TXA11114: Discovery of an In Vivo Efficacious Efflux Pump Inhibitor (EPI) That Potentiates Levofloxacin Against Pseudomonas aeruginosa
Abstract
1. Introduction
2. Results and Discussion
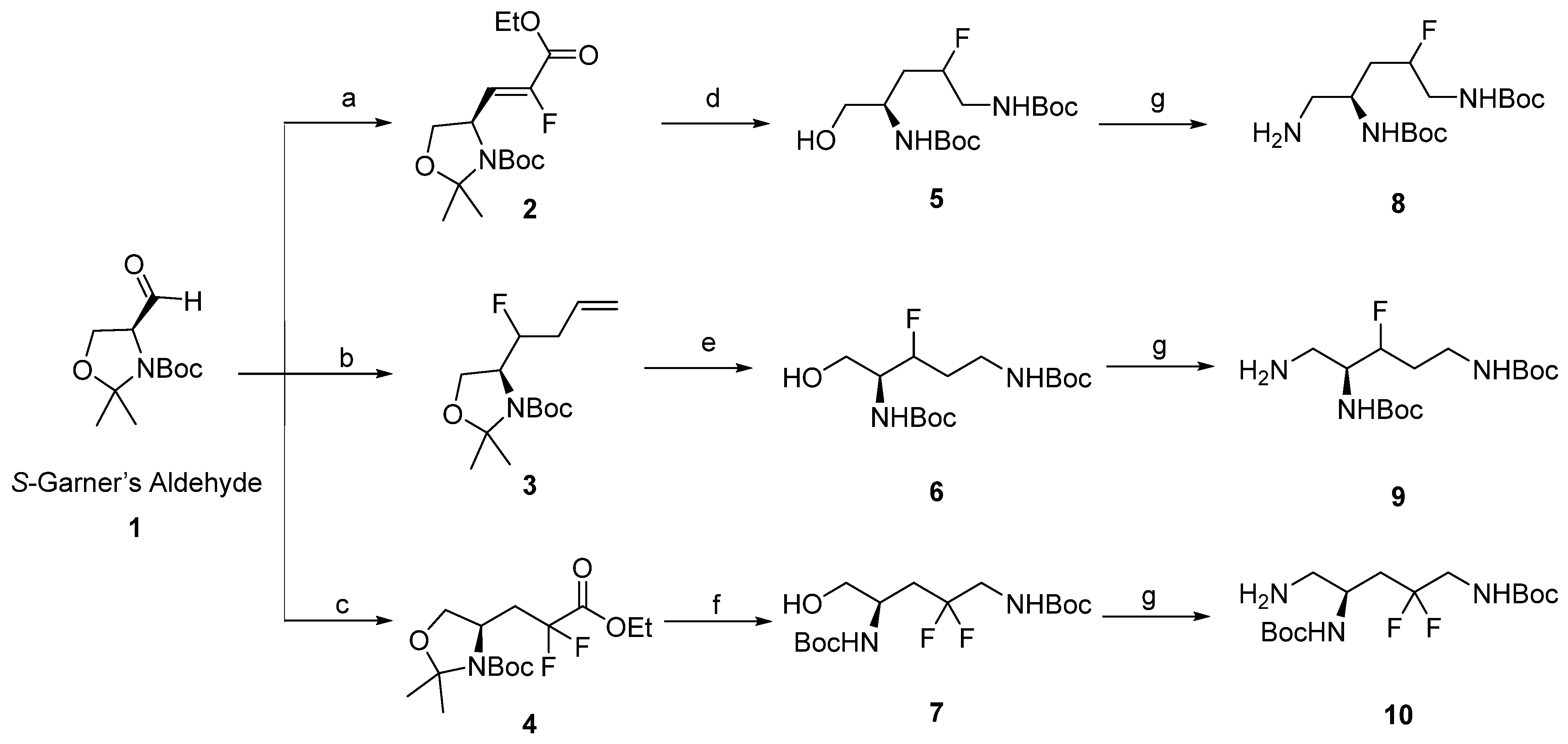
2.1. Synthesis of Fluorinated EPI Analogs
2.2. Evaluation of the Fluorinated EPIs for Their Potentiation of Levofloxacin
2.3. TXA11114 Potentiates Antibiotics with Efflux Liabilities
2.4. TXA11114 Demonstrates Broad Levofloxacin Potentiation Across MDR P. aeruginosa Clinical Isolates
2.5. TXA11114 Does Not Affect Outer- and Inner-Membrane Integrity in P. aeruginosa
2.6. TXA11114 Blocks Efflux of Ethidium Bromide and Levofloxacin
2.7. TXA11114 Shows No Effect on the Inner-Membrane Potential and Cellular ATP Content
2.8. TXA11114 Potentiates Levofloxacin in Efflux Pump Overexpressed Strains
2.9. TXA11114 Prolonged the Levofloxacin Post-Antibiotic Effect
2.10. TXA11114–Levofloxacin Combination Has Undetectable Level of Resistance in Drug-Sensitive and Drug-Resistant Strains
2.11. Genetic Study of TXA11114 Resistance in P. aeruginosa
2.12. TXA11114 Promotes Bacterial Killing by Levofloxacin
2.13. TXA11114 Has Good Physiochemical and ADME Properties
2.14. TXA11114 Has a Low Cardiotoxicity Potential
2.15. TXA11114 Shows No Evidence of Acute Nephrotoxicity in an Initial Rat Screen
2.16. TXA11114 and Levofloxacin Have Complementary Pharmacokinetic Profile
2.17. TXA11114 Has Improved Acute Toxicity Profile
2.18. TXA11114 and Levofloxacin Combination Is Efficacious in Murine Thigh and Lung Infection Models
3. Materials and Methods
3.1. Bacterial Strains, Media, and Reagents
3.2. Determination of Minimum Inhibitory Concentration (MIC)
3.3. Flow Cytometry Assay for Permeabilization of Inner Cell Membranes to Propidium Iodide (PI)
3.4. Nitrocefin Cellular Assay for Outer Cell Membrane Permeabilization
3.5. Assessment of Ethidium Bromide (EtBr) Efflux Inhibition
3.6. Levofloxacin Accumulation Assay
3.7. Membrane Polarization Assay
3.8. Determination of Intracellular ATP Levels
3.9. Determination of Frequency of Resistance (FoR) Levofloxacin Resistance in P. aeruginosa
3.10. Identification of Mutation by Whole-Genome Sequencing
3.11. Time-Kill Studies
3.12. Determination of Post-Antibiotic Effect (PAE) by Measuring Turbidity
3.13. Ion Channel Method
3.14. Pharmacokinetic Evaluation of TXA11114 Alone and in Combination with Levofloxacin in a Murine P. aeruginosa Lung Infection Model
3.15. Evaluation of EPI–Levofloxacin Combination Efficacy in Murine Infection Models
3.15.1. Thigh Infection Model
3.15.2. Lung Infection Model
3.16. ADME Studies with TXA11114 (Conducted by Sai Life Sciences Ltd.)
3.16.1. Aqueous Solubility
3.16.2. Cytochrome P450 Inhibition
3.16.3. Microsomal Stability
3.16.4. Cytotoxicity
3.16.5. cLogP and PSA
3.16.6. Protein Binding
3.16.7. Plasma Stability
3.17. Synthetic Procedures and Characterization Data
General Methods
- Synthesis of Intermediates 5–10
- Synthetic protocols for the amine intermediate 8 (di-tert-butyl ((4R)-5-amino-2-fluoropentane-1,4-diyl)dicarbamate)
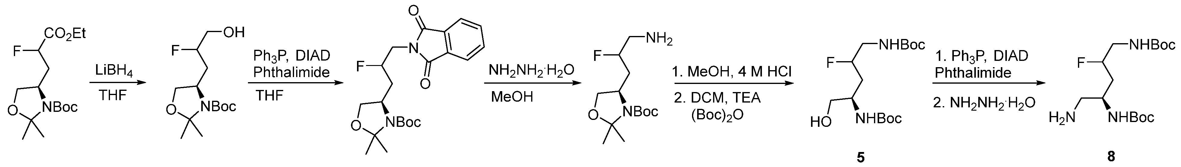
- Synthetic protocols for the synthesis of amine intermediate 9 (di-tert-butyl ((4S)-5-amino-3-fluoropentane-1,4-diyl)dicarbamate) (Figure 12)Figure 12. Synthetic route to access fluorinated triamine 9.
- tert-butyl (4S)-4-(1-hydroxybut-3-en-1-yl)-2,2-dimethyloxazolidine-3-carboxylate (Figure 12, step 1)
- (2S)-2-amino-3-fluorohex-5-en-1-ol
- tert-butyl (4S)-4-(1-fluoro-3-hydroxypropyl)-2,2-dimethyloxazolidine-3-carboxylate (Figure 12, step 3)
- tert-butyl (4S)-4-(3-(1,3-dioxoisoindolin-2-yl)-1-fluoropropyl)-2,2-dimethyloxazolidine-3-carboxylate (Figure 12, step 4)
- di-tert-butyl ((4S)-5-(1,3-dioxoisoindolin-2-yl)-3-fluoropentane-1,4-diyl)dicarbamate (Figure 12, step 6)
- Synthetic protocols for the synthesis of the amin-difluoro derivative 10 (di-tert-butyl (5-amino-2,2-difluoropentane-1,4-diyl)(R)-dicarbamate)
- tert-butyl (R)-4-(3-(1,3-dioxoisoindolin-2-yl)-2,2-difluoropropyl)-2,2-dimethyloxazolidine-3-carboxylate (Figure 13, step 1, via triflate intermediate)Figure 13. Synthetic protocols for the synthesis of difluoro triamine derivative 10.
- tert-butyl (R)-4-(3-(1,3-dioxoisoindolin-2-yl)-2,2-difluoropropyl)-2,2-dimethyloxazolidine-3-carboxylate (Figure 13, step 3, via Mitsunobu reaction)
- 2.
- Synthesis of Intermediates 11
- Synthetic protocols for the carboxylic acid 11 (6-(4-fluorophenyl)-1H-indole-2-carboxylic acid)
- ethyl 6-(4-fluorophenyl)-1H-indole-2-carboxylate (Figure 14, step 1)Figure 14. Synthetic route for the carboxylic acid derivative 11.
- 6-(4-fluorophenyl)-1H-indole-2-carboxylic acid 11(Figure 14, step 2)
- 3.
- Synthesis and Characterization Data of TXA Compounds
- Synthetic protocols for amide TXA11114: (N-((2R)-2,5-diamino-4-fluoropentyl)-6-(4-fluorophenyl)-1H-indole-2-carboxamide)
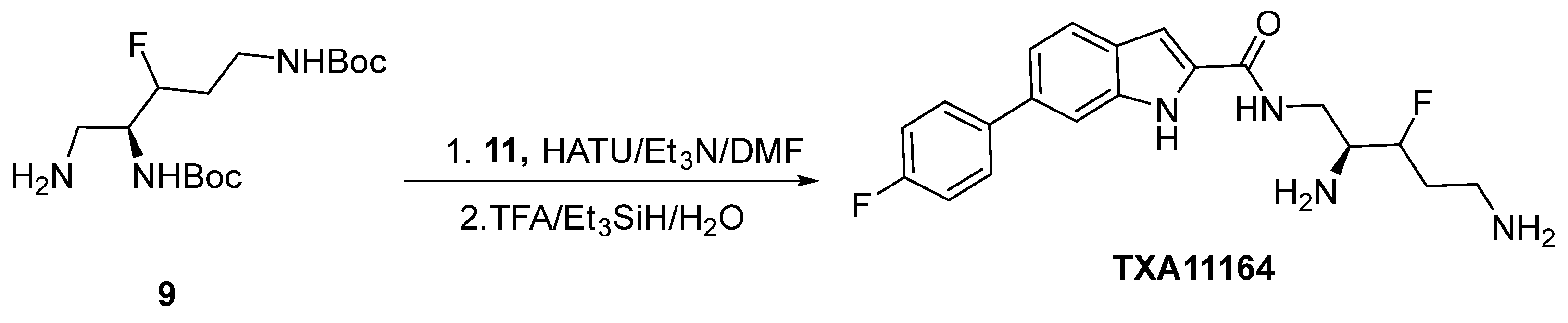
- Synthetic protocols for the amide TXA11164: (N-((2S)-2,5-diamino-3-fluoropentyl)-6-(4-fluorophenyl)-1H-indole-2-carboxamide)
- Synthetic protocols for amide TXA12027 (R)-N-(2,5-diamino-4,4-difluoropentyl)-6-(4-fluorophenyl)-1H-indole-2-carboxamide
4. Conclusions
5. Patents
Supplementary Materials
Author Contributions
Funding
Institutional Review Board Statement
Data Availability Statement
Acknowledgments
Conflicts of Interest
Abbreviations
References
- CDC. Antibiotic Resistance Threats in the United States, 2019; Department of Health and Human Services, CDC: Atlanta, GA, USA, 2019.
- Centers for Disease Control and Prevention. Antimicrobial Resistance Threats in the United States, 2021–2022; Centers for Disease Control and Prevention: Atlanta, GA, USA, 2024.
- Reygaert, W.C. An overview of the antimicrobial resistance mechanisms of bacteria. AIMS Microbiol. 2018, 4, 482–501. [Google Scholar] [CrossRef]
- Yuan, Y.; Rosado-Lugo, J.D.; Zhang, Y.; Datta, P.; Sun, Y.; Cao, Y.; Banerjee, A.; Parhi, A.K. Evaluation of Heterocyclic Carboxamides as Potential Efflux Pump Inhibitors in Pseudomonas aeruginosa. Antibiotics 2021, 11, 30. [Google Scholar] [CrossRef]
- Reynolds, D.; Kollef, M. The Epidemiology and Pathogenesis and Treatment of Pseudomonas aeruginosa Infections: An Update. Drugs 2021, 81, 2117–2131. [Google Scholar] [CrossRef]
- Spencer, J.; Chukwuma, U. Annual Surveillance Summary: Pseudomonas aeruginosa Infections in the Military Health System (MHS), 2017; (NMCPHC-EDC-TR-379-2018); EpiData Center Department, Navy and Marine Corps Public Health Center: Portsmouth, VA, USA, 2018.
- Schweizer, H.P. Understanding efflux in Gram-negative bacteria: Opportunities for drug discovery. Expert. Opin. Drug Discov. 2012, 7, 633–642. [Google Scholar] [CrossRef]
- Lister, P.D.; Wolter, D.J.; Hanson, N.D. Antibacterial-resistant Pseudomonas aeruginosa: Clinical impact and complex regulation of chromosomally encoded resistance mechanisms. Clin. Microbiol. Rev. 2009, 22, 582–610. [Google Scholar] [CrossRef]
- Poole, K. Multidrug efflux pumps and antimicrobial resistance in Pseudomonas aeruginosa and related organisms. J. Mol. Microbiol. Biotechnol. 2001, 3, 255–264. [Google Scholar]
- Poole, K.; Srikumar, R. Multidrug efflux in Pseudomonas aeruginosa: Components, mechanisms and clinical significance. Curr. Top. Med. Chem. 2001, 1, 59–71. [Google Scholar] [CrossRef]
- Serra, C.; Bouharkat, B.; Tir Touil-Meddah, A.; Guenin, S.; Mullie, C. MexXY Multidrug Efflux System Is More Frequently Overexpressed in Ciprofloxacin Resistant French Clinical Isolates Compared to Hospital Environment Ones. Front. Microbiol. 2019, 10, 366. [Google Scholar] [CrossRef]
- Blanco, P.; Sanz-Garcia, F.; Hernando-Amado, S.; Martinez, J.L.; Alcalde-Rico, M. The development of efflux pump inhibitors to treat Gram-negative infections. Expert Opin. Drug Discov. 2018, 13, 919–931. [Google Scholar] [CrossRef]
- Wang, Y.; Venter, H.; Ma, S. Efflux Pump Inhibitors: A Novel Approach to Combat Efflux-Mediated Drug Resistance in Bacteria. Curr. Drug Targets 2016, 17, 702–719. [Google Scholar] [CrossRef]
- Terzi, H.; Kulah, C.; Atasoy, A.; Ciftci, I. Investigation of OprD Porin Protein Levels in Carbapenem-Resistant Pseudomonas aeruginosa Isolates. Jundishapur J. Microbiol. 2015, 8, e25952. [Google Scholar] [CrossRef]
- Li, H.; Luo, Y.F.; Williams, B.J.; Blackwell, T.S.; Xie, C.M. Structure and function of OprD protein in Pseudomonas aeruginosa: From antibiotic resistance to novel therapies. Int. J. Med. Microbiol. 2012, 302, 63–68. [Google Scholar] [CrossRef]
- Van Duin, D.; Doi, Y. The global epidemiology of carbapenemase-producing Enterobacteriaceae. Virulence 2017, 8, 460–469. [Google Scholar] [CrossRef]
- Woodworth, K.R.; Walters, M.S.; Weiner, L.M.; Edwards, J.R.; Brown, A.C.; Huang, J.Y.; Malik, S.; Slayton, R.B.; Paul, P.; Caper, C.; et al. Vital signs: Containment of novel multidrug-resistant organisms and resistance mechanisms-United States, 2006–2017. MMWR Morb. Mortal. Wkly. Rep. 2018, 67, 396–401. [Google Scholar] [CrossRef]
- Lomovskaya, O.; Warren, M.S.; Lee, A.; Galazzo, J.; Fronko, R.; Lee, M.; Blais, J.; Cho, D.; Chamberland, S.; Renau, T.; et al. Identification and characterization of inhibitors of multidrug resistance efflux pumps in Pseudomonas aeruginosa: Novel agents for combination therapy. Antimicrob. Agents Chemother. 2001, 45, 105–116. [Google Scholar] [CrossRef]
- Pages, J.M.; Masi, M.; Barbe, J. Inhibitors of efflux pumps in Gram-negative bacteria. Trends Mol. Med. 2005, 11, 382–389. [Google Scholar] [CrossRef]
- Renau, T.E.; Leger, R.; Filonova, L.; Flamme, E.M.; Wang, M.; Yen, R.; Madsen, D.; Griffith, D.; Chamberland, S.; Dudley, M.N.; et al. Conformationally-restricted analogues of efflux pump inhibitors that potentiate the activity of levofloxacin in Pseudomonas aeruginosa. Bioorganic Med. Chem. Lett. 2003, 13, 2755–2758. [Google Scholar] [CrossRef]
- Yoshida, K.; Nakayama, K.; Ohtsuka, M.; Kuru, N.; Yokomizo, Y.; Sakamoto, A.; Takemura, M.; Hoshino, K.; Kanda, H.; Nitanai, H.; et al. MexAB-OprM specific efflux pump inhibitors in Pseudomonas aeruginosa. Part 7: Highly soluble and in vivo active quaternary ammonium analogue D13-9001, a potential preclinical candidate. Bioorganic Med. Chem. 2007, 15, 7087–7097. [Google Scholar] [CrossRef]
- Opperman, T.J.; Kwasny, S.M.; Kim, H.S.; Nguyen, S.T.; Houseweart, C.; D’Souza, S.; Walker, G.C.; Peet, N.P.; Nikaido, H.; Bowlin, T.L. Characterization of a novel pyranopyridine inhibitor of the AcrAB efflux pump of Escherichia coli. Antimicrob. Agents Chemother. 2014, 58, 722–733. [Google Scholar] [CrossRef]
- Lomovskaya, O.; Bostian, K.A. Practical applications and feasibility of efflux pump inhibitors in the clinic—A vision for applied use. Biochem. Pharmacol. 2006, 71, 910–918. [Google Scholar] [CrossRef]
- Humphries, R.M.; Ambler, J.; Mitchell, S.L.; Castanheira, M.; Dingle, T.; Hindler, J.A.; Koeth, L.; Sei, K. CLSI Methods Development and Standardization Working Group of the Subcommittee on Antimicrobial Susceptibility Testing. CLSI Methods Development and Standardization Working Group Best Practices for Evaluation of Antimicrobial Susceptibility Tests. J. Clin. Microbiol. 2018, 56, e01934-17, Erratum in J. Clin. Microbiol. 2023, 61, e00739-23. https://doi.org/10.1128/jcm.00739-23.. [Google Scholar] [CrossRef] [PubMed]
- Compagne, N.; Vieira Da Cruz, A.; Müller, R.T.; Hartkoorn, R.C.; Flipo, M.; Pos, K.M. Update on the Discovery of Efflux Pump Inhibitors against Critical Priority Gram-Negative Bacteria. Antibiotics 2023, 12, 180. [Google Scholar] [CrossRef] [PubMed]
- Farrell, L.J.; Lo, R.; Wanford, J.J.; Jenkins, A.; Maxwell, A.; Piddock, L.J.V. Revitalizing the drug pipeline: AntibioticDB, an open access database to aid antibacterial research and development. J. Antimicrob. Chemother. 2018, 73, 2284–2297. [Google Scholar] [CrossRef]
- Li, X.Z.; Plesiat, P.; Nikaido, H. The challenge of efflux-mediated antibiotic resistance in Gram-negative bacteria. Clin. Microbiol. Rev. 2015, 28, 337–418. [Google Scholar] [CrossRef] [PubMed]
- Mahmood, H.Y.; Jamshidi, S.; Sutton, J.M.; Rahman, K.M. Current Advances in Developing Inhibitors of Bacterial Multidrug Efflux Pumps. Curr. Med. Chem. 2016, 23, 1062–1081. [Google Scholar] [CrossRef]
- Xu, F.; Xie, Y.; Yu, W.; Wang, Z. Breaking the outer membrane barrier: Structure, targets, and antimicrobial strategies for Gram-negative bacteria. Front. Microbiol. 2026, 17, 1734749. [Google Scholar] [CrossRef]
- TAXIS Pharmaceuticals Inc. Tackling resistance in multidrug-resistant bacterial infections. Biopharma Deal. 2020, 14, B23. [Google Scholar]
- Zhang, Y.; Rosado-Lugo, J.D.; Datta, P.; Sun, Y.; Cao, Y.; Banerjee, A.; Yuan, Y.; Parhi, A.K. Evaluation of a Conformationally Constrained Indole Carboxamide as a Potential Efflux Pump Inhibitor in Pseudomonas aeruginosa. Antibiotics 2022, 11, 716. [Google Scholar] [CrossRef]
- Grunewald, G.L.; Seim, M.R.; Lu, J.; Makboul, M.; Criscione, K.R. Application of the Goldilocks effect to the design of potent and selective inhibitors of phenylethanolamine N-methyltransferase: Balancing pKa and steric effects in the optimization of 3-methyl-1,2,3,4-tetrahydroisoquinoline inhibitors by beta-fluorination. J. Med. Chem. 2006, 49, 2939–2952. [Google Scholar] [CrossRef]
- Kramer, C.; Fuchs, J.E.; Whitebread, S.; Gedeck, P.; Liedl, K.R. Matched molecular pair analysis: Significance and the impact of experimental uncertainty. J. Med. Chem. 2014, 57, 3786–3802. [Google Scholar] [CrossRef]
- Swallow, S. Fluorine in medicinal chemistry. Prog. Med. Chem. 2015, 54, 65–133. [Google Scholar] [CrossRef] [PubMed]
- Ekins, S.; Crumb, W.J.; Sarazan, R.D.; Wikel, J.H.; Wrighton, S.A. Three-dimensional quantitative structure-activity relationship for inhibition of human ether-a-go-go-related gene potassium channel. J. Pharmacol. Exp. Ther. 2002, 301, 427–434. [Google Scholar] [CrossRef] [PubMed]
- Hughes, J.D.; Blagg, J.; Price, D.A.; Bailey, S.; Decrescenzo, G.A.; Devraj, R.V.; Ellsworth, E.; Fobian, Y.M.; Gibbs, M.E.; Gilles, R.W.; et al. Physiochemical drug properties associated with in vivo toxicological outcomes. Bioorganic Med. Chem. Lett. 2008, 18, 4872–4875. [Google Scholar] [CrossRef] [PubMed]
- Kramer, C.; Beck, B.; Kriegl, J.M.; Clark, T. A composite model for HERG blockade. ChemMedChem 2008, 3, 254–265. [Google Scholar] [CrossRef]
- Lee, E.C.; Steeno, G.; Wassermann, A.M.; Zhang, L.; Shah, F.; Price, D.A. Amine promiscuity and toxicology analysis. Bioorganic Med. Chem. Lett. 2017, 27, 653–657. [Google Scholar] [CrossRef]
- Meanwell, N.A. Improving drug candidates by design: A focus on physicochemical properties as a means of improving compound disposition and safety. Chem. Res. Toxicol. 2011, 24, 1420–1456. [Google Scholar] [CrossRef]
- Wang, S.; Li, Y.; Xu, L.; Li, D.; Hou, T. Recent developments in computational prediction of HERG blockage. Curr. Top. Med. Chem. 2013, 13, 1317–1326. [Google Scholar] [CrossRef]
- Yoshida, K.; Niwa, T. Quantitative structure-activity relationship studies on inhibition of HERG potassium channels. J. Chem. Inf. Model. 2006, 46, 1371–1378. [Google Scholar] [CrossRef]
- Goldman, S.D.; Funk, R.S.; Rajewski, R.A.; Krise, J.P. Mechanisms of amine accumulation in, and egress from, lysosomes. Bioanalysis 2009, 1, 1445–1459. [Google Scholar] [CrossRef]
- Mingeot-Leclercq, M.P.; Tulkens, P.M. Aminoglycosides: Nephrotoxicity. Antimicrob. Agents Chemother. 1999, 43, 1003–1012. [Google Scholar] [CrossRef]
- Gillis, E.P.; Eastman, K.J.; Hill, M.D.; Donnelly, D.J.; Meanwell, N.A. Applications of Fluorine in Medicinal Chemistry. J. Med. Chem. 2015, 58, 8315–8359. [Google Scholar] [CrossRef] [PubMed]
- Shah, P.; Westwell, A.D. The role of fluorine in medicinal chemistry. J. Enzym. Inhib. Med. Chem. 2007, 22, 527–540. [Google Scholar] [CrossRef] [PubMed]
- Hallinan, E.A.; Kramer, S.W.; Houdek, S.C.; Moore, W.M.; Jerome, G.M.; Spangler, D.P.; Stevens, A.M.; Shieh, H.S.; Manning, P.T.; Pitzele, B.S. 4-Fluorinated L-lysine analogs as selective i-NOS inhibitors: Methodology for introducing fluorine into the lysine side chain. Org. Biomol. Chem. 2003, 1, 3527–3534. [Google Scholar] [CrossRef] [PubMed]
- Doi, Y.; Ishibashi, M.; Kobayashi, J. Total synthesis of pseudodistomin C, a sphingosine-related piperidine alkaloid from tunicate Pseudodistoma kanoko. Tetrahedron 1996, 52, 4573–4580. [Google Scholar] [CrossRef]
- William, R.; Roush, J.A. Hunt Symmetric Allylboration of 2-N,3-O-Isopropylidene-N-Boc-L-serinal: Diastereoselective Synthesis of the Calicheamicin γ1I Amino Sugar. J. Org. Chem. 1995, 60, 798–806. [Google Scholar]
- Qiu, J.; Silverman, R.B. A new class of conformationally rigid analogues of 4-amino-5-halopentanoic acids, potent inactivators of aminobutyric acid aminotransferase. J. Med. Chem. 2000, 43, 706–720. [Google Scholar] [CrossRef]
- Martin, N.I.; Woodward, J.J.; Winter, M.B.; Marletta, M.A. 4,4-Difluorinated analogues of L-arginine and NG-hydroxy-L-arginine as mechanistic probes for nitric oxide synthase. Bioorganic Med. Chem. Lett. 2009, 19, 1758–1762. [Google Scholar] [CrossRef]
- Meffre, P.; Dave, R.; Leroy, J.; Badet, B. A concise synthesis of l-4,4-difluoroglutamine. Tetrahedron Lett. 2001, 42, 8625–8627. [Google Scholar] [CrossRef]
- Sobel, M.L.; McKay, G.A.; Poole, K. Contribution of the MexXY multidrug transporter to aminoglycoside resistance in Pseudomonas aeruginosa clinical isolates. Antimicrob. Agents Chemother. 2003, 47, 3202–3207. [Google Scholar] [CrossRef]
- Lebreton, F.; Snesrud, E.; Hall, L.; Mills, E.; Galac, M.; Stam, J.; Ong, A.; Maybank, R.; Kwak, Y.I.; Johnson, S.; et al. A panel of diverse Pseudomonas aeruginosa clinical isolates for research and development. JAC Antimicrob. Resist. 2021, 3, dlab179. [Google Scholar] [CrossRef]
- Braz, V.S.; Furlan, J.P.; Fernandes, A.F.; Stehling, E.G. Mutations in NalC induce MexAB-OprM overexpression resulting in high level of aztreonam resistance in environmental isolates of Pseudomonas aeruginosa. FEMS Microbiol. Lett. 2016, 363, fnw166. [Google Scholar] [CrossRef]
- Choudhury, D.; Ghose, A.; Dhar Chanda, D.; Das Talukdar, A.; Dutta Choudhury, M.; Paul, D.; Maurya, A.P.; Chakravarty, A.; Bhattacharjee, A. Premature Termination of MexR Leads to Overexpression of MexAB-OprM Efflux Pump in Pseudomonas aeruginosa in a Tertiary Referral Hospital in India. PLoS ONE 2016, 11, e0149156. [Google Scholar] [CrossRef]
- Maeda, T.; Garcia-Contreras, R.; Pu, M.; Sheng, L.; Garcia, L.R.; Tomas, M.; Wood, T.K. Quorum quenching quandary: Resistance to antivirulence compounds. ISME J. 2012, 6, 493–501. [Google Scholar] [CrossRef] [PubMed]
- Pai, H.; Kim, J.; Kim, J.; Lee, J.H.; Choe, K.W.; Gotoh, N. Carbapenem resistance mechanisms in Pseudomonas aeruginosa clinical isolates. Antimicrob. Agents Chemother. 2001, 45, 480–484. [Google Scholar] [CrossRef] [PubMed]
- Pan, Y.P.; Xu, Y.H.; Wang, Z.X.; Fang, Y.P.; Shen, J.L. Overexpression of MexAB-OprM efflux pump in carbapenem-resistant Pseudomonas aeruginosa. Arch. Microbiol. 2016, 198, 565–571. [Google Scholar] [CrossRef]
- Bruchmann, S.; Dotsch, A.; Nouri, B.; Chaberny, I.F.; Haussler, S. Quantitative contributions of target alteration and decreased drug accumulation to Pseudomonas aeruginosa fluoroquinolone resistance. Antimicrob. Agents Chemother. 2013, 57, 1361–1368. [Google Scholar] [CrossRef]
- Kugelberg, E.; Lofmark, S.; Wretlind, B.; Andersson, D.I. Reduction of the fitness burden of quinolone resistance in Pseudomonas aeruginosa. J. Antimicrob. Chemother. 2005, 55, 22–30. [Google Scholar] [CrossRef]
- Nguyen, K.V.; Nguyen, T.V.; Nguyen, H.T.T.; Le, D.V. Mutations in the gyrA, parC, and mexR genes provide functional insights into the fluoroquinolone-resistant Pseudomonas aeruginosa isolated in Vietnam. Infect. Drug Resist. 2018, 11, 275–282. [Google Scholar] [CrossRef]
- Stiefel, P.; Schmidt-Emrich, S.; Maniura-Weber, K.; Ren, Q. Critical aspects of using bacterial cell viability assays with the fluorophores SYTO9 and propidium iodide. BMC Microbiol. 2015, 15, 36. [Google Scholar] [CrossRef] [PubMed] [PubMed Central]
- Zack, K.M.; Sorenson, T.; Joshi, S.G. Types and Mechanisms of Efflux Pump Systems and the Potential of Efflux Pump Inhibitors in the Restoration of Antimicrobial Susceptibility, with a Special Reference to Acinetobacter baumannii. Pathogens 2024, 13, 197. [Google Scholar] [CrossRef]
- Konai, M.M.; Haldar, J. Lysine-Based Small Molecule Sensitizes Rifampicin and Tetracycline against Multidrug-Resistant Acinetobacter baumannii and Pseudomonas aeruginosa. ACS Infect. Dis. 2020, 6, 91–99. [Google Scholar] [CrossRef]
- Mahey, N.; Tambat, R.; Chandal, N.; Verma, D.K.; Thakur, K.G.; Nandanwar, H. Repurposing Approved Drugs as Fluoroquinolone Potentiators to Overcome Efflux Pump Resistance in Staphylococcus aureus. Microbiol. Spectr. 2021, 9, e0095121. [Google Scholar] [CrossRef]
- Hudson, M.A.; Siegele, D.A.; Lockless, S.W. Use of a Fluorescence-Based Assay to Measure Escherichia coli Membrane Potential Changes in High Throughput. Antimicrob. Agents Chemother. 2020, 64, e00910-20. [Google Scholar] [CrossRef]
- Novo, D.; Perlmutter, N.G.; Hunt, R.H.; Shapiro, H.M. Accurate flow cytometric membrane potential measurement in bacteria using diethyloxacarbocyanine and a ratiometric technique. Cytometry 1999, 35, 55–63. [Google Scholar] [CrossRef]
- Aghazadeh, M.; Hojabri, Z.; Mahdian, R.; Nahaei, M.R.; Rahmati, M.; Hojabri, T.; Pirzadeh, T.; Pajand, O. Role of efflux pumps: MexAB-OprM and MexXY(-OprA), AmpC cephalosporinase and OprD porin in non-metallo-beta-lactamase producing Pseudomonas aeruginosa isolated from cystic fibrosis and burn patients. Infect. Genet. Evol. 2014, 24, 187–192. [Google Scholar] [CrossRef] [PubMed]
- Boutoille, D.; Corvec, S.; Caroff, N.; Giraudeau, C.; Espaze, E.; Caillon, J.; Plesiat, P.; Reynaud, A. Detection of an IS21 insertion sequence in the mexR gene of Pseudomonas aeruginosa increasing beta-lactam resistance. FEMS Microbiol. Lett. 2004, 230, 143–146. [Google Scholar] [CrossRef] [PubMed]
- Castanheira, M.; Mills, J.C.; Farrell, D.J.; Jones, R.N. Mutation-driven beta-lactam resistance mechanisms among contemporary ceftazidime-nonsusceptible Pseudomonas aeruginosa isolates from U.S. hospitals. Antimicrob. Agents Chemother. 2014, 58, 6844–6850. [Google Scholar] [CrossRef]
- Jalal, S.; Wretlind, B. Mechanisms of quinolone resistance in clinical strains of Pseudomonas aeruginosa. Microb. Drug Resist. 1998, 4, 257–261. [Google Scholar] [CrossRef]
- Llanes, C.; Hocquet, D.; Vogne, C.; Benali-Baitich, D.; Neuwirth, C.; Plesiat, P. Clinical strains of Pseudomonas aeruginosa overproducing MexAB-OprM and MexXY efflux pumps simultaneously. Antimicrob. Agents Chemother. 2004, 48, 1797–1802. [Google Scholar] [CrossRef]
- Moosavi, S.M.; Pouresmaeil, O.; Zandi, H.; Emadi, S.; Akhavan, F.; Torki, A.; Astani, A. The Evaluation of Antibiotic Resistance and nalB Mutants in Pseudomonas eruginosa Isolated from Burnt Patients of Shohada Mehrab Yazd Hospital Burn Ward. Rep. Biochem. Mol. Biol. 2020, 9, 140–146. [Google Scholar] [CrossRef]
- Suresh, M.; Nithya, N.; Jayasree, P.R.; Vimal, K.P.; Manish Kumar, P.R. Mutational analyses of regulatory genes, mexR, nalC, nalD and mexZ of mexAB-oprM and mexXY operons, in efflux pump hyperexpressing multidrug-resistant clinical isolates of Pseudomonas aeruginosa. World J. Microbiol. Biotechnol. 2018, 34, 83. [Google Scholar] [CrossRef]
- Oliver, A.; Canton, R.; Campo, P.; Baquero, F.; Blazquez, J. High frequency of hypermutable Pseudomonas aeruginosa in cystic fibrosis lung infection. Science 2000, 288, 1251–1254. [Google Scholar] [CrossRef] [PubMed]
- Hirvas, L.; Coleman, J.; Koski, P.; Vaara, M. Bacterial ‘histone-like protein I’ (HLP-I) is an outer membrane constituent? FEBS Lett. 1990, 262, 123–126. [Google Scholar] [CrossRef] [PubMed]
- Dotsch, A.; Becker, T.; Pommerenke, C.; Magnowska, Z.; Jansch, L.; Haussler, S. Genomewide identification of genetic determinants of antimicrobial drug resistance in Pseudomonas aeruginosa. Antimicrob. Agents Chemother. 2009, 53, 2522–2531. [Google Scholar] [CrossRef] [PubMed]
- Peng, X.; Xu, C.; Ren, H.; Lin, X.; Wu, L.; Wan, S. Proteomic analysis of the sarcosine-insoluble outer membrane fraction of Pseudomonas aeruginosa responding to ampicillin, kanamycin, and tetracycline resistance. J. Proteome Res. 2005, 4, 2257–2265. [Google Scholar] [CrossRef]
- Babu, M.; Diaz-Mejia, J.J.; Vlasblom, J.; Gagarinova, A.; Phanse, S.; Graham, C.; Yousif, F.; Ding, H.; Xiong, X.; Nazarians-Armavil, A.; et al. Genetic interaction maps in Escherichia coli reveal functional crosstalk among cell envelope biogenesis pathways. PLoS Genet. 2011, 7, e1002377. [Google Scholar] [CrossRef]
- Goemans, C.; Denoncin, K.; Collet, J.F. Folding mechanisms of periplasmic proteins. Biochim. Biophys. Acta 2014, 1843, 1517–1528. [Google Scholar] [CrossRef]
- Jarchow, S.; Luck, C.; Gorg, A.; Skerra, A. Identification of potential substrate proteins for the periplasmic Escherichia coli chaperone Skp. Proteomics 2008, 8, 4987–4994. [Google Scholar] [CrossRef]
- Rosenberg, E.Y.; Ma, D.; Nikaido, H. AcrD of Escherichia coli is an aminoglycoside efflux pump. J. Bacteriol. 2000, 182, 1754–1756. [Google Scholar] [CrossRef]
- Korndörfer, I.P.; Dommel, M.K.; Skerra, A. Structure of the periplasmic chaperone Skp suggests functional similarity with cytosolic chaperones despite differing architecture. Nat. Struct. Mol. Biol. 2004, 11, 1015–1020. [Google Scholar] [CrossRef] [PubMed]
- Rázquin-Olazarán, I.; Shahrour, H.; Martínez-de-Tejada, G. A synthetic peptide sensitizes multi-drug-resistant Pseudomonas aeruginosa to antibiotics for more than two hours and permeabilizes its envelope for twenty hours. J. Biomed. Sci. 2020, 27, 85. [Google Scholar] [CrossRef] [PubMed] [PubMed Central]
- Walton, T.A.; Sousa, M.C. Crystal structure of Skp, a prefoldin-like chaperone that protects soluble and membrane proteins from aggregation. Mol. Cell 2004, 15, 367–374. [Google Scholar] [CrossRef] [PubMed]
- Fernández-Ballester, G.; Fernández-Carvajal, A.; González-Ros, J.M.; Ferrer-Montiel, A. Ionic channels as targets for drug design: A review on computational methods. Pharmaceutics 2011, 3, 932–953. [Google Scholar] [CrossRef] [PubMed]
- Mahey, N.; Tambat, R.; Verma, D.K.; Chandal, N.; Thakur, K.G.; Nandanwar, H. Antifungal Azoles as Tetracycline Resistance Modifiers in Staphylococcus aureus. Appl. Environ. Microbiol. 2021, 87, e0015521. [Google Scholar] [CrossRef]

















| TXA01182 | TXA09155 | TXA11114 | TXA11164 | TXA12027 | |
|---|---|---|---|---|---|
| EPI MIC (µg/mL) | 100 | 50 | 100 | >200 | 100 |
| LVX * MIC (+EPI) | 0.125 | 0.063 | 0.125 | 1 | 1 |
| Fold MIC reduction [LVX/EPI-LVX] | 8 | 16 | 8 | 1 | 1 |
| Antibiotics | MIC (μg/mL), (Fold Difference) | |||
|---|---|---|---|---|
| No EPI | TXA11114 * | TXA09155 * | TXA01182 * | |
| Aztreonam | 8 | 4, (2) | 2, (4) | 2, (4) |
| Cefepime | 2 | 0.5, (4) | 0.5, (4) | 1, (2) |
| Cefpirome | 8 | 2, (4) | 1, (8) | 4, (2) |
| Ceftazidime | 2 | 0.5, (4) | 0.125, (16) | 1, (2) |
| Ceftobiprole | 8 | 2, (4) | 1, (8) | 8, (1) |
| Gentamicin | 2 | 2, (1) | 2, (1) | 2, (1) |
| Imipenem # | 4 | 4, (1) | 4, (1) | 4, (1) |
| Levofloxacin | 1 | 0.125, (8) | 0.063, (16) | 0.125, (8) |
| Cotrimoxazole | 256 | 32, (8) | 8, (32) | 16, (>16) |
| Doxycycline | 32 | 4, (8) | 1, (32) | 2, (16) |
| Minocycline | 32 | 2, (16) | 0.5, (64) | 1, (32) |
| Chloramphenicol | >256 | 64, (>4) | 16, (>16) | 32, (>8) |
| Strain | Levofloxacin MIC (μg/mL), (Fold Difference) | Resistance Mechanisms | ||||
|---|---|---|---|---|---|---|
| No EPI | +TXA11114 (6.25 μg/mL) | +TXA09155 (6.25 μg/mL) | +MC-04,124 (50 μg/mL) | +PAβN (50 μg/mL) | ||
| AR-0229 | 64 | 2, (32) | 2, (32) | 64, (1) | 64, (1) | gyrA-T83I, nalC-G71E, mexR-V126Q, OXA-50, PAO |
| AR-0232 | 8 | 0.5, (16) | 0.5, (16) | 8, (1) | 0.5, (16) | gyrA-T83I, nalC-G71E, mexR-V126Q, aadA6, OXA-50, PAO, strA, strB, sul1, tet(C) |
| AR-0233 | 4 | 0.5, (8) | 0.125, (32) | 4, (1) | 4, (1) | catB7, OXA-50, PAO |
| AR-0234 | 8 | 0.25, (32) | 0.5, (16) | 8, (1) | 0.5, (16) | gyrA-T83I, nalC-G71E, mexR-V126Q, aadA6, OXA-50, PAO, strA, strB, tet(C) |
| AR-0239 | 32 | 8, (4) | 4, (16) | 64, (1) | 8, (8) | gyrA-T83I, nalC-G71E, mexR-V126Q, aac(6′)-IIa, aadB, aph(3′)-Ic, cmlA1, dfrB5, GES-1, OXA-10, OXA-50, strA, strB, tet(G), VIM-11 |
| AR-0242 | 8 | 2, (4) | 1, (16) | 4, (2) | 0.5, (16) | aac(3)-Id, aadA2, cmlA1, dfrB5, OXA-4, OXA-50, PAO, VIM-2 |
| AR-0244 | 64 | 8, (8) | 2, (64) | 64, (1) | 64, (1) | gyrA-T133H, nalC-G71E, mexR-V126Q, OXA-50 |
| AR-0246 | 64 | 8, (8) | 8, (8) | 64, (1) | 64, (1) | gyrA-T83I, nalC-G71E, mexR-V126Q, aadB, NDM-1, OXA-10, OXA-50, PAO, rmtD2, tet(G), VEB-1 |
| AR-0248 | 16 | 2, (8) | 0.5, (32) | 16, (1) | 16, (1) | aac(3)-Id, aadA2, cmlA1, dfrB5, OXA-4, OXA-50, PAO, tet(G), VIM-2 |
| AR-0249 | 64 | 4, (16) | 2, (32) | 64, (1) | 8, (8) | gyrA-T83I, nalC-G71E, aac(3)-Id, aadA2, cmlA1, dfrB5, OXA-4, OXA-50, PAO, tet(G), VIM-2 |
| AR-0252 | 32 | 4, (8) | 0.5, (64) | 32, (1) | 1, (32) | aadA1, aadA6, OXA-2, OXA-50, PAO, sul1 |
| AR-0253 | 2 | 0.125, (16) | 0.031, (64) | 2, (1) | 0.031, (64) | catB7, OXA-50, PAO |
| AR-0264 | 64 | 4, (16) | 1, (32) | 64, (1) | 64, (1) | gyrA-D87Y, nalC-G71E, OXA-50, PAO |
| Strains | Levofloxacin MIC (μg/mL), (Fold Difference) | Fluoroquinolones and Efflux Resistance Mechanisms | |
|---|---|---|---|
| No EPI | +TXA11114 (6.25 μg/mL) | ||
| MRSN #8130 | 16 | 2, (8) | nalC-G71E, gyrA-D87N |
| MRSN #994 | 16 | 2, (8) | gyrA-T83I, mexR-V126E |
| MRSN #1344 | 8 | 0.25, (16) | mexR-V126E, nalC-G71E |
| MRSN #3587 | 8 | 1, (8) | nalC-LOF |
| MRSN #3705 | 8 | 0.25, (32) | nalC-LOF, parS-A115D |
| MRSN #5498 | 32 | 4, (8) | mexR-V126E, nalC-G71E |
| MRSN #5519 | 64 | 4, (16) | gyrA-T83I, mexR-V126E, parC-S87L |
| MRSN #5539 | 16 | 8, (2) | gyrA-T83I |
| MRSN #6220 | 128 | 8, (16) | gyrA-T83I, parC-S87L |
| MRSN #6241 | 8 | 2, (4) | mexR-V126E |
| MRSN #6678 | 32 | 4, (8) | gyrA-T83I, parC-S87L |
| MRSN # 6695 | 8 | 0.5, (16) | mexR-V126E, nalC-G71E, gyrA-T83I |
| MRSN #8139 | 8 | 1, (8) | nalC-G71E, gyrA-T83I |
| MRSN #8912 | 16 | 2, (8) | gyrA-T83I, nalC-A145V |
| MRSN #8914 | 16 | 2, (8) | gyrA-T83I, parE-S457G |
| MRSN #8915 | 128 | 64, (2) | gyrA-T83I, gyrA-D87N, parC-S87L, parS-L137P |
| MRSN #14981 | 16 | 1, (16) | mexR-V126E, nalC-G71E |
| MRSN #15566 | 8 | 0.25, (32) | mexR-V126E, nalC-G71E |
| MRSN #16344 | 8 | 0.5, (16) | mexR-V126E, nalC-G71E, gyrA-D87N |
| MRSN #369569 | 32 | 4, (8) | mexR-V126E, nalC-G71E, gyrA-T133M |
| Antibiotics | MIC Ratio of Antibiotics Alone/(Antibiotics + 6.25 µg/mL TXA11114) | ||
|---|---|---|---|
| K767 (WT) | K1455 (↑mexAB-oprM) | K1119 (∆mexAB-oprM) | |
| Levofloxacin | 8 | 16 | 2 |
| Doxycycline | 8 | 32 | 2 |
| Chloramphenicol | 4 | 16 | 2 |
| Cefepime | 8 | 16 | 2 |
| Ceftazidime | 4 | 8 | 2 |
| Imipenem * | 1 | 1 | 1 |
| P. aeruginosa | Levofloxacin 4× MIC (μg/mL) | TXA11114 (μg/mL) | Frequency of Resistance |
|---|---|---|---|
| ATCC 27853 | 4 | 0 | 3.80 × 10−8 |
| 6.25 | <1.04 × 10−10 | ||
| CDC AR-0232 | 32 | 0 | 1.68 × 10−8 |
| 6.25 | <1.00 × 10−10 | ||
| CDC AR-0248 | 64 | 0 | 8.64 × 10−8 |
| 6.25 | <1.47 × 10−10 | ||
| CDC AR-0249 | 256 | 0 | 2.15 × 10−8 |
| 6.25 | <8.77 × 10−11 |
| Resistance to | Parent Strain | FoR # | Strain Name | Mutation | Gene Role |
|---|---|---|---|---|---|
| TXA11114 alone (4X-MIC) | P. aeruginosa ATCC 27853 | <3.09 × 10−9 | NA | NA | NA |
| TXA11114 alone (1X-MIC) | 1.80 × 10−6 | EPIR32 | ompH-E63X * | Skp-like periplasmic chaperone | |
| EPIR36 | ompH-Q127X * | ||||
| EPIR38 | ompH-Q70X * | ||||
| TXA11114 (¼X-MIC) + LVX (1X-MIC) | P. aeruginosa DA7232 | <1.46 × 10−9 | NA | NA | NA |
| Human | Dog | Rat | Mouse | ||||||
|---|---|---|---|---|---|---|---|---|---|
| Protein Binding (%) | 99.0 | 98.9 | 98.5 | 98.9 | |||||
| Plasma stability t1/2 (min) | >120 | >120 | >120 | >120 | |||||
| Microsome Stability t1/2 (min) | >60 | ND | >60 | ND | |||||
| Compound | MW | Aqueous solubility (µM) at pH 7.4 | cLogP | PSA | CYP Inhibition IC50 (µM) | ||||
| 1A2 | 2C9 | 2C19 | 2D6 | 3A4 | |||||
| TXA09155 | 366.19 | 155 ± 3 | 2.61 | ND | >100 | >100 | >100 | 67.2 | 28.5 |
| TXA11114 | 372.42 | 145.9 ± 6.1 | 2.34 | 93.17 | >100 | >100 | >100 | >100 | 63 |
| Compound | Concentration | Ion Channel | % Inhibition (n = 2) |
|---|---|---|---|
| TXA09155 | 10 µM | Nav1.5 | 0.1 |
| hERG | 9.2 | ||
| Cav1.2 | 12.7 | ||
| TXA11114 | Nav1.5 | −3.7 | |
| hERG | 10.9 | ||
| Cav1.2 | 0.2 |
| Blood Urea Nitrogen (mg/dL) | Creatine (mg/dL) | |
|---|---|---|
| TXA11114 | 15.3 | 0.22 |
| Normal Male Rat Mean | 16.0 | 0.28 |
Disclaimer/Publisher’s Note: The statements, opinions and data contained in all publications are solely those of the individual author(s) and contributor(s) and not of MDPI and/or the editor(s). MDPI and/or the editor(s) disclaim responsibility for any injury to people or property resulting from any ideas, methods, instructions or products referred to in the content. |
© 2026 by the authors. Licensee MDPI, Basel, Switzerland. This article is an open access article distributed under the terms and conditions of the Creative Commons Attribution (CC BY) license.
Share and Cite
Rosado-Lugo, J.D.; Datta, P.; Altiti, A.; Zhang, Y.; Lu, J.; Yuan, Y.; Parhi, A.K. TXA11114: Discovery of an In Vivo Efficacious Efflux Pump Inhibitor (EPI) That Potentiates Levofloxacin Against Pseudomonas aeruginosa. Antibiotics 2026, 15, 346. https://doi.org/10.3390/antibiotics15040346
Rosado-Lugo JD, Datta P, Altiti A, Zhang Y, Lu J, Yuan Y, Parhi AK. TXA11114: Discovery of an In Vivo Efficacious Efflux Pump Inhibitor (EPI) That Potentiates Levofloxacin Against Pseudomonas aeruginosa. Antibiotics. 2026; 15(4):346. https://doi.org/10.3390/antibiotics15040346
Chicago/Turabian StyleRosado-Lugo, Jesus D., Pratik Datta, Ahmad Altiti, Yongzheng Zhang, Jun Lu, Yi Yuan, and Ajit K. Parhi. 2026. "TXA11114: Discovery of an In Vivo Efficacious Efflux Pump Inhibitor (EPI) That Potentiates Levofloxacin Against Pseudomonas aeruginosa" Antibiotics 15, no. 4: 346. https://doi.org/10.3390/antibiotics15040346
APA StyleRosado-Lugo, J. D., Datta, P., Altiti, A., Zhang, Y., Lu, J., Yuan, Y., & Parhi, A. K. (2026). TXA11114: Discovery of an In Vivo Efficacious Efflux Pump Inhibitor (EPI) That Potentiates Levofloxacin Against Pseudomonas aeruginosa. Antibiotics, 15(4), 346. https://doi.org/10.3390/antibiotics15040346

