 |
| ρ (kg/m3) | 1063 | 8933 | 6320 |
| Cp (JKg−1K−1) | 3594 | 385 | 531.8 |
| K (Wm−1K−1) | 0.492 | 400 | 76.5 |
Publisher’s Note: MDPI stays neutral with regard to jurisdictional claims in published maps and institutional affiliations. |
© 2021 by the authors. Licensee MDPI, Basel, Switzerland. This article is an open access article distributed under the terms and conditions of the Creative Commons Attribution (CC BY) license (https://creativecommons.org/licenses/by/4.0/).
Share and Cite
Saleem, N.; Munawar, S. Significance of Synthetic Cilia and Arrhenius Energy on Double Diffusive Stream of Radiated Hybrid Nanofluid in Microfluidic Pump under Ohmic Heating: An Entropic Analysis. Coatings 2021, 11, 1292. https://doi.org/10.3390/coatings11111292
Saleem N, Munawar S. Significance of Synthetic Cilia and Arrhenius Energy on Double Diffusive Stream of Radiated Hybrid Nanofluid in Microfluidic Pump under Ohmic Heating: An Entropic Analysis. Coatings. 2021; 11(11):1292. https://doi.org/10.3390/coatings11111292
Chicago/Turabian StyleSaleem, Najma, and Sufian Munawar. 2021. "Significance of Synthetic Cilia and Arrhenius Energy on Double Diffusive Stream of Radiated Hybrid Nanofluid in Microfluidic Pump under Ohmic Heating: An Entropic Analysis" Coatings 11, no. 11: 1292. https://doi.org/10.3390/coatings11111292
APA StyleSaleem, N., & Munawar, S. (2021). Significance of Synthetic Cilia and Arrhenius Energy on Double Diffusive Stream of Radiated Hybrid Nanofluid in Microfluidic Pump under Ohmic Heating: An Entropic Analysis. Coatings, 11(11), 1292. https://doi.org/10.3390/coatings11111292

