Effects of Magnetohydrodynamics Flow on Multilayer Coatings of Newtonian and Non-Newtonian Fluids through Porous Inclined Rotating Channel
Abstract
1. Introduction
2. Formulation of the Problem
3. Solution Methodology
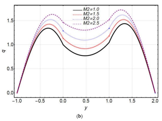
4. Results and Discussion
5. Conclusions
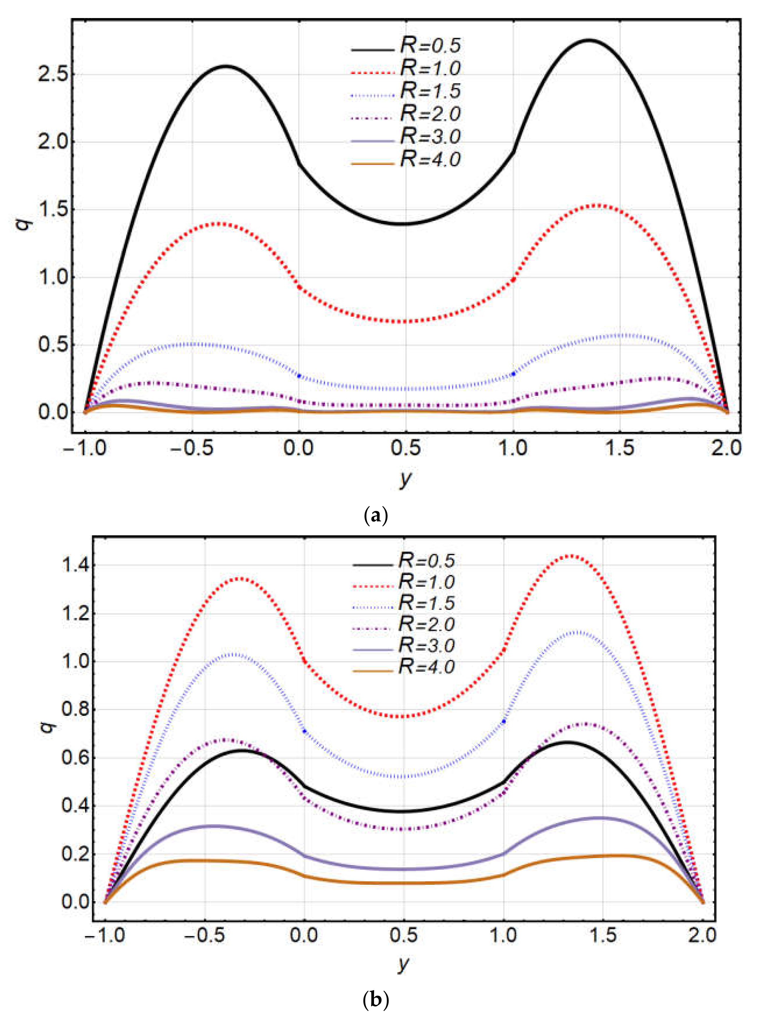
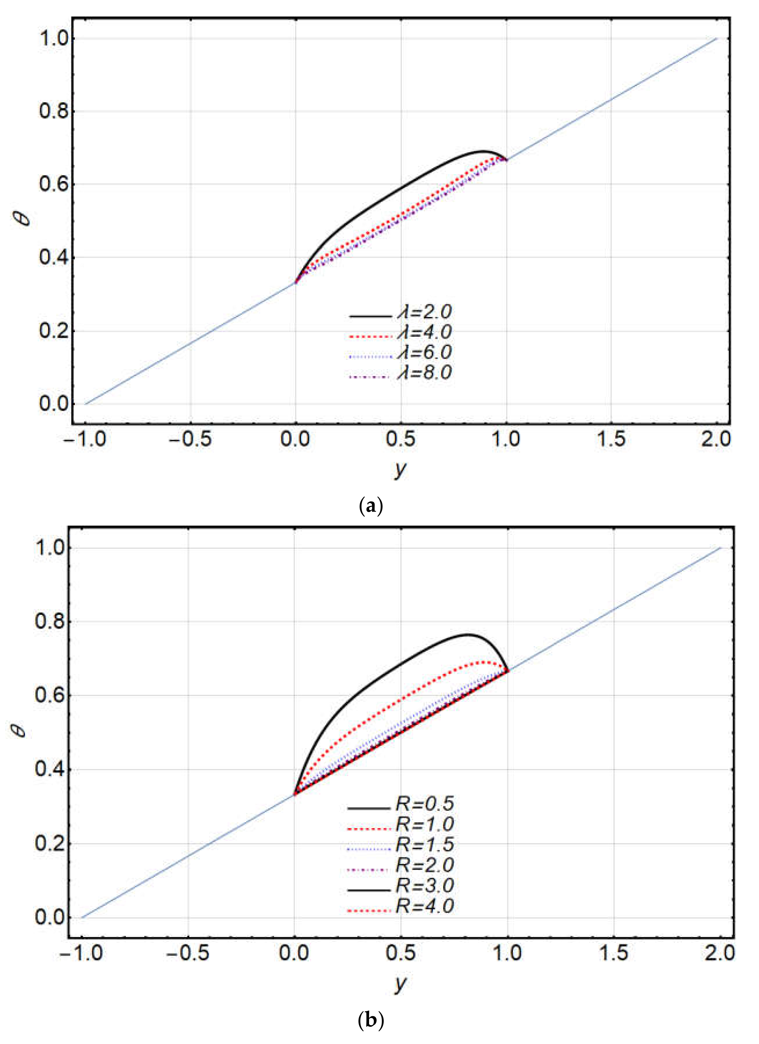
- Temperature distribution and both axial and transverse components of velocity decreased gradually for large values of the porous parameter in all regions.
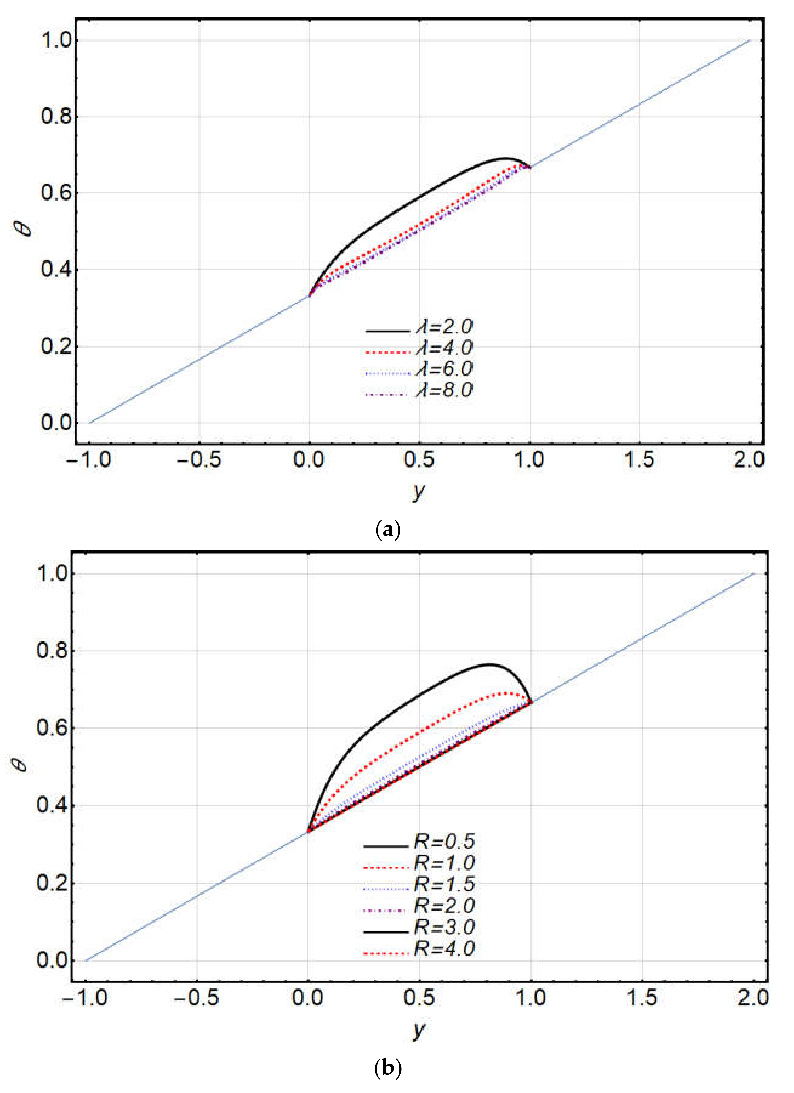
- Velocity components and temperature distribution slow down due to increasing rotation parameter .
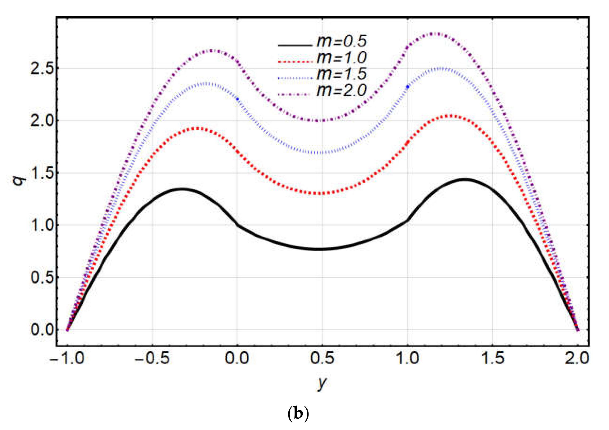
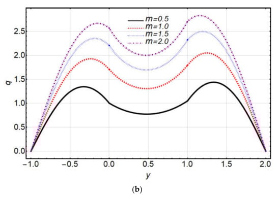
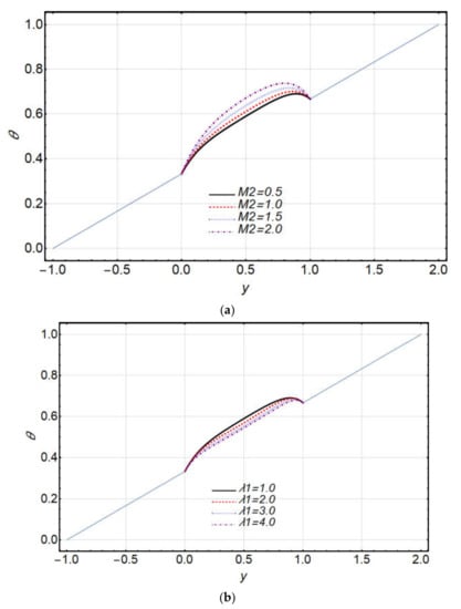
- Increases in the ratio of viscosities, Grashof number, and angle of inclination lead to increases in temperature and velocity components in all regions.
- The temperature distribution and both axial and transverse components of velocity increased thoroughly for the Jeffery parameter in Region 2.
- The temperature rose due to the influence of magnetic field parameters and reduced velocity in all mediums. The reason behind this is drag force, which is initiated by magnetic fields in all regions.
- Heat transfer increased with the increasing values of the Jeffrey parameter.
- The magnetic field increased the magnitude of the Nusselt number at the bottom plate and decreased it at the top plate.
Author Contributions
Funding
Institutional Review Board Statement
Informed Consent Statement
Data Availability Statement
Conflicts of Interest
References
- Akram, S.; Nadeem, S. Influence of induced magnetic field and heat transfer on the peristaltic motion of a Jeffrey fluid in an asymmetric channel: Closed-form solutions. J. Magn. Magn. Mater. 2013, 328, 11–20. [Google Scholar] [CrossRef]
- Nallapu, S.; Radhakrishnamacharya, G. Jeffrey fluid flow through porous medium in the presence of magnetic field in narrow tubes. Int. J. Eng. Math. 2014, 2014, 713831. [Google Scholar] [CrossRef]
- Abd-Alla, A.M.; Abo-Dahab, S.M.; Albalawi, M.M. Magnetic field and gravity effects on peristaltic transport of a Jeffrey fluid in an asymmetric channel. Abstr. Appl. Anal. 2014, 2014, 896121. [Google Scholar] [CrossRef]
- Dhananjaya, S.; Arunachalam, P.V.; Sreenadh, S.; Parandhama, A. Free convection flow of a Jeffrey fluid between vertical plates partially filled with porous medium. Int. J. Sci. Res. Eng. Technol. 2015, 4, 503–512. [Google Scholar] [CrossRef]
- Abd-Alla, A.M.; Abo-Dahab, S.M. Magnetic field and rotation effects on peristaltic transport of a Jeffrey fluid in an asymmetric channel. J. Magn. Magn. Mater. 2015, 374, 680–689. [Google Scholar] [CrossRef]
- Murthy, M.K. MHD Couette flow of Jeffrey fluid in a porous channel with heat source and chemical reaction. Middle-East J. Sci. Res. 2016, 24, 585–592. [Google Scholar] [CrossRef]
- Prakash, J.; Raju, C.S.K.; Sandeep, N. Dual solutions for heat and mass transfer in MHD Jeffrey fluid in the presence of homogeneous-heterogeneous reactions. Front. Heat Mass Transf. 2016, 7, 12431. [Google Scholar] [CrossRef]
- Ellahi, R. Recent Trends in coatings and thin film: Modeling and application, coatings. Coatings 2020, 10, 777. [Google Scholar] [CrossRef]
- Rashidi, M.M.; Erfani, E.; Bég, O.A.; Ghosh, S.K. Modified differential transform method (DTM) simulation of hydromagnetic multi-physical flow phenomena from a rotating disk. World J. Mech. 2011, 1, 217–230. [Google Scholar] [CrossRef][Green Version]
- Gomez, D.O.; Mininni, P.D. Direct numerical simulations of helical dynamo action: MHD and beyond. Nonlinear Proc. Geoph. 2004, 11, 619–629. [Google Scholar] [CrossRef][Green Version]
- Kumar, M.; Reddy, G.J.; Dalir, N. Transient entropy analysis of the magnetohydrodynamics flow of a Jeffrey fluid past an isothermal vertical flat plate. Pramana 2018, 91, 1–11. [Google Scholar] [CrossRef]
- Graneau, P. Electrodynamic seawater jet: An alternative to the propeller. IEEE Trans. Magn. 1989, 25, 3275–3277. [Google Scholar] [CrossRef]
- Romig, M.F. The influence of electric and magnetic fields on heat transfer to electrically conducting fluids. Adv. Heat Transf. 1964, 1, 267–354. [Google Scholar]
- Rudraiah, N.; Kumudini, V.; Unno, W. Theory of nonlinear magnetoconvection and its application to solar convection problems. I., II. Publ. Astron. Soc. Jpn. 1985, 37, 183–233. [Google Scholar] [CrossRef]
- Shail, R. On laminar two-phase flows in magnetohydrodynamics. Int. J. Eng. Sci. 1973, 11, 1103–1108. [Google Scholar] [CrossRef]
- Lohrasbi, J.; Sahai, V. Magnetohydrodynamic heat transfer in two-phase flow between parallel plates. Appl. Sci. Res. 1988, 45, 53–66. [Google Scholar] [CrossRef]
- Malashetty, M.S.; Leela, V. Magnetohydrodynamic Heat Transfer in Two-Fluid Flow. Proceeding of the National Heat Transfer Conference on AIChE and ASME HTD, Minneapolis, MN, USA, 26–31 July 1991; American Society of Mechanical Engineers: New York, NY, USA, 1991; p. 159. [Google Scholar]
- Malashetty, M.S.; Leela, V. Magnetohydrodynamic heat transfer in two-phase flow. Int. J. Eng. Sci. 1992, 30, 371–377. [Google Scholar] [CrossRef]
- Chauhan, D.S.; Rastogi, P. Hall current and heat transfer effects on MHD flow in a channel partially filled with a porous medium in a rotating system. Turk. J. Eng. Environ. Sci. 2010, 33, 167–184. [Google Scholar] [CrossRef]
- Chauhan, D.S.; Rastogi, P. Heat transfer effects on rotating MHD Couette flow in a channel partially filled by a porous medium with Hall current. J. Appl. Sci. Eng. 2012, 15, 281–290. [Google Scholar] [CrossRef]
- Seth, G.S.; Nandkeolyar, R.; Ansari, M.S. Hartmann flow in a rotating system in the presence of an inclined magnetic field with hall effects. J. Appl. Sci. Eng. 2010, 13, 243–252. [Google Scholar] [CrossRef]
- Fiza, M.; Alsubie, A.; Ullah, H.; Hamadneh, N.N.; Islam, S.; Khan, I. Three-dimensional rotating flow of MHD Jeffrey fluid flow between two parallel plates with impact of hall current. Math. Probl. Eng. 2021, 2021, 6626411. [Google Scholar] [CrossRef]
- Greenspan, H.P. The theory of rotating fluids: Cambridge monograph on mechanics and applied mathematics. Phys. Today 1969, 22, 81. [Google Scholar] [CrossRef]
- Goodman, S. Radiant-heat transfer between nongray parallel plates. J. Res. Natl. Bur. Stand. 1957, 58, 37–40. [Google Scholar] [CrossRef]
- Attia, H.A.; Kotb, N.A. MHD flow between two parallel plates with heat transfer. Acta Mech. 1996, 117, 215–220. [Google Scholar] [CrossRef]
- Borkakoti, A.K.; Bharali, A. Hydromagnetic flow and heat transfer between two horizontal plates, the lower plate is a stretching sheet. Q. Appl. Math. 1983, 40, 461–467. [Google Scholar] [CrossRef]
- Vajravelu, K.; Kumar, B.V.R. Analytical and numerical solutions of a coupled non-linear system arising in a three-dimensional rotating flow. Int. J. Non-Linear Mech. 2004, 39, 13–24. [Google Scholar] [CrossRef]
- Das, S.K.; Choi, S.U.; Yu, W.; Pradeep, T. Nanofluids: Science and Technology; John Wiley & Sons: Hoboken, NJ, USA, 2007. [Google Scholar]
- Mohyud-Din, S.T.; Zaidi, Z.A.; Khan, U.; Ahmed, N. On heat and mass transfer analysis for the flow of a nanofluid between rotating parallel plates. Aerosp. Sci. Technol. 2015, 46, 514–522. [Google Scholar] [CrossRef]
- Murty, P.S.R.; Prakash, G.B. Heat transfer aspects on rotating MHD two-phase convective flow through an inclined channel in the presence of the electric field. Phys. Sci. Int. J. 2014, 2014, 1260–1279. [Google Scholar] [CrossRef]
- Chitturi, K.S.; Paramsetti, S.R.M.; Kappala, S.B. Convective two-layered flow and temperature distribution through an inclined porous medium in a rotating system. J. Sci. Technol. 2020, 42, 371–382. [Google Scholar] [CrossRef]
- Ijaz, N.; Riaz, A.; Zeeshan, A.; Ellahi, R.; Sait, S.M. Buoyancy driven flow with gas-liquid coatings of peristaltic bubbly flow in elastic walls. Coatings 2020, 10, 115. [Google Scholar] [CrossRef]
- Ellahi, R.; Zeeshan, A.; Hussain, F.; Abbas, T. Thermally charged MHD bi-phase flow coatings with non-Newtonian nanofluid and hafnium particles along slippery walls. Coatings 2019, 9, 300. [Google Scholar] [CrossRef]
- Asadollahi, A.; Esfahani, J.A.; Ellahi, R. Evacuating liquid coatings from a diffusive oblique fin in micro-/mini-channels. J. Therm. Anal. Calorim. 2019, 138, 255–263. [Google Scholar] [CrossRef]
- Ellahi, R.; Zeeshan, A.; Hussain, F.; Abbas, T. Study of shiny film coating on multi-fluid flows of a rotating disk suspended with nano-sized silver and gold particles: A comparative analysis. Coatings 2018, 8, 422. [Google Scholar] [CrossRef]
- Ur Rasheed, H.; AL-Zubaidi, A.; Islam, S.; Saleem, S.; Khan, Z.; Khan, W. Effects of Joule heating and viscous dissipation on magnetohydrodynamic boundary layer flow of Jeffrey nanofluid over a vertically stretching cylinder. Coatings 2021, 11, 353. [Google Scholar] [CrossRef]
- Ramzan, M.; Liaquat, A.; Kadry, S.; Yu, S.; Nam, Y.; Lu, D. Impact of second-order slip and double stratification coatings on 3d MHD Williamson nanofluid flow with Cattaneo–Christof heat flux. Coatings 2019, 9, 849. [Google Scholar] [CrossRef]
- Vajravelu, K.; Sreenadh, S.; Lakshminarayana, P. The influence of heat transfer on peristaltic transport of a Jeffrey fluid in a vertical porous stratum. Commun. Nonlinear Sci. Numer. Simul. 2011, 16, 3107–3125. [Google Scholar] [CrossRef]


















| Skin Friction | Heat Transfer | |||||
|---|---|---|---|---|---|---|
| 0.0 [31] | 0.0 [31] | 0.0 [31] | 5.8695 [31] | −6.2637 [31] | −11.6293 [31] | 11.1863 [31] |
| 0.5 | 0.5 | 5.4254 | −6.0335 | −8.0079 | 7.6946 | |
| 1.0 | 1.0 | 4.7199 | −5.4964 | −5.1626 | 4.8729 | |
| 1.5 | 1.5 | 4.2326 | −4.7070 | −3.6740 | 3.2145 | |
| 2.0 | 2.0 | 3.8200 | −3.6645 | −2.6686 | 2.0259 | |
| 1.0 | 0.0 | 0.0 | 4.7704 | −5.2206 | −4.8238 | 4.6218 |
| 0.5 | 0.5 | 5.0526 | −5.7268 | −5.7750 | 5.5205 | |
| 1.0 | 1.0 | 4.4984 | −5.2323 | −4.2559 | 3.8752 | |
| 1.5 | 1.5 | 3.2775 | −1.9684 | 3.6674 | 0.0712 | |
| 2.0 | 2.0 | 3.6157 | −1.6994 | 2.4707 | 0.6099 | |
| 2.0 | 0.0 | 0.0 | 4.6498 | −5.1938 | −3.9341 | 3.8511 |
| 0.5 | 0.5 | 4.6603 | −5.5360 | −4.3268 | 4.2070 | |
| 1.0 | 1.0 | 2.4857 | −0.7459 | 8.3122 | −0.2552 | |
| 1.5 | 1.5 | 4.3525 | −4.0577 | −3.8010 | 2.8787 | |
| 2.0 | 2.0 | 2.8249 | −0.7325 | 7.2428 | 0.0711 | |
| 3.0 | 0.0 | 0.0 | 4.77655 | −5.1948 | −3.3895 | 3.3986 |
| 0.5 | 0.5 | 4.7632 | −5.5363 | −3.8305 | 3.8203 | |
| 1.0 | 1.0 | 4.5809 | −5.0948 | −3.6110 | 3.2685 | |
| 1.5 | 1.5 | 3.8533 | −2.4764 | −0.28233 | 0.3619 | |
| 2.0 | 2.0 | 2.3092 | −0.2256 | 10.1205 | −0.1144 | |
Publisher’s Note: MDPI stays neutral with regard to jurisdictional claims in published maps and institutional affiliations. |
© 2022 by the authors. Licensee MDPI, Basel, Switzerland. This article is an open access article distributed under the terms and conditions of the Creative Commons Attribution (CC BY) license (https://creativecommons.org/licenses/by/4.0/).
Share and Cite
Shehzad, N.; Zeeshan, A.; Shakeel, M.; Ellahi, R.; Sait, S.M. Effects of Magnetohydrodynamics Flow on Multilayer Coatings of Newtonian and Non-Newtonian Fluids through Porous Inclined Rotating Channel. Coatings 2022, 12, 430. https://doi.org/10.3390/coatings12040430
Shehzad N, Zeeshan A, Shakeel M, Ellahi R, Sait SM. Effects of Magnetohydrodynamics Flow on Multilayer Coatings of Newtonian and Non-Newtonian Fluids through Porous Inclined Rotating Channel. Coatings. 2022; 12(4):430. https://doi.org/10.3390/coatings12040430
Chicago/Turabian StyleShehzad, Nasir, Ahmad Zeeshan, Muhammad Shakeel, Rahmat Ellahi, and Sadiq M. Sait. 2022. "Effects of Magnetohydrodynamics Flow on Multilayer Coatings of Newtonian and Non-Newtonian Fluids through Porous Inclined Rotating Channel" Coatings 12, no. 4: 430. https://doi.org/10.3390/coatings12040430
APA StyleShehzad, N., Zeeshan, A., Shakeel, M., Ellahi, R., & Sait, S. M. (2022). Effects of Magnetohydrodynamics Flow on Multilayer Coatings of Newtonian and Non-Newtonian Fluids through Porous Inclined Rotating Channel. Coatings, 12(4), 430. https://doi.org/10.3390/coatings12040430

