Preharvest Application of Hexanal as a Surface Treatment Improved the Storage Life and Quality of Mango Fruits
Abstract
:1. Introduction
2. Materials and Methods
2.1. Hexanal Formulation Preparation
2.2. Experimental Plot, Spraying, Harvesting and Transportation
2.3. Selection of Fruits
2.4. Postharvest Quality Factors
2.4.1. Storage Life
2.4.2. Firmness
2.4.3. Physiological Loss in Weight
2.4.4. Respiration Rate and Ethylene Evolution Rate
2.4.5. Biochemical Parameters
2.4.6. Enzyme Activity
2.5. Statistical Analysis
3. Results
3.1. Storage Life
3.2. Fruit Firmness
3.3. Physiological Loss in Weight (PLW)
3.4. Respiration Rate and Ethylene Evolution Rate
3.5. Biochemical Parameters
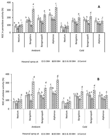
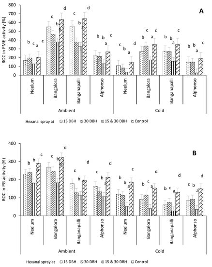
3.6. Enzymatic Profiling of the Mango Fruits
3.6.1. Fruit Softening Enzymes
3.6.2. Antioxidant Enzymes
4. Discussion
5. Conclusions
Supplementary Materials
Author Contributions
Funding
Institutional Review Board Statement
Informed Consent Statement
Data Availability Statement
Acknowledgments
Conflicts of Interest
References
- Akamine, E.K.; Goo, T. Respiration and ethylene production during ontogeny of fruit. J. Am. Soc. Hortic. Sci. 1973, 98, 381–383. [Google Scholar]
- Mohammed, M.; Mpagalile, J.; Lopez, V. Mango value chain in Trinida Guyana and St. Lucia: Measure post-harvest losses. J. Postharvest Technol. 2018, 6, 001–013. [Google Scholar]
- Ntsoane, M.L.; Zude-Sasse, M.; Mahajan, P.; Sivakumar, D. Quality assesment and postharvest technology of mango: A review of its current status and future perspectives. Sci. Hortic. 2019, 249, 77–85. [Google Scholar] [CrossRef]
- Chaplin, G.R. Advances in Post-Harvest Physiology of Mango. Acta Hortic. 1989, 639–648. [Google Scholar] [CrossRef]
- Paliyath, G.; Pinhero, R.G.; Yada, R.; Murr, D.P. Effect of processing conditions on phospholipase d activity of corn kernel subcellular fractions. J. Agric. Food Chem. 1999, 47, 2579–2588. [Google Scholar] [CrossRef] [PubMed]
- Paliyath, G.; Murr, D.P. Compositions for the Preservation of Fruits and Vegetables. U.S. Patent 7,198,811,B2, 3 April 2007. [Google Scholar]
- Anusuya, P.; Nagaraj, R.; Janavi, G.J.; Subramanian, K.S.; Paliyath, G.; Subramanian, J. Pre-harvest sprays of hexanal formulation for extending retention and shelf-life of mango (Mangifera indica L.) fruits. Sci. Hortic. 2016, 211, 231–240. [Google Scholar] [CrossRef]
- Jincy, M.; Djanaguiraman, M.; Jeyakumar, P.; Subramanian, K.; Jayasankar, S.; Paliyath, G. Inhibition of phospholipase denzyme activity through hexanal leads to delayed mango (Mangifera indica L.) fruit ripening through changes in oxidants and antioxidant enzymes activity. Sci. Hortic. 2017, 218, 316–325. [Google Scholar] [CrossRef]
- Gill, K.; Dhaliwal, H.; Mahajan, B.; Paliyath, G.; Boora, R. Enhancing postharvest shelf life and quality of guava (Psidium guajava L.) cv. Allahabad Safeda by pre-harvest application of hexanal containing aqueous formulation. Postharvest Biol. Technol. 2016, 112, 224–232. [Google Scholar] [CrossRef]
- Venkatachalam, K.; Muthuvel, I.; Sundaresan, S.; Subramanian, K.S.; Janaki, J.G.; Sullivan, J.A.; Paliyath, G.; Subramanian, J.J.T.A. Post-harvest dip of enhanced freshness formulation to extend the shelf life of banana (Musa acuminata cv. Grand Naine) in India. Trop. Agric. 2018, 95, 1–13. [Google Scholar]
- Preethi, P.; Soorianathasundaram, K.; Sadasakthi, A.; Subramanian, K.; Paliyath, G.; Subramanian, J. Influence of hexanal formulation on storage life and post-harvest quality of mango fruits. J. Environ. Biol. 2018, 39, 1006–1014. [Google Scholar] [CrossRef]
- Paliyath, G.; Subramanian, J. Phospholipase D Inhibition Technology for Enhancing Shelf Life and Quality; Wiley-Blackwel: Hoboken, IA, USA, 2008; p. 240. [Google Scholar]
- Mohan, C.; Sridharan, S.; Gunasekaran, K.; Subramanian, K.; Natarajan, N.J.J.E.Z.S. Biosafety of hexanal as nanoemulsion on egg parasitoid Trichogramma spp. J. Entomol. Zool. Stud. 2017, 5, 1541–1544. [Google Scholar]
- Jha, S.N.; Jaiswal, P.; Narsaiah, K.; Kaur, P.P.; Singh, A.K.; Kumar, R. Textural properties of mango cultivars during ripening. J. Food Sci. Technol. 2013, 50, 1047–1057. [Google Scholar] [CrossRef] [PubMed] [Green Version]
- Hedge, J.E.; Hofreiter, B.T. Carbohydrates Chemistry; Academic Press: New York, NY, USA, 1962. [Google Scholar]
- Chemists, A.; Horwitz, W. Official Methods of Analysis; Association of Official Analytical Chemists: Washington, DC, USA, 1975; Volume 222. [Google Scholar]
- Jensen, A. Handbook of Physiological Methods; Cambridge University Press: New York, NY, USA, 1978; p. 70. [Google Scholar]
- Hagerman, A.E.; Austin, P.J.; Chemistry, F. Continuous spectrophotometric assay for plant pectin methyl esterase. J. Agric. Food Chem. 1986, 34, 440–444. [Google Scholar] [CrossRef]
- Ali, Z.; Brady, C. Purification and Characterization of the Polygalacturonases of Tomato Fruits. Funct. Plant Biol. 1982, 9, 155–169. [Google Scholar] [CrossRef]
- Malik, C.P.; Singh, M. Plant Enzymology and Histo-Enzymology; Kalyani Publishers: New Delhi, India, 1980. [Google Scholar]
- Luck, H. Estimation of Catalase Activity; Academic Press: Cambridge, MA, USA, 1974; p. 885. [Google Scholar]
- Caruso, F.L.; Ramsdell, D.C. Compendium of Blueberry and Cranberry Diseases; APS Press: Eagan, MN, USA, 1995. [Google Scholar]
- Reddy, S.; Sharma, R.; Srivastava, M.; Kaur, C. Effect of pre-harvest application of salicylic acid on the postharvest behavior of ‘amrapali’ mango fruits during storage. Ind. J. Hortic. 2016, 73, 405–409. [Google Scholar] [CrossRef]
- Song, J.; Leepipattanawit, R.; Deng, W.; Beaudry, R.M. Hexanal Vapor Is a Natural, Metabolizable Fungicide: Inhibition of Fungal Activity and Enhancement of Aroma Biosynthesis in Apple Slices. J. Am. Soc. Hortic. Sci. 1996, 121, 937–942. [Google Scholar] [CrossRef]
- Hoa, T.T.; Ducamp, M. Effects of different coatings on biochemical changes of ‘cat Hoaloc’mangoes in storage. Postharvest Biol. Technol. 2008, 48, 150–152. [Google Scholar] [CrossRef]
- Bhagyalakshmi, N.; Prabha, T.; Yashodha, H.; Prasanna, V.; Jagadeesh, B.; Tharanathan, R. Biochemical studies related to textural regulation during ripening of banana and mango fruit. Acta Hortic. 2002, 717–724. [Google Scholar] [CrossRef]
- Jha, S.; Kingsly, A.; Chopra, S. Physical and mechanical properties of mango during growth and storage for determination of maturity. J. Food Eng. 2006, 72, 73–76. [Google Scholar] [CrossRef]
- Reddy, S.V.R.; Sharma, R.R.; Barthakur, S. Influence of 1-MCP on texture, related enzymes, quality and their relative gene expression in ‘Amrapali’ mango (Mangifera indica L.) fruits. J. Food Sci. Technol. 2017, 54, 4051–4059. [Google Scholar] [CrossRef]
- Yamashita, F.; Benassi, M.; Kieckbusch, T.J.T.S. Shelf life extension of individually film-wrapped mangoes. Trop. Sci. 1997, 37, 249–255. [Google Scholar]
- Sharma, M.; Jacob, J.K.; Subramanian, J.; Paliyath, G. Hexanal and 1-MCP treatments for enhancing the shelf life and quality of sweet cherry (Prunus avium L.). Sci. Hortic. 2010, 125, 239–247. [Google Scholar] [CrossRef]
- Zerbini, P.E.; Vanoli, M.; Rizzolo, A.; Grassi, M.; Pimentel, R.M.D.A.; Spinelli, L.; Torricelli, A. Optical properties, ethylene production and softening in mango fruit. Postharvest Biol. Technol. 2015, 101, 58–65. [Google Scholar] [CrossRef] [Green Version]
- Mercadante, A.Z.; Rodriguez-Amaya, D.B.; Chemistry, F. Effects of ripening, cultivar differences, and processing on the carotenoid composition of mango. J. Agric. Food Chem. 1998, 46, 128–130. [Google Scholar] [CrossRef]
- Artés-Hernández, F.; Artés, F.; Tomás-Barberán, F.A.; Chemistry, F. Quality and enhancement of bioactive phenolics in cv. Napoleon table grapes exposed to different postharvest gaseous treatments. J. Agric. Food Chem. 2003, 51, 5290–5295. [Google Scholar] [CrossRef]
- Subedi, P.; Walsh, K. Assessment of sugar and starch in intact banana and mango fruit by SWNIR spectroscopy. Postharvest Biol. Technol. 2011, 62, 238–245. [Google Scholar] [CrossRef]
- Gonçalves, B.; Correia, C.M.; Silva, A.P.; Bacelar, E.; Santos, A.; Ferreira, H.M.F.; Moutinho-Pereira, J.M. Variation in xylem structure and function in roots and stems of scion–rootstock combinations of sweet cherry tree (Prunus avium L.). Trees 2006, 21, 121–130. [Google Scholar] [CrossRef]
- Yingsanga, P.; Srilaong, V.; Kanlayanarat, S.; Noichinda, S.; McGlasson, W. Relationship between browning and related enzymes (PAL, PPO and POD) in rambutan fruit (Nephelium lappaceum Linn.) cvs. Rongrien and See-Chompoo. Postharvest Biol. Technol. 2008, 50, 164–168. [Google Scholar] [CrossRef]
- Yazdani, N.; Arzani, K.; Mostofi, Y.; Shekarchi, M. α-Farnesene and antioxidative enzyme systems in Asian pear (Pyrus serotina Rehd.) fruit. Postharvest Biol. Technol. 2011, 59, 227–231. [Google Scholar] [CrossRef]
- Reddy, S.; Sharma, R.J. Effect of pre-harvest application of salicylic acid on the postharvest fruit quality of the Amrapali mango (Mangifera indica). Indian J. Agric. Sci. 2016, 86, 727–731. [Google Scholar]









| Mango Variety | Weight (g) | Volume (mL) | Length (cm) | Circumference (cm) |
|---|---|---|---|---|
| Neelum | 180.54 ± 7.86 | 177.11 ± 6.56 | 7.25 ± 0.84 | 23.80 ± 1.56 |
| Bangalora | 320.14 ± 8.03 | 315.09 ± 5.52 | 14.98 ± 0.86 | 27.61 ± 0.84 |
| Banganapalli | 285.32 ± 7.45 | 278.54 ± 6.38 | 12.11 ± 0.83 | 32.08 ± 0.96 |
| Alphonso | 185.15 ± 5.77 | 183.15 ± 5.18 | 10.16 ± 0.92 | 26.18 ± 0.88 |
| TSS (°Brix) | Total Sugars (%) | |||||||||||||||
|---|---|---|---|---|---|---|---|---|---|---|---|---|---|---|---|---|
| Hexanal Spray at | Neelum | Bangalora | Banganapalli | Alphonso | Neelum | Bangalora | Banganapalli | Alphonso | ||||||||
| Ambient | Cold | Ambient (NS) | Cold | Ambient | Cold | Ambient(NS) | Cold | Ambient | Cold | Ambient | Cold | Ambient | Cold | Ambient | Cold | |
| 15 DBH | 20.98 c ± 0.13 | 21.21 b ± 0.34 | 15.71 ± 0.21 | 15.09 b ± 0.26 | 23.27 b ± 0.15 | 23.96 ab ± 1.13 | 23.94 ± 0.24 | 23.95 b ± 2.36 | 16.64 c ± 1.14 | 16.51 c ± 1.54 | 13.96 c ± 0.39 | 13.66 c ± 0.64 | 16.48 c ± 0.14 | 16.82 c ± 1.96 | 17.53 c ± 1.86 | 17.49 c ± 3.55 |
| 30 DBH | 21.54 b ± 0.22 | 22.52 a ± 0.28 | 15.58 ± 0.64 | 14.65 b ± 1.25 | 23.63 b ± 0.74 | 24.21 a ± 0.12 | 23.94 ± 0.89 | 24.12 ab ± 1.54 | 17.36 b ± 2.21 | 18.00 b ± 0.14 | 14.54 b ± 0.75 | 15.12 b ± 0.12 | 20.47 b ± 3.77 | 20.53 b ± 0.52 | 20.29 b ± 0.24 | 19.90 b ± 0.48 |
| 15 and 30 DBH | 22.29 a ± 0.02 | 22.84 a ± 0.13 | 15.45 ± 0.71 | 15.07 b ± 0.69 | 24.37 a ± 0.96 | 24.32 a ± 0.45 | 23.85 ± 1.74 | 24.10 ab ± 0.89 | 20.62 a ± 0.98 | 20.80 a ± 0.24 | 16.95 a ± 1.25 | 17.19 a ± 0.59 | 22.91 a ± 0.26 | 22.45 a ± 0.54 | 21.06 a ± 1.54 | 20.91 a ± 2.19 |
| Control | 17.80 d ± 0.11 | 18.25 c ± 1.12 | 15.66 ± 0.18 | 15.51 a ± 0.65 | 23.37 b ± 1.15 | 23.68 c ± 0.78 | 23.99 ± 2.56 | 24.26 a ± 0.45 | 15.78 d ± 0.74 | 15.65 d ± 0.58 | 11.17 d ± 0.25 | 11.86 d ± 1.27 | 15.45 d ± 0.02 | 16.02 d ± 1.54 | 17.54 c ± 0.64 | 17.54 c ± 0.14 |
| Ascorbic Acid (mg/100 g of Pulp) | Total Carotenoids (mg/g of Pulp) | |||||||||||||||
|---|---|---|---|---|---|---|---|---|---|---|---|---|---|---|---|---|
| Hexanal Spray at | Neelum | Bangalora | Banganapalli | Alphonso | Neelum | Bangalora | Banganapalli | Alphonso | ||||||||
| Ambient | Cold | Ambient | Cold | Ambient | Cold | Ambient | Cold | Ambient | Cold | Ambient | Cold | Ambient | Cold | Ambient | Cold | |
| 15 DBH | 11.90 c ± 0.48 | 14.38 b ± 0.12 | 12.28 b ± 0.36 | 14.19 b ± 0.15 | 12.30 c ± 0.85 | 14.45 a ± 0.84 | 11.79 c ± 1.14 | 13.04 c ± 0.15 | 1.63 a ± 0.29 | 1.82 b ± 0.68 | 2.11 b ± 1.45 | 2.12 b ± 0.19 | 1.72 b ± 0.54 | 1.66 c ± 0.58 | 2.15 c ± 0.43 | 1.84 b ± 0.17 |
| 30 DBH | 12.21 ab ± 0.24 | 14.39 b ± 0.02 | 12.28 b ± 0.96 | 14.38 a ± 0.12 | 12.59 b ± 0.24 | 14.38 b ± 0.47 | 12.27 b ± 2.85 | 13.59 b ± 0.12 | 1.64 a ± 0.15 | 1.89 a ± 0.34 | 1.64 c ± 0.97 | 1.71 c ± 0.23 | 1.65 c ± 0.85 | 1.92 b ± 0.94 | 2.25 b ± 0.85 | 1.68 d ± 0.07 |
| 15 and 30 DBH | 12.41 a ± 0.36 | 14.84 a ± 0.01 | 12.48 a ± 0.11 | 14.39 a ± 0.54 | 12.92 a ± 1.56 | 14.47 a ± 0.29 | 12.84 a ± 0.67 | 13.88 a ± 0.35 | 1.61 a ± 0.45 | 1.91 a ± 1.36 | 2.24 a ± 0.74 | 2.29 a ± 0.74 | 1.96 a ± 0.17 | 2.05 a ± 0.64 | 2.45 a ± 0.62 | 1.87 a ± 0.84 |
| Control | 11.78 c ± 0.38 | 14.17 c ± 0.57 | 11.44 c ± 1.46 | 13.94 c ± 0.36 | 12.01 d ± 2.33 | 14.37 b ± 0.35 | 11.17 d ± 0.25 | 12.65 d ± 1.68 | 1.57 b ± 1.48 | 1.79 b ± 0.18 | 1.60 c ± 0.77 | 1.42 d ± 0.51 | 1.75 b ± 1.02 | 1.62 c ± 0.72 | 1.85 d ± 0.14 | 1.73 c ± 0.56 |
Publisher’s Note: MDPI stays neutral with regard to jurisdictional claims in published maps and institutional affiliations. |
© 2021 by the authors. Licensee MDPI, Basel, Switzerland. This article is an open access article distributed under the terms and conditions of the Creative Commons Attribution (CC BY) license (https://creativecommons.org/licenses/by/4.0/).
Share and Cite
Preethi, P.; Soorianathasundaram, K.; Sadasakthi, A.; Subramanian, K.S.; Vijay Rakesh Reddy, S.; Paliyath, G.; Subramanian, J. Preharvest Application of Hexanal as a Surface Treatment Improved the Storage Life and Quality of Mango Fruits. Coatings 2021, 11, 1267. https://doi.org/10.3390/coatings11101267
Preethi P, Soorianathasundaram K, Sadasakthi A, Subramanian KS, Vijay Rakesh Reddy S, Paliyath G, Subramanian J. Preharvest Application of Hexanal as a Surface Treatment Improved the Storage Life and Quality of Mango Fruits. Coatings. 2021; 11(10):1267. https://doi.org/10.3390/coatings11101267
Chicago/Turabian StylePreethi, Palpandian, Kadambavanasundaram Soorianathasundaram, Athipathi Sadasakthi, Kizhaeral Sevathapandian Subramanian, Sanikommu Vijay Rakesh Reddy, Gopinadhan Paliyath, and Jayasankar Subramanian. 2021. "Preharvest Application of Hexanal as a Surface Treatment Improved the Storage Life and Quality of Mango Fruits" Coatings 11, no. 10: 1267. https://doi.org/10.3390/coatings11101267
APA StylePreethi, P., Soorianathasundaram, K., Sadasakthi, A., Subramanian, K. S., Vijay Rakesh Reddy, S., Paliyath, G., & Subramanian, J. (2021). Preharvest Application of Hexanal as a Surface Treatment Improved the Storage Life and Quality of Mango Fruits. Coatings, 11(10), 1267. https://doi.org/10.3390/coatings11101267

