Hollow IF-MoS2/r-GO Nanocomposite Filled Polyimide Coating with Improved Mechanical, Thermal and Tribological Properties
Abstract
1. Introduction
2. Materials and Methods
2.1. Materials
2.2. Preparation of Additives and PI Composite Coatings
2.3. Characterization of Coatings
2.4. Tribological Tests
3. Results and Discussion
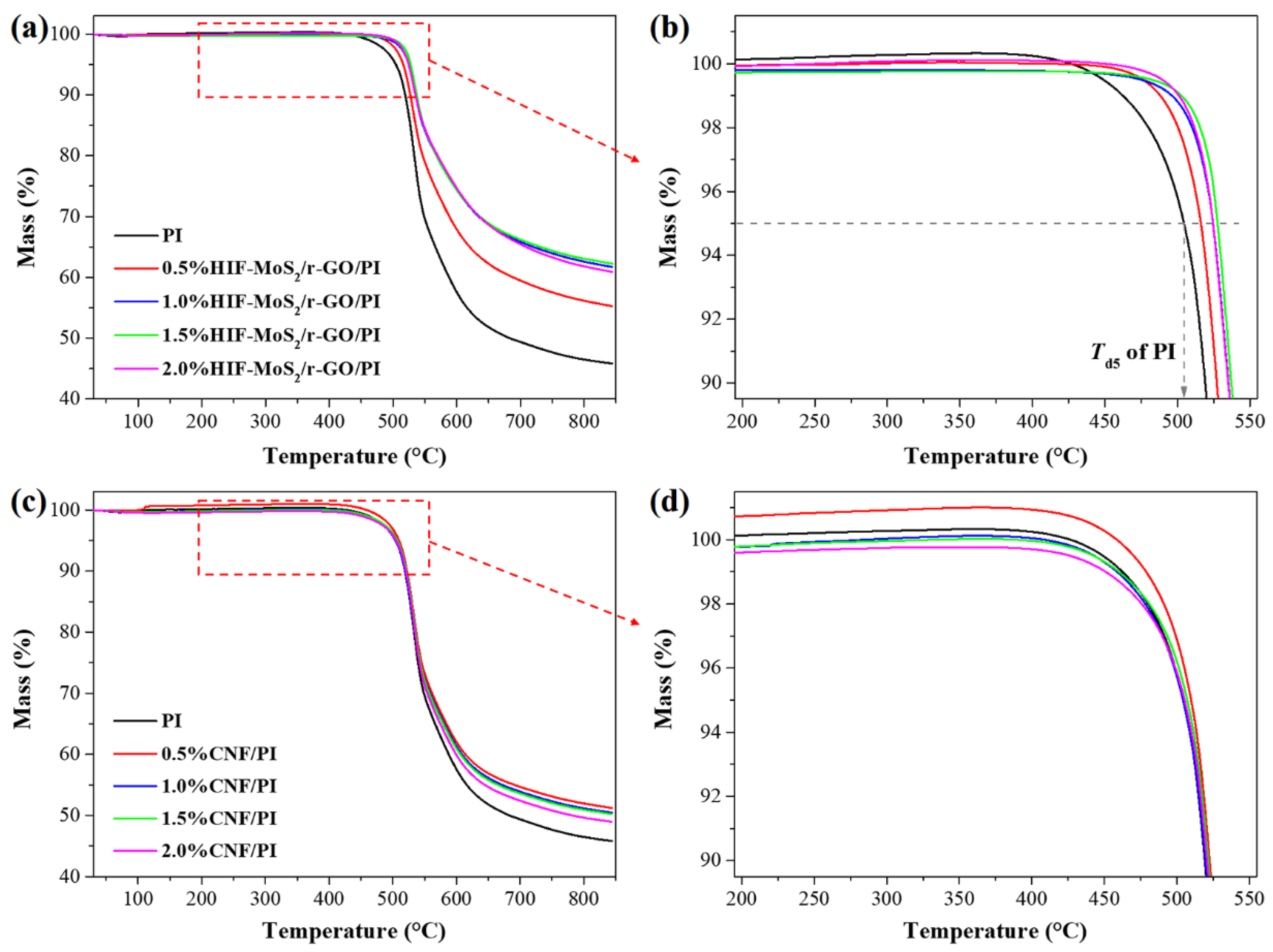
3.1. Mechanical and Thermal Properties
3.2. Tribological Properties
3.2.1. Under Dry Sliding Condition
3.2.2. Under Lubricated Condition
4. Conclusions
Author Contributions
Funding
Institutional Review Board Statement
Informed Consent Statement
Data Availability Statement
Conflicts of Interest
References
- Diez-Pascual, A.M.; Diez-Vicente, A.L. Nano-TiO2 reinforced PEEK/PEI blends as biomaterials for load-bearing implant applications. ACS Appl. Mater. Interfaces 2015, 7, 5561–5573. [Google Scholar] [CrossRef] [PubMed]
- Kurdi, A.; Kan, W.H.; Chang, L. Tribological behaviour of high performance polymers and polymer composites at elevated temperature. Tribol. Int. 2019, 130, 94–105. [Google Scholar] [CrossRef]
- Wang, Q.; Zheng, F.; Wang, T. Tribological properties of polymers PI, PTFE and PEEK at cryogenic temperature in vacuum. Cryogenics 2016, 75, 19–25. [Google Scholar] [CrossRef]
- Wu, J.; Huang, X.; Berglund, K.; Lu, X.; Feng, X.; Larsson, R.; Shi, Y. CuO nanosheets produced in graphene oxide solution: An excellent anti-wear additive for self-lubricating polymer composites. Compos. Sci. Technol. 2018, 162, 86–92. [Google Scholar] [CrossRef]
- Nunez, E.E.; Gheisari, R.; Polycarpou, A.A. Tribology review of blended bulk polymers and their coatings for high-load bearing applications. Tribol. Int. 2019, 129, 92–111. [Google Scholar] [CrossRef]
- Min, C.; Nie, P.; Song, H.; Zhang, Z.; Zhao, K. Study of tribological properties of polyimide/graphene oxide nanocomposite films under seawater-lubricated condition. Tribol. Int. 2014, 80, 131–140. [Google Scholar] [CrossRef]
- Huttunen-Saarivirta, E.; Yudin, V.E.; Myagkova, L.A.; Svetlichnyi, V.M. Corrosion protection of galvanized steel by polyimide coatings: EIS and SEM investigations. Prog. Org. Coat. 2011, 72, 269–278. [Google Scholar] [CrossRef]
- Ye, X.; Liu, X.; Yang, Z.; Wang, Z.; Wang, H.; Wang, J.; Yang, S. Tribological properties of fluorinated graphene reinforced polyimide composite coatings under different lubricated conditions. Compos. Part A-Appl. S. 2016, 81, 282–288. [Google Scholar] [CrossRef]
- Zhao, Y.; Qi, X.; Dong, Y.; Ma, J.; Zhang, Q.; Song, L.; Yang, Y.; Yang, Q. Mechanical, thermal and tribological properties of polyimide/nano-SiO2 composites synthesized using an in-situ polymerization. Tribol. Int. 2016, 103, 599–608. [Google Scholar] [CrossRef]
- Mu, L.; Zhu, J.; Fan, J.; Zhou, Z.; Shi, Y.; Feng, X.; Wang, H.; Lu, X. Self-lubricating polytetrafluoroethylene/polyimide blends reinforced with zinc oxide nanoparticles. J. Nanomater. 2015, 2015, 1–8. [Google Scholar] [CrossRef]
- Xin, Y.; Xu, F.; Wang, M.; Li, T. Synergistic effects of carbon nanotube/nano-MoS2 hybrid on tribological performance of polyimide nanocomposite films. Tribol. Lett. 2017, 66. [Google Scholar] [CrossRef]
- Min, C.; Liu, D.; Shen, C.; Zhang, Q.; Song, H.; Li, S.; Shen, X.; Zhu, M.; Zhang, K. Unique synergistic effects of graphene oxide and carbon nanotube hybrids on the tribological properties of polyimide nanocomposites. Tribol. Int. 2018, 117, 217–224. [Google Scholar] [CrossRef]
- Li, Y.; Wang, S.; Wang, Q. A molecular dynamics simulation study on enhancement of mechanical and tribological properties of polymer composites by introduction of graphene. Carbon 2017, 111, 538–545. [Google Scholar] [CrossRef]
- Liu, D.; Zhao, W.; Liu, S.; Cen, Q.; Xue, Q. Comparative tribological and corrosion resistance properties of epoxy composite coatings reinforced with functionalized fullerene C60 and graphene. Surf. Coat. Technol. 2016, 286, 354–364. [Google Scholar] [CrossRef]
- Liu, L.; Zhou, M.; Jin, L.; Li, L.; Mo, Y.; Su, G.; Li, X.; Zhu, H.; Tian, Y. Recent advances in friction and lubrication of graphene and other 2D materials: Mechanisms and applications. Friction 2019, 7, 199–216. [Google Scholar] [CrossRef]
- Jenkins, P.; Siddique, S.; Khan, S.; Usman, A.; Starost, K.; MacPherson, A.; Bari, P.; Mishra, S.; Njuguna, J. Influence of reduced graphene oxide on epoxy/carbon fiber-reinforced hybrid composite: Flexural and shear properties under varying temperature conditions. Adv. Eng. Mater. 2019, 21, 1800614. [Google Scholar] [CrossRef]
- Li, W.; Zhao, W.; Mao, L.; Zhou, S.; Liu, C.; Fang, Z.; Gao, X. Investigating the fluorination degree of FG nanosheets on the tribological properties of FG/PI composite coatings. Prog. Org. Coat. 2020, 139, 105481. [Google Scholar] [CrossRef]
- Kalin, M.; Kogovšek, J.; Remškar, M. Mechanisms and improvements in the friction and wear behavior using MoS2 nanotubes as potential oil additives. Wear 2012, 280–281, 36–45. [Google Scholar] [CrossRef]
- Yuan, H.; Liu, X.; Ma, L.; Yang, Z.; Wang, H.; Wang, J.; Yang, S. Application of two-dimensional MoS2 nanosheets in the property improvement of polyimide matrix: Mechanical and thermal aspects. Compos. Part A-Appl. S. 2017, 95, 220–228. [Google Scholar] [CrossRef]
- Yuan, H.; Yang, S.; Liu, X.; Wang, Z.; Ma, L.; Hou, K.; Yang, Z.; Wang, J. Polyimide-based lubricating coatings synergistically enhanced by MoS2@HCNF hybrid. Compos. Part A-Appl. S. 2017, 102, 9–17. [Google Scholar] [CrossRef]
- Xin, Y.; Li, T.; Gong, D.; Xu, F.; Wang, M. Preparation and tribological properties of graphene oxide/nano-MoS2 hybrid as multidimensional assembly used in the polyimide nanocomposites. RSC Adv. 2017, 7, 6323–6335. [Google Scholar] [CrossRef]
- Wu, J.; Mu, L.; Zhu, J.; Feng, X.; Lu, X.; Larsson, R.; Shi, Y. Synthesis of hollow fullerene-like molybdenum disulfide/reduced graphene oxide nanocomposites with excellent lubricating properties. Carbon 2018, 134, 423–430. [Google Scholar] [CrossRef]
- Rapoport, L.; Nepomnyashchy, O.; Verdyan, A.; Popovitz-Biro, R.; Volovik, Y.; Ittah, B.; Tenne, R. Polymer nanocomposites with fullerene-like solid lubricant. Adv. Eng. Mater. 2004, 6, 44–48. [Google Scholar] [CrossRef]
- Loy, X.Z.K.; Sinha, S.K. Lubrication of polyether ether ketone (PEEK) surface by liquid ultrathin films for high wear durability. Wear 2012, 296, 681–692. [Google Scholar] [CrossRef]
- Shi, Y.; Mu, L.; Feng, X.; Lu, X. Friction and Wear Behavior of CF/PTFE composites lubricated by choline chloride ionic liquids. Tribol. Lett. 2013, 49, 413–420. [Google Scholar] [CrossRef]
- Wu, J.; Zhu, J.; Mu, L.; Shi, Y.; Dong, Y.; Feng, X.; Lu, X. High load capacity with ionic liquid-lubricated tribological system. Tribol. Int. 2016, 94, 315–322. [Google Scholar] [CrossRef]
- Wu, J.; Lu, X.; Feng, X.; Shi, Y. Halogen-free ionic liquids as excellent lubricants for PEEK-stainless steel contacts at elevated temperatures. Tribol. Int. 2016, 104, 1–9. [Google Scholar] [CrossRef]
- Zhao, F.; Li, G.; Zhang, G.; Wang, T.; Wang, Q. Hybrid effect of ZnS sub-micrometer particles and reinforcing fibers on tribological performance of polyimide under oil lubrication conditions. Wear 2017, 380–381, 86–95. [Google Scholar] [CrossRef]
- Yin, X.; Wu, J.; Li, C.; Lu, X.; Feng, X.; Shi, Y. Right way of using graphene oxide additives for water-lubricated PEEK: Adding in polymer or water? Tribol. Lett. 2018, 66. [Google Scholar] [CrossRef]
- Wang, X.B.; Liu, W.M. Nanoparticle-based lubricant additives. In Encyclopedia of Tribology; Wang, Q.J., Chung, Y.-W., Eds.; Springer: New York, NJ, USA, 2013; pp. 2369–2376. ISBN 978-0-387-92898-2. [Google Scholar]
- Zhu, J.; Feng, X.; Shi, Y.; Wang, H.; Lu, X. Tribological and mechanical properties of carbon nanofiber-filled polytetrafluoroethylene/polyimide composites. J. Nanosci. Nanotechnol. 2009, 9, 5958–5965. [Google Scholar] [CrossRef]
- Shi, Y.; Feng, X.; Wang, H.; Lu, X.; Shen, J. Tribological and mechanical properties of carbon-nanofiber-filled polytetrafluoroethylene composites. J. Appl. Polym. Sci. 2007, 104, 2430–2437. [Google Scholar] [CrossRef]
- Shi, Y.; Li, C.; He, D.; Shen, L.; Bao, N. Preparation of graphene oxide–cellulose acetate nanocomposite membrane for high-flux desalination. J. Mater. Sci. 2017, 52, 13296–13306. [Google Scholar] [CrossRef]
- Zhou, K.; Jiang, S.; Shi, Y.; Liu, J.; Wang, B.; Hu, Y.; Gui, Z. Multigram-scale fabrication of organic modified MoS2 nanosheets dispersed in polystyrene with improved thermal stability, fire resistance, and smoke suppression properties. RSC Adv. 2014, 4, 40170–40180. [Google Scholar] [CrossRef]
- Dong, F.; Hou, G.; Cao, F.; Yan, F.; Liu, L.; Wang, J. The lubricity and reinforcement of carbon fibers in polyimide at high temperatures. Tribol. Int. 2016, 101, 291–300. [Google Scholar] [CrossRef]










| PI Coatings | Tonset(a) (°C) | Td5(b) (°C) | Td10(c) (°C) | Residual Amount at 800 °C (%) |
|---|---|---|---|---|
| PI | 506.6 ± 2.2 | 505.6 ± 1.8 | 520.4 ± 1.5 | 47.5 ± 1.6 |
| 0.5%HIF-MoS2/r-GO/PI | 510.0 ± 0.4 | 516.7 ± 1.8 | 528.0 ± 1.5 | 58.6 ± 2.0 |
| 1.0%HIF-MoS2/r-GO/PI | 515.6 ± 0.3 | 524.9 ± 0.5 | 535.7 ± 0.8 | 63.5 ± 0.8 |
| 1.5%HIF-MoS2/r-GO/PI | 519.3 ± 0.5 | 527.2 ± 1.1 | 536.7 ± 1.2 | 65.0 ± 2.1 |
| 2.0%HIF-MoS2/r-GO/PI | 514.1 ± 0.4 | 524.0 ± 0.7 | 534.7 ± 0.4 | 61.0 ± 1.2 |
| 0.5%CNF/PI | 506.5 ± 1.9 | 507.7 ± 1.9 | 520.6 ± 1.7 | 51.8 ± 0.2 |
| 1.0%CNF/PI | 506.3 ± 0.7 | 507.3 ± 0.6 | 519.7 ± 0.7 | 51.8 ± 1.4 |
| 1.5%CNF/PI | 508.2 ± 2.0 | 508.1 ± 1.3 | 521.4 ± 0.3 | 52.0 ± 1.5 |
| 2.0%CNF/PI | 508.0 ± 1.5 | 507.2 ± 2.0 | 521.0 ± 0.6 | 49.7 ± 1.4 |
Publisher’s Note: MDPI stays neutral with regard to jurisdictional claims in published maps and institutional affiliations. |
© 2020 by the authors. Licensee MDPI, Basel, Switzerland. This article is an open access article distributed under the terms and conditions of the Creative Commons Attribution (CC BY) license (http://creativecommons.org/licenses/by/4.0/).
Share and Cite
Wu, J.; Yin, X.; Mu, L.; Feng, X.; Lu, X.; Shi, Y. Hollow IF-MoS2/r-GO Nanocomposite Filled Polyimide Coating with Improved Mechanical, Thermal and Tribological Properties. Coatings 2021, 11, 25. https://doi.org/10.3390/coatings11010025
Wu J, Yin X, Mu L, Feng X, Lu X, Shi Y. Hollow IF-MoS2/r-GO Nanocomposite Filled Polyimide Coating with Improved Mechanical, Thermal and Tribological Properties. Coatings. 2021; 11(1):25. https://doi.org/10.3390/coatings11010025
Chicago/Turabian StyleWu, Jian, Xiang Yin, Liwen Mu, Xin Feng, Xiaohua Lu, and Yijun Shi. 2021. "Hollow IF-MoS2/r-GO Nanocomposite Filled Polyimide Coating with Improved Mechanical, Thermal and Tribological Properties" Coatings 11, no. 1: 25. https://doi.org/10.3390/coatings11010025
APA StyleWu, J., Yin, X., Mu, L., Feng, X., Lu, X., & Shi, Y. (2021). Hollow IF-MoS2/r-GO Nanocomposite Filled Polyimide Coating with Improved Mechanical, Thermal and Tribological Properties. Coatings, 11(1), 25. https://doi.org/10.3390/coatings11010025

