Cannabinoids as Antibacterial Agents: A Systematic and Critical Review of In Vitro Efficacy Against Streptococcus and Staphylococcus
Abstract
1. Introduction
2. Results
2.1. Characteristics and Quality of the Selected Studies
2.2. The Antistaphylococcal Effects of Cannabinoids
| Reference | Compound/Extract/EO | Bacteria (Type/Source) | Antimicrobial Outcome (MIC, MBC) | Reference Data |
|---|---|---|---|---|
| Muscara et al., 2021 [68] | 0.1% acetic acid/hexane extract of dried flowering tops of C. sativa Chinese accession (G-309) as such and after hydrodistillation of the essential oil | MRSA (n = 19) (clinical isolates) | MBC (mg/L) = 39.06–78.13 (both extracts) | MBC (mg/L) VAN = 0.31–0.62 |
| Sarmadyan et al., 2014 [72] | Hydro-alcoholic extract of C. sativa | MRSA | MIC (mg/L) = 50 | |
| Muscara et al., 2021 [67] | 0.1% acetic acid/hexane extract of dried flowering tops C. sativa L. var. fibrante as such and after hydrodistillation of the essential oil | MRSA (n = 19) (clinical isolates) | MBC (mg/L) = 4.88–78.13 | MBC (mg/L) VAN = 0.32–0.64 |
| Abichabki et al., 2022 [56] | CBD | MRSA (ATCC 43300, N315, ATCC 700698 [Mu3], ATCC 700699 [Mu50]) | MIC (mg/L) = 4 | PMB (MIC not given) |
| Wassmann et al., 2020 [75] | CBD | MRSA (USA300 FPR3757) | MIC (mg/L) = 4 | - |
| Schuetz et al., 2021 [57] | CBD, CBG | MRSA (ATCC 33591) | MIC (mg/L) CBD = 1.56 CBG = 1.82 | MIC (mg/L) DOX = 20.83 |
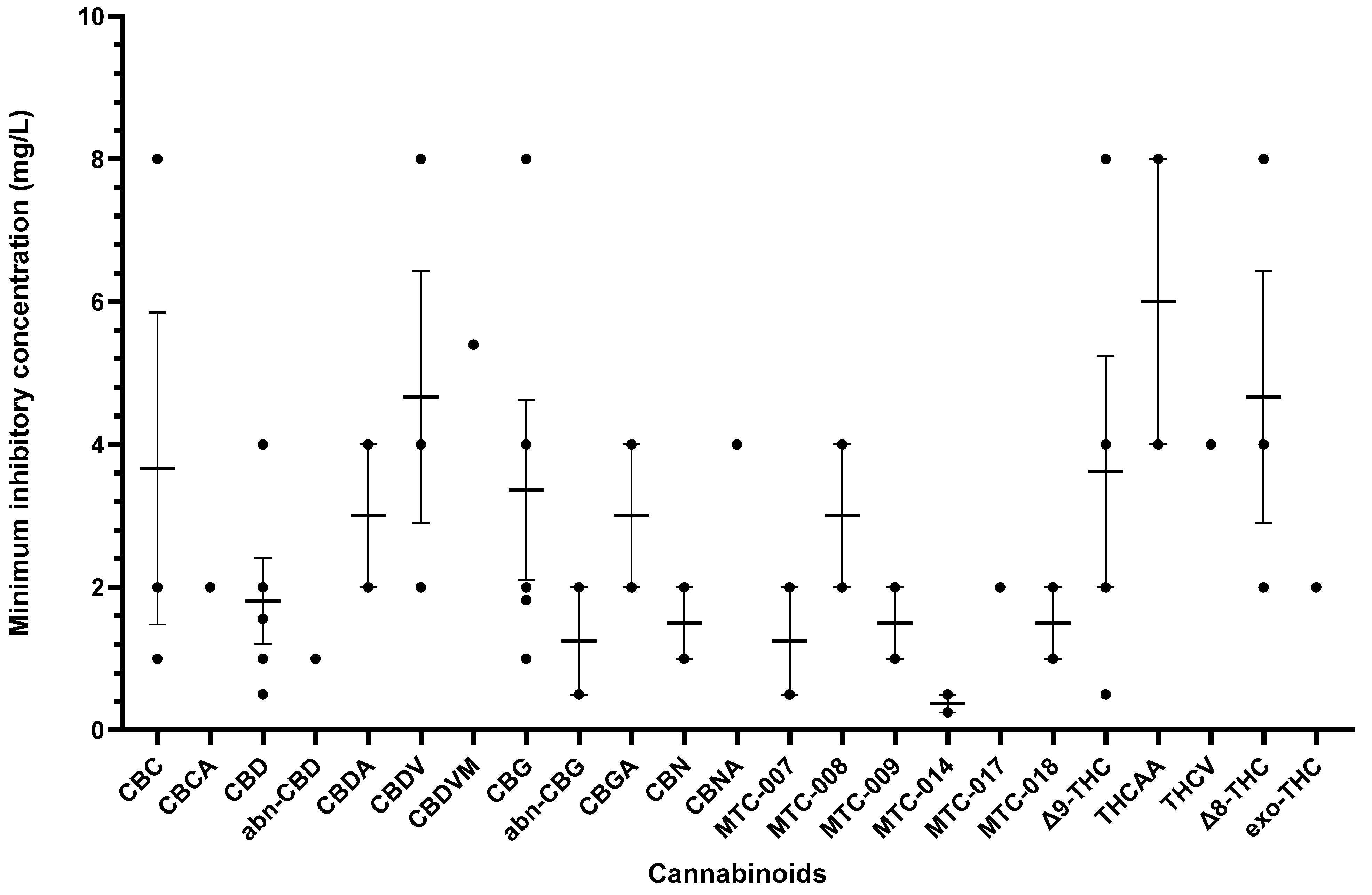
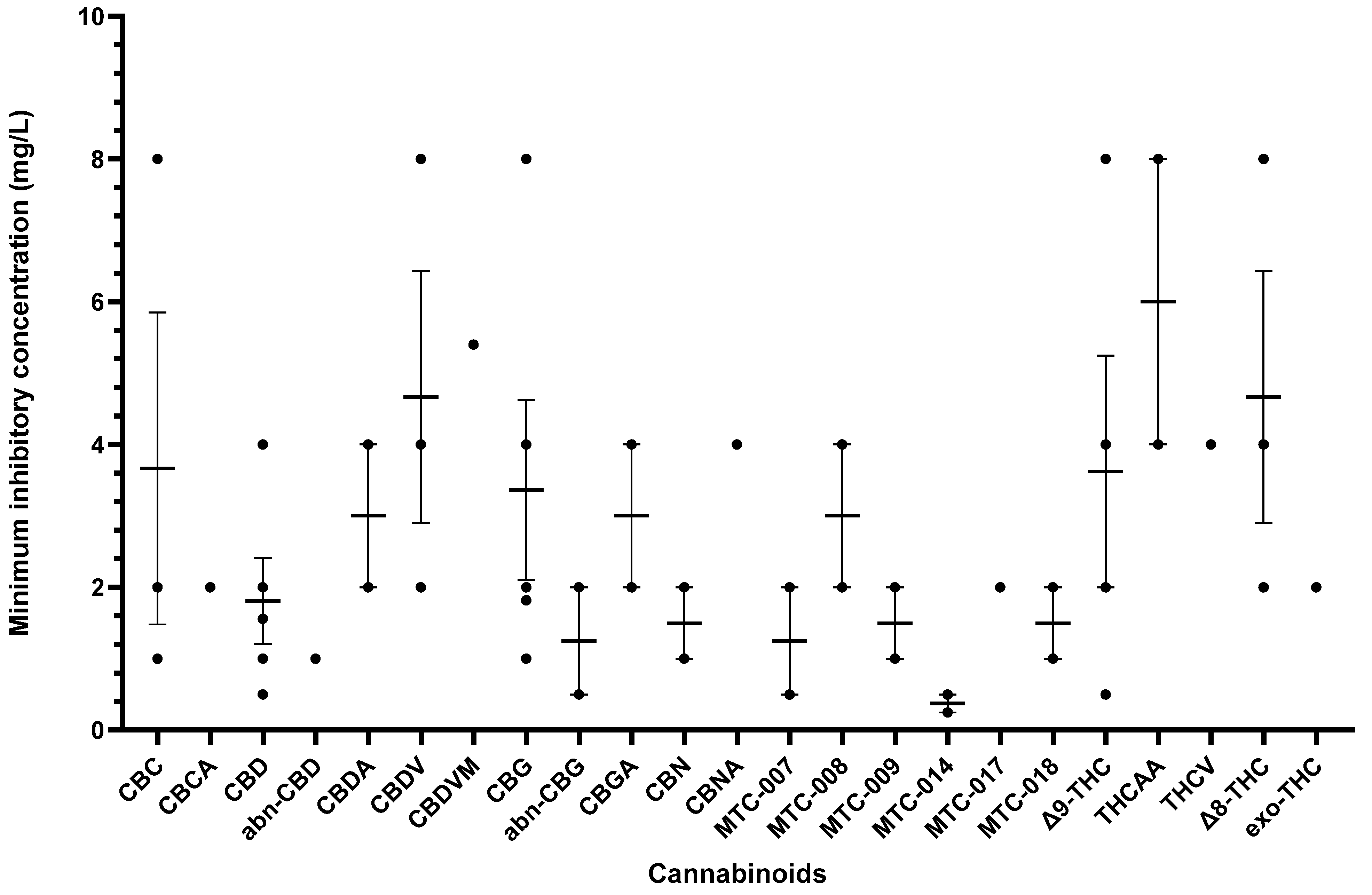
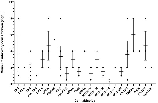
| Blaskovich et al., 2021 [40] | CBD, CBDA, CBDV, 7-hydroxycannabidiol, MTC-002, MTC-005, MTC-007, MTC-008, MTC-009, MTC-011, MTC-012, MTC-013, MTC-014, MTC-017, MTC-018, 7-nor-7-carboxycannabidiol, 7-nor-7-hydroxymethyl-cannabidivarin, 7-nor-7-carboxy-cannabidivarin, Δ9-THC [80,81], THCV, THCVA, THCA-A, Δ8-THC, CBG, CBGA, CBNA | Aerobic assay MRSA (n ≥ 4) (ATCC 43300, ATCC 700699:NRS-1, ATCC 33591, clinical isolates) VRSA (n ≥ 4) (VRS1) Anaerobic assay MRSA (n ≥ 4) (ATCC 43300) | Aerobic assay MIC (mg/L) against MRSA (ATCC 43300) CBD = 1–2 CBDA = 16–32 CBDV = 2–4 7-hydroxycannabidiol = 16 MTC-002 = 16 MTC-005 = 16 MTC-007 = 0.5–2 MTC-008 = 2–4 MTC-009 = 1–2 MTC-011 ≥ 64 MTC-012 > 64 MTC-013 > 64 MTC-014 = 0.25–0.5 MTC-017 = 2 MTC-018 = 1–2 7-nor-7-carboxycannabidiol ≥ 64 7-nor-7-hydroxymethyl-cannabidivarin = 64 7-nor-7-carboxy-cannabidivarin >64 Δ9-THC = 4–8 THCV = 64 THCVA = 32–64 THCA-A = 8 Δ8-THC = 4–8 CBG = 4–8 CBGA = 2–4 CBNA = 4–16 MIC (mg/L) against MRSA (NRS1) CBD = 1–4 MIC (mg/L) against VRSA CBD = 1–2 Anaerobic assay MIC (mg/L) against MRSA CBD = 1–2 | Aerobic assay MIC (mg/L) against MRSA VAN = 0.5–4 DAP = 0.5–8 TMP = 2–4 Mupirocin = 0.125–0.5 CLI ≥ 64 MIC (mg/L) against VRSA VAN > 64 DAP = 1–4 TMP >64 Mupirocin = 32–64 CLI >64 Anaerobic assay MIC (mg/L) against MRSA VAN = 05–1 ERY > 32 TET = 0.06–0.25 Mupirocin = 0.03–0.06 CLI > 32 |
| Farha et al., 2020 [39] | CBC, CBCA, CBD, CBDA, CBDV, CBDVA, CBG, CBGA, CBL, CBN, (−)Δ8-THC, (−)Δ9-THC, exo-THC, THCAA, THCV, THCVA, (±)11-nor-9-carboxy- Δ9-THC, (±)11-hydroxy- Δ9-THC | MRSA (n = 1) (USA300) | MIC (mg/L) CBC = 8 CBCA = 2 CBD = 2 CBDA = 16 CBDV = 8 CBDVA = 32 CBG = 2 CBGA = 4 CBL > 32 CBN = 2 Δ9-THC = 2 Δ8-THC = 2 exo-THC = 2 THCAA = 4 THCV = 4 THCVA = 16 (±)11-nor-9-carboxy- Δ9-THC > 32 (±)11-hydroxy Δ9-THC > 32 | |
| Appendino et al., 2008 [59] | Δ9-THC, 3′-bis-prenyl CBD, abn-CBD, carmagerol, CBC, CBD, CBD-di-Ac [82], CBDA [83], CBDM [84], CBD dimethyl ether [84], CBDA methyl ester [85], CBG, CBGA [86], CBGA methyl ester, CBG-di-Ac, CBG monomethyl ether, CBG dimethyl ether, CBN, phenethyl ester of CBDA, phenethyl ester of CBGA, THCAA [39] | MRSA (n = 6) (SA-1199B, RN-4220, XU212, ATCC25923, EMRSA-15, EMRSA-16) | MIC (mg/L) CBDA = 2 CBD = 0.5–1 CBC = 1–2 CBGA = 2–4 CBG = 1–2 CBGA methyl ester (tested against SA-1199B and XU212): 64 THCAA = 4–8 Δ9-THC = 0.5–2 CBN (tested against SA-1199B, RN-4220, XU212, ATCC25923, EMRSA-15) = 1 abn-CBD = 1 abn-CBG (tested against SA-1199B, RN-4220, XU212, ATCC25923, EMRSA-15) = 0.5–2 carmagerol = 16–32 CBD-di-Ac > 128 CBDM > 128 CBD dimethyl ether > 128 CBDA methyl ester > 128 phenethyl ester of CBDA > 128 CBG-di-Ac > 128 CBG monomethyl ether > 128 CBG dimethyl ether > 128 phenethyl ester of CBGA > 128 3′-bis-prenyl CBD > 128 | Norfloxacin = 0.5–128 ERY = 0.25–>128 TET = 0.125–128 OXA = 0.125–>128 |
| Galletta et al., 2020 [63] | CBCA, CBCM, CBCTFA, CBDVM, CBLM | MRSA (n = 1) (Clinical isolate) | MIC (µM) CBCA = 3.9 (1.4 mg/L) CBCTFA > 250 CBLM > 250 CBCM > 250 CBDVM = 15.6 (5.4 mg/L) | - |
| Martinenghi et al., 2020 [66] | CBD, CBDA | MRSA (n = 1) (USA300) | MIC (mg/L) CBD = 1 CBDA = 4 | MIC (mg/L) CLI = 128 TOB = 1 MEM = 16 OFX = 64 |
2.3. The Synergistic and Additive Effects of Cannabinoids
2.4. Antibiofilm Effects
2.5. The Antistreptococcal Effects of Cannabinoids
2.6. Structure–Activity Relationships in Cannabinoids and Antibacterial Implication
- Monoterpene Region (C10): This region is crucial for synthesising THC-type tricyclic cannabinoids through rearrangements and cyclisation.
- Aromatic Alkyl Side Chain: Usually consisting of a 5xC chain in cannabinoids, called olivetoids, variations include 3xC varinoids (e.g., CBDV, CBDVM), 1xC orcoids (CBC-C1), and resorcinoids without side chains (e.g., CBC-C0).
- Resorcinol Group: Comprised of two phenolic hydroxyl groups, this part can form cannabinoids like Δ9-THC through cyclisation with monoterpenes. These groups may also be subject to O-methylation and O-acetylation reactions.

3. Discussion
3.1. Safety Profile of Cannabinoids
3.2. Pre-Clinical Effectiveness
3.3. Efficacy of Cannabinoids Against S. aureus, MRSA and VRSA
3.4. Synergistic and Antibiofilm Properties of Cannabinoids
3.5. Potential of Cannabinoids Against S. pyogenes
3.6. Quality of Evidence
4. Materials and Methods
4.1. Eligibility Criteria
4.2. Search Strategy
4.3. Study Selection
4.4. Risk of Bias Assessment
5. Conclusions and Future Directions
Supplementary Materials
Author Contributions
Funding
Institutional Review Board Statement
Informed Consent Statement
Data Availability Statement
Conflicts of Interest
Abbreviations
References
- Janik, E.; Ceremuga, M.; Niemcewicz, M.; Bijak, M. Dangerous Pathogens as a Potential Problem for Public Health. Medicina 2020, 56, 591. [Google Scholar] [CrossRef] [PubMed]
- Ikuta, K.S.; Swetschinski, L.R.; Aguilar, G.R.; Sharara, F.; Mestrovic, T.; Gray, A.P.; Weaver, N.D.; E Wool, E.; Han, C.; Hayoon, A.G.; et al. Global mortality associated with 33 bacterial pathogens in 2019: A systematic analysis for the Global Burden of Disease Study 2019. Lancet 2022, 400, 2221–2248. [Google Scholar] [CrossRef] [PubMed]
- Bai, A.D.; Lo, C.K.; Komorowski, A.S.; Suresh, M.; Guo, K.; Garg, A.; Tandon, P.; Senecal, J.; Del Corpo, O.; Stefanova, I.; et al. Staphylococcus aureus bacteraemia mortality: A systematic review and meta-analysis. Clin. Microbiol. Infect. 2022, 28, 1076–1084. [Google Scholar] [CrossRef] [PubMed]
- Bai, A.D.; Lo, C.K.; Komorowski, A.S.; Suresh, M.; Guo, K.; Garg, A.; Tandon, P.; Senecal, J.; Del Corpo, O.; Stefanova, I.; et al. Staphylococcus aureus bacteremia mortality across country income groups: A secondary analysis of a systematic review. Int. J. Infect. Dis. 2022, 122, 405–411. [Google Scholar] [CrossRef]
- Jespersen, M.G.; Lacey, J.A.; Tong, S.Y.; Davies, M.R. Global genomic epidemiology of Streptococcus pyogenes. Infect. Genet. Evol. 2020, 86, 104609. [Google Scholar] [CrossRef]
- Cannon, J.W.; Cannon, J.W.; Bennett, J.; Bennett, J.; Baker, M.G.; Baker, M.G.; Carapetis, J.R.; Carapetis, J.R. Time to address the neglected burden of group A Streptococcus. Med. J. Aust. 2021, 215, 94.e1. [Google Scholar] [CrossRef]
- Thompson, K.M.; Sterkel, A.K.; McBride, J.A.; Corliss, R.F. The Shock of Strep: Rapid Deaths Due to Group a Streptococcus. Acad. Forensic Pathol. 2018, 8, 136–149. [Google Scholar] [CrossRef]
- Ki, V.; Rotstein, C. Bacterial Skin and Soft Tissue Infections in Adults: A Review of Their Epidemiology, Pathogenesis, Diagnosis, Treatment and Site of Care. Can. J. Infect. Dis. Med. Microbiol. 2007, 19, 173–184. [Google Scholar] [CrossRef]
- Peters, J.; Price, J.; Llewelyn, M. Staphylococcal and streptococcal infections. Medicine 2017, 45, 727–734. [Google Scholar] [CrossRef]
- Foster, T.J. Antibiotic resistance in Staphylococcus aureus. Current status and future prospects. FEMS Microbiol. Rev. 2017, 41, 430–449. [Google Scholar] [CrossRef]
- Khademi, F.; Vaez, H.; Sahebkar, A.; Taheri, R.A. Group A Streptococcus Antibiotic Resistance in Iranian Children: A Meta-analysis. Oman Med. J. 2021, 36, e222. [Google Scholar] [CrossRef] [PubMed]
- Meletis, G.; Ketikidis, A.L.S.; Floropoulou, N.; Tychala, A.; Kagkalou, G.; Vasilaki, O.; Mantzana, P.; Skoura, L.; Protonotariou, E. Antimicrobial resistance rates of Streptococcus pyogenes in a Greek tertiary care hospital: 6-year data and literature review. New Microbiol. 2023, 46, 37–42. [Google Scholar] [PubMed]
- Prestinaci, F.; Pezzotti, P.; Pantosti, A. Antimicrobial resistance: A global multifaceted phenomenon. Pathog. Glob. Health 2015, 109, 309–318. [Google Scholar] [CrossRef] [PubMed]
- Flynn, C.E.; Guarner, J. Emerging Antimicrobial Resistance. Mod. Pathol. 2023, 36, 100249. [Google Scholar] [CrossRef]
- Tärnberg, M.; Nilsson, L.E.; Dowzicky, M.J. Antimicrobial activity against a global collection of skin and skin structure pathogens: Results from the Tigecycline Evaluation and Surveillance Trial (T.E.S.T.), 2010–2014. Int. J. Infect. Dis. 2016, 49, 141–148. [Google Scholar] [CrossRef]
- Bowen, A.C.; Mahé, A.; Hay, R.J.; Andrews, R.M.; Steer, A.C.; Tong, S.Y.C.; Carapetis, J.R. The Global Epidemiology of Impetigo: A Systematic Review of the Population Prevalence of Impetigo and Pyoderma. PLoS ONE 2015, 10, e0136789. [Google Scholar] [CrossRef]
- Stevens, D.L.; Bisno, A.L.; Chambers, H.F.; Dellinger, E.P.; Goldstein, E.J.C.; Gorbach, S.L.; Hirschmann, J.V.; Kaplan, S.L.; Montoya, J.G.; Wade, J.C. Practice Guidelines for the Diagnosis and Management of Skin and Soft Tissue Infections: 2014 Update by the Infectious Diseases Society of America. Clin. Infect. Dis. 2014, 59, e10–e52. [Google Scholar] [CrossRef]
- Sartelli, M.; Coccolini, F.; Kluger, Y.; Agastra, E.; Abu-Zidan, F.M.; Abbas, A.E.S.; Ansaloni, L.; Adesunkanmi, A.K.; Augustin, G.; Bala, M.; et al. WSES/GAIS/WSIS/SIS-E/AAST global clinical pathways for patients with skin and soft tissue infections. World J. Emerg. Surg. 2022, 17, 1–23. [Google Scholar] [CrossRef]
- Australian Commission on Safety and Quality in Health Care. AURA 2021: Fourth Australian Report on Antimicrobial Use and Resistance in Human Health; ACSQHC: Sydney, Australia, 2021.
- Therapeutic Guidelines, Australia. Available online: https://www.tg.org.au/ (accessed on 2 June 2022).
- Murray, C.J.L.; Ikuta, K.S.; Sharara, F.; Swetschinski, L.; Aguilar, G.R.; Gray, A.; Han, C.; Bisignano, C.; Rao, P.; Wool, E.; et al. Global burden of bacterial antimicrobial resistance in 2019: A systematic analysis. Lancet 2022, 399, 629–655. [Google Scholar] [CrossRef]
- Ezeh, C.K.; Eze, C.N.; Dibua, M.E.U.; Emencheta, S.C. A meta-analysis on the prevalence of resistance of Staphylococcus aureus to different antibiotics in Nigeria. Antimicrob. Resist. Infect. Control. 2023, 12, 1–22. [Google Scholar] [CrossRef]
- Boswihi, S.S.; Udo, E.E. Methicillin-resistant Staphylococcus aureus: An update on the epidemiology, treatment options and infection control. Curr. Med. Res. Pract. 2018, 8, 18–24. [Google Scholar] [CrossRef]
- Liu, W.-T.; Chen, E.-Z.; Yang, L.; Peng, C.; Wang, Q.; Xu, Z.; Chen, D.-Q. Emerging resistance mechanisms for 4 types of common anti-MRSA antibiotics in Staphylococcus aureus: A comprehensive review. Microb. Pathog. 2021, 156, 104915. [Google Scholar] [CrossRef] [PubMed]
- Davey, R.X.; Tong, S.Y. The epidemiology of Staphylococcus aureus skin and soft tissue infection in the southern Barkly region of Australia’s Northern Territory in 2017. Pathology 2019, 51, 308–312. [Google Scholar] [CrossRef]
- Watkins, R.R.; Holubar, M.; David, M.Z. Antimicrobial Resistance in Methicillin-Resistant Staphylococcus aureus to Newer Antimicrobial Agents. Antimicrob. Agents Chemother. 2019, 63, 10-1128. [Google Scholar] [CrossRef]
- Alghamdi, B.A.; Al-Johani, I.; Al-Shamrani, J.M.; Alshamrani, H.M.; Al-Otaibi, B.G.; Almazmomi, K.; Yusof, N.Y. Antimicrobial resistance in methicillin-resistant Staphylococcus aureus. Saudi J. Biol. Sci. 2023, 30, 103604. [Google Scholar] [CrossRef]
- Shariati, A.; Dadashi, M.; Moghadam, M.T.; van Belkum, A.; Yaslianifard, S.; Darban-Sarokhalil, D. Global prevalence and distribution of vancomycin resistant, vancomycin intermediate and heterogeneously vancomycin intermediate Staphylococcus aureus clinical isolates: A systematic review and meta-analysis. Sci. Rep. 2020, 10, 12689. [Google Scholar] [CrossRef]
- Doern, C.D. Group A Streptococcus (Streptococcus pyogenes): The Most Interesting Pathogen in the World. Clin. Microbiol. Newsl. 2023, 45, 39–46. [Google Scholar] [CrossRef]
- Johnson, A.F.; LaRock, C.N. Antibiotic Treatment, Mechanisms for Failure, and Adjunctive Therapies for Infections by Group A Streptococcus. Front. Microbiol. 2021, 12, 760255. [Google Scholar] [CrossRef]
- Barros, R.R. Antimicrobial Resistance among Beta-Hemolytic Streptococcus in Brazil: An Overview. Antibiotics 2021, 10, 973. [Google Scholar] [CrossRef]
- Silva-Costa, C.; Friães, A.; Ramirez, M.; Melo-Cristino, J. Macrolide-resistant Streptococcus pyogenes: Prevalence and treatment strategies. Expert Rev. Anti-Infect. Ther. 2015, 13, 615–628. [Google Scholar] [CrossRef]
- Bowen, A.C.; Tong, S.Y.; Chatfield, M.D.; Carapetis, J.R. The microbiology of impetigo in Indigenous children: Associations between Streptococcus pyogenes, Staphylococcus aureus, scabies, and nasal carriage. BMC Infect. Dis. 2014, 14, 727. [Google Scholar] [CrossRef] [PubMed]
- Mahmud, S.; Hossain, M.S.; Ahmed, A.T.M.F.; Islam, Z.; Sarker, E.; Islam, R. Antimicrobial and Antiviral (SARS-CoV-2) Potential of Cannabinoids and Cannabis sativa: A Comprehensive Review. Molecules 2021, 26, 7216. [Google Scholar] [CrossRef]
- Karas, J.A.; Wong, L.J.M.; Paulin, O.K.A.; Mazeh, A.C.; Hussein, M.H.; Li, J.; Velkov, T. The Antimicrobial Activity of Cannabinoids. Antibiotics 2020, 9, 406. [Google Scholar] [CrossRef]
- Klahn, P. Cannabinoids-Promising Antimicrobial Drugs or Intoxicants with Benefits? Antibiotics 2020, 9, 297. [Google Scholar] [CrossRef]
- Rao, R.; Nagarkatti, P.S.; Nagarkatti, M. Δ9Tetrahydrocannabinol attenuates Staphylococcal enterotoxin B-induced inflammatory lung injury and prevents mortality in mice by modulation of miR-17-92 cluster and induction of T-regulatory cells. Br. J. Pharmacol. 2014, 172, 1792–1806. [Google Scholar] [CrossRef]
- Huber, G.L.; Pochay, V.E.; Pereira, W.; Shea, J.W.; Hinds, W.C.; First, M.W.; Sornberger, G.C. Marijuana, Tetrahydrocannabinol, and Pulmonary Antibacterial Defenses. Chest 1980, 77, 403–410. [Google Scholar] [CrossRef]
- Farha, M.A.; El-Halfawy, O.M.; Gale, R.T.; MacNair, C.R.; Carfrae, L.A.; Zhang, X.; Jentsch, N.G.; Magolan, J.; Brown, E.D. Uncovering the Hidden Antibiotic Potential of Cannabis. ACS Infect. Dis. 2020, 6, 338–346. [Google Scholar] [CrossRef]
- Blaskovich, M.A.T.; Kavanagh, A.M.; Elliott, A.G.; Zhang, B.; Ramu, S.; Amado, M.; Lowe, G.J.; Hinton, A.O.; Pham, D.M.T.; Zuegg, J.; et al. The antimicrobial potential of cannabidiol. Commun. Biol. 2021, 4, 1–18. [Google Scholar] [CrossRef]
- Nazarenus, C.; Cox, J. The Discovery of the Endocannabinoid System. In Medical Cannabis Handbook for Healthcare Professionals; Nazarenus, C., Ed.; Springer Publishing Company: New York, NY, USA, 2019; pp. 29–37. [Google Scholar]
- Klein, M.; de Quadros De Bortolli, J.; Guimarães, F.S.; Salum, F.G.; Cherubini, K.; de Figueiredo, M.A.Z. Effects of cannabidiol, a Cannabis sativa constituent, on oral wound healing process in rats: Clinical and histological evaluation. Phytother. Res. 2018, 32, 2275–2281. [Google Scholar] [CrossRef]
- Sangiovanni, E.; Fumagalli, M.; Pacchetti, B.; Piazza, S.; Magnavacca, A.; Khalilpour, S.; Melzi, G.; Martinelli, G.; Dell’Agli, M. Cannabis sativa L. extract and cannabidiol inhibit in vitro mediators of skin inflammation and wound injury. Phytother. Res. 2019, 33, 2083–2093. [Google Scholar] [CrossRef]
- ACTRN12620000456954. A Randomised, Double-Blind, Vehicle-Controlled Study to Evaluate Safety, Tolerability, and Efficacy of Two Dosage Forms of BTX 1801 Applied Twice Daily for Five Days to the Anterior Nares of Healthy Adults Nasally Colonised with Staphylococcus aureus. 2020. Available online: https://trialsearch.who.int/Trial2.aspx?TrialID=ACTRN12620000456954 (accessed on 28 May 2024).
- Niyangoda, D.; Muayad, M.; Tesfaye, W.; Bushell, M.; Ahmad, D.; Samarawickrema, I.; Sinclair, J.; Kebriti, S.; Maida, V.; Thomas, J. Cannabinoids in Integumentary Wound Care: A Systematic Review of Emerging Preclinical and Clinical Evidence. Pharmaceutics 2024, 16, 1081. [Google Scholar] [CrossRef] [PubMed]
- Yeroushalmi, S.; Nelson, K.; Sparks, A.; Friedman, A. Perceptions and recommendation behaviors of dermatologists for medical cannabis: A pilot survey. Complement. Ther. Med. 2020, 55, 102552. [Google Scholar] [CrossRef]
- Eagleston, L.R.M.; Kalani, N.K.; Patel, R.R.; Flaten, H.K.; Dunnick, C.A.; Dellavalle, R.P. Cannabinoids in dermatology: A scoping review. Dermatol. Online J. 2018, 24, 24. [Google Scholar] [CrossRef]
- Mounessa, J.S.; Siegel, J.A.; Dunnick, C.A.; Dellavalle, R.P. The role of cannabinoids in dermatology. J. Am. Acad. Dermatol. 2017, 77, 188–190. [Google Scholar] [CrossRef] [PubMed]
- Maccarrone, M.; Di Rienzo, M.; Battista, N.; Gasperi, V.; Guerrieri, P.; Rossi, A.; Finazzi-Agrò, A. The Endocannabinoid System in Human Keratinocytes. J. Biol. Chem. 2003, 278, 33896–33903. [Google Scholar] [CrossRef]
- Caterina, M.J. TRP Channel Cannabinoid Receptors in Skin Sensation, Homeostasis, and Inflammation. ACS Chem. Neurosci. 2014, 5, 1107–1116. [Google Scholar] [CrossRef]
- Kupczyk, P.; Reich, A.; Szepietowski, J.C. Cannabinoid system in the skin—A possible target for future therapies in dermatology. Exp. Dermatol. 2009, 18, 669–679. [Google Scholar] [CrossRef]
- Scheau, C.; Badarau, I.A.; Mihai, L.-G.; Scheau, A.-E.; Costache, D.O.; Constantin, C.; Calina, D.; Caruntu, C.; Costache, R.S.; Caruntu, A. Cannabinoids in the Pathophysiology of Skin Inflammation. Molecules 2020, 25, 652. [Google Scholar] [CrossRef]
- Tóth, K.F.; Ádám, D.; Bíró, T.; Oláh, A. Cannabinoid Signaling in the Skin: Therapeutic Potential of the “C(ut)annabinoid” System. Molecules 2019, 24, 918. [Google Scholar] [CrossRef]
- Weigelt, M.A.; Sivamani, R.; Lev-Tov, H. The therapeutic potential of cannabinoids for integumentary wound management. Exp. Dermatol. 2020, 30, 201–211. [Google Scholar] [CrossRef]
- van Klingeren, B.; Ham, M.T. Antibacterial activity of Δ9-tetrahydrocannabinol and cannabidiol. Antonie Leeuwenhoek 1976, 42, 9–12. [Google Scholar] [CrossRef] [PubMed]
- Abichabki, N.; Zacharias, L.V.; Moreira, N.C.; Bellissimo-Rodrigues, F.; Moreira, F.L.; Benzi, J.R.L.; Ogasawara, T.M.C.; Ferreira, J.C.; Ribeiro, C.M.; Pavan, F.R.; et al. Potential cannabidiol (CBD) repurposing as antibacterial and promising therapy of CBD plus polymyxin B (PB) against PB-resistant gram-negative bacilli. Sci. Rep. 2022, 12, 6454. [Google Scholar] [CrossRef] [PubMed]
- Schuetz, M.; Savile, C.; Webb, C.; Rouzard, K.; Fernandez, J.; Perez, E. 480 Cannabigerol: The mother of cannabinoids demonstrates a broad spectrum of anti-inflammatory and anti-microbial properties important for skin. J. Investig. Dermatol. 2021, 141, S83. [Google Scholar] [CrossRef]
- Ali, E.M.M.; Almagboul, A.Z.I.; Khogali, S.M.E.; Gergeir, U.M.A. Antimicrobial Activity of Cannabis sativa L. Chin. Med. 2012, 03, 61–64. [Google Scholar] [CrossRef]
- Appendino, G.; Gibbons, S.; Giana, A.; Pagani, A.; Grassi, G.; Stavri, M.; Smith, E.; Rahman, M.M. Antibacterial Cannabinoids from Cannabis sativa: A Structure−Activity Study. J. Nat. Prod. 2008, 71, 1427–1430. [Google Scholar] [CrossRef]
- Chauhan, N.; Farooq, U.; Khan, M.A. Efficacy of Medicinal Plants Against Human Pathogens Isolated from Western Himalayas of Himachal Pradesh. Asian J. Pharm. Clin. Res. 2017, 10, 353. [Google Scholar] [CrossRef]
- Elsohly, H.N.; Turner, C.E.; Clark, A.M.; Elsohly, M.A. Synthesis and Antimicrobial Activities of Certain Cannabichromene and Cannabigerol Related Compounds. J. Pharm. Sci. 1982, 71, 1319–1323. [Google Scholar] [CrossRef]
- Frassinetti, S.; Gabriele, M.; Moccia, E.; Longo, V.; Di Gioia, D. Antimicrobial and antibiofilm activity of Cannabis sativa L. seeds extract against Staphylococcus aureus and growth effects on probiotic Lactobacillus spp. LWT 2020, 124, 109149. [Google Scholar] [CrossRef]
- Galletta, M.; Reekie, T.A.; Nagalingam, G.; Bottomley, A.L.; Harry, E.J.; Kassiou, M.; Triccas, J.A. Rapid Antibacterial Activity of Cannabichromenic Acid against Methicillin-Resistant Staphylococcus aureus. Antibiotics 2020, 9, 523. [Google Scholar] [CrossRef]
- Iseppi, R.; Brighenti, V.; Licata, M.; Lambertini, A.; Sabia, C.; Messi, P.; Pellati, F.; Benvenuti, S. Chemical Characterization and Evaluation of the Antibacterial Activity of Essential Oils from Fibre-Type Cannabis sativa L. (Hemp). Molecules 2019, 24, 2302. [Google Scholar] [CrossRef]
- Kaur, S.; Sharma, C.; Chaudhry, S.; Aman, R. Antimicrobial Potential of Three Common Weeds of Kurukshetra: An in vitro Study. Res. J. Microbiol. 2015, 10, 280–287. [Google Scholar] [CrossRef]
- Martinenghi, L.D.; Jønsson, R.; Lund, T.; Jenssen, H. Isolation, Purification, and Antimicrobial Characterization of Cannabidiolic Acid and Cannabidiol from Cannabis sativa L. Biomolecules 2020, 10, 900. [Google Scholar] [CrossRef] [PubMed]
- Muscarà, C.; Smeriglio, A.; Trombetta, D.; Mandalari, G.; La Camera, E.; Grassi, G.; Circosta, C. Phytochemical characterization and biological properties of two standardized extracts from a non-psychotropic Cannabis sativa L. cannabidiol (CBD)-chemotype. Phytother. Res. 2021, 35, 5269–5281. [Google Scholar] [CrossRef]
- Muscarà, C.; Smeriglio, A.; Trombetta, D.; Mandalari, G.; La Camera, E.; Occhiuto, C.; Grassi, G.; Circosta, C. Antioxidant and antimicrobial activity of two standardized extracts from a new Chinese accession of non-psychotropic Cannabis sativa L. Phytother. Res. 2021, 35, 1099–1112. [Google Scholar] [CrossRef]
- Nafis, A.; Kasrati, A.; Jamali, C.A.; Mezrioui, N.; Setzer, W.; Abbad, A.; Hassani, L. Antioxidant activity and evidence for synergism of Cannabis sativa (L.) essential oil with antimicrobial standards. Ind. Crops Prod. 2019, 137, 396–400. [Google Scholar] [CrossRef]
- Nigro, E.; Pecoraro, M.T.; Formato, M.; Piccolella, S.; Ragucci, S.; Mallardo, M.; Russo, R.; Di Maro, A.; Daniele, A.; Pacifico, S. Cannabidiolic acid in Hemp Seed Oil Table Spoon and Beyond. Molecules 2022, 27, 2566. [Google Scholar] [CrossRef]
- Pellegrini, M.; Palmieri, S.; Ricci, A.; Serio, A.; Paparella, A.; Sterzo, C.L. In vitro antioxidant and antimicrobial activity of Cannabis sativa L. cv ‘Futura 75’ essential oil. Nat. Prod. Res. 2020, 35, 6020–6024. [Google Scholar] [CrossRef]
- Sarmadyan, H.; Solhi, H.; Hajimir, T.; Najarian-Araghi, N.; Ghaznavi-Rad, E. Determination of the antimicrobial effects of hydro-alcoholic extract of Cannabis sativa on multiple drug resistant bacteria isolated from nosocomial infections. Iran. J. Toxicol. 2014, 7, 967–972. [Google Scholar]
- Turner, C.E.; Elsohly, M.A. Biological Activity of Cannabichromene, its Homologs and Isomers. J. Clin. Pharmacol. 1981, 21, 283S–291S. [Google Scholar] [CrossRef]
- Vu, T.T.; Kim, H.; Tran, V.K.; Le Dang, Q.; Nguyen, H.T.; Kim, H.; Kim, I.S.; Choi, G.J.; Kim, J.-C. In vitro antibacterial activity of selected medicinal plants traditionally used in Vietnam against human pathogenic bacteria. BMC Complement. Altern. Med. 2015, 16, 32. [Google Scholar] [CrossRef]
- Wassmann, C.S.; Højrup, P.; Klitgaard, J.K. Cannabidiol is an effective helper compound in combination with bacitracin to kill Gram-positive bacteria. Sci. Rep. 2020, 10, 4112. [Google Scholar] [CrossRef] [PubMed]
- Zengin, G.; Menghini, L.; Di Sotto, A.; Mancinelli, R.; Sisto, F.; Carradori, S.; Cesa, S.; Fraschetti, C.; Filippi, A.; Angiolella, L.; et al. Chromatographic Analyses, In Vitro Biological Activities, and Cytotoxicity of Cannabis sativa L. Essential Oil: A Multidisciplinary Study. Molecules 2018, 23, 3266. [Google Scholar] [CrossRef]
- Anderson, L.L.; Ametovski, A.; Luo, J.L.; Everett-Morgan, D.; McGregor, I.S.; Banister, S.D.; Arnold, J.C. Cannabichromene, Related Phytocannabinoids, and 5-Fluoro-cannabichromene Have Anticonvulsant Properties in a Mouse Model of Dravet Syndrome. ACS Chem. Neurosci. 2021, 12, 330–339. [Google Scholar] [CrossRef]
- Nguyen, G.-N.; Jordan, E.N.; Kayser, O. Synthetic Strategies for Rare Cannabinoids Derived from Cannabis sativa. J. Nat. Prod. 2022, 85, 1555–1568. [Google Scholar] [CrossRef]
- Clinical and Laboratory Standards Institute. Performance Standards for Antimicrobial Susceptibility Testing, 30th ed.; Clinical and Laboratory Standards Institute: Wayne, PA, USA, 2020; CLSI Supplement M100. [Google Scholar]
- Hanuš, L.O.; Meyer, S.M.; Muñoz, E.; Taglialatela-Scafati, O.; Appendino, G. Phytocannabinoids: A unified critical inventory. Nat. Prod. Rep. 2016, 33, 1357–1392. [Google Scholar] [CrossRef]
- Noyes, R.; Brunk, S.F.; Avery, D.H.; Canter, A. The analgesic properties of delta-9-tetrahydrocannabinol and codeine. Clin. Pharmacol. Ther. 1975, 18, 84–89. [Google Scholar] [CrossRef]
- Typek, R.; Holowinski, P.; Dawidowicz, A.L.; Dybowski, M.P.; Rombel, M. Chromatographic analysis of CBD and THC after their acylation with blockade of compound transformation. Talanta 2022, 251, 123777. [Google Scholar] [CrossRef]
- Ujváry, I.; Hanuš, L. Human Metabolites of Cannabidiol: A Review on Their Formation, Biological Activity, and Relevance in Therapy. Cannabis Cannabinoid Res. 2016, 1, 90–101. [Google Scholar] [CrossRef]
- Consroe, P.; Martin, A.; Singh, V. Antiepileptic Potential of Cannabidiol Analogs. J. Clin. Pharmacol. 1981, 21, 428S–436S. [Google Scholar] [CrossRef]
- Pertwee, R.G.; Rock, E.M.; Guenther, K.; Limebeer, C.L.; A Stevenson, L.; Haj, C.; Smoum, R.; A Parker, L.; Mechoulam, R. Cannabidiolic acid methyl ester, a stable synthetic analogue of cannabidiolic acid, can produce 5-HT1A receptor-mediated suppression of nausea and anxiety in rats. Br. J. Pharmacol. 2017, 175, 100–112. [Google Scholar] [CrossRef]
- Tahir, M.N.; Shahbazi, F.; Rondeau-Gagné, S.; Trant, J.F. The biosynthesis of the cannabinoids. J. Cannabis Res. 2021, 3, 1–12. [Google Scholar] [CrossRef] [PubMed]
- Faleiro, M.L.; Miguel, M.G. Chapter 6—Use of Essential Oils and Their Components against Multidrug-Resistant Bacteria. In Fighting Multidrug Resistance with Herbal Extracts, Essential Oils and Their Components; Rai, M.K., Kon, K.V., Eds.; Academic Press: San Diego, CA, USA, 2013; pp. 65–94. [Google Scholar]
- Appendino, G.; Taglialatela-Scafati, O. Cannabinoids: Chemistry and medicine. In Natural Products: Phytochemistry, Botany and Metabolism of Alkaloids, Phenolics and Terpenes; Springer: Berlin/Heidelberg, Germany, 2013; pp. 3415–3435. [Google Scholar]
- Ferri, M.; Ranucci, E.; Romagnoli, P.; Giaccone, V. Antimicrobial resistance: A global emerging threat to public health systems. Crit. Rev. Food Sci. Nutr. 2015, 57, 2857–2876. [Google Scholar] [CrossRef] [PubMed]
- Paphitou, N.I. Antimicrobial resistance: Action to combat the rising microbial challenges. Int. J. Antimicrob. Agents 2013, 42, S25–S28. [Google Scholar] [CrossRef]
- Lozano, I. The Therapeutic Use of Cannabis sativa (L.) in Arabic Medicine. J. Cannabis Ther. 2001, 1, 63–70. [Google Scholar] [CrossRef]
- Bonini, S.A.; Premoli, M.; Tambaro, S.; Kumar, A.; Maccarinelli, G.; Memo, M.; Mastinu, A. Cannabis sativa: A comprehensive ethnopharmacological review of a medicinal plant with a long history. J. Ethnopharmacol. 2018, 227, 300–315. [Google Scholar] [CrossRef]
- Savage, S.R.; Romero-Sandoval, A.; Schatman, M.; Wallace, M.; Fanciullo, G.; McCarberg, B.; Ware, M. Cannabis in Pain Treatment: Clinical and Research Considerations. J. Pain 2016, 17, 654–668. [Google Scholar] [CrossRef]
- Shah, N.; Kirkorian, A.Y.; Friedman, A.J. Evaluating provider knowledge, perception, and concerns about cannabinoid use in pediatric dermatology. Pediatr. Dermatol. 2021, 38, 694–696. [Google Scholar] [CrossRef]
- Deiana, S.; Watanabe, A.; Yamasaki, Y.; Amada, N.; Arthur, M.; Fleming, S.; Woodcock, H.; Dorward, P.; Pigliacampo, B.; Close, S.; et al. Plasma and brain pharmacokinetic profile of cannabidiol (CBD), cannabidivarine (CBDV), Δ9-tetrahydrocannabivarin (THCV) and cannabigerol (CBG) in rats and mice following oral and intraperitoneal administration and CBD action on obsessive–compulsive behaviour. Psychopharmacology 2011, 219, 859–873. [Google Scholar] [CrossRef]
- Beaulieu, P. Toxic Effects of Cannabis and Cannabinoids: Animal Data. Pain Res. Manag. 2005, 10, 23A–26A. [Google Scholar] [CrossRef]
- Vaughn, D.; Kulpa, J.; Paulionis, L. Preliminary Investigation of the Safety of Escalating Cannabinoid Doses in Healthy Dogs. Front. Vet. Sci. 2020, 7, 51. [Google Scholar] [CrossRef]
- Bergamaschi, M.M.; Queiroz, R.H.C.; Zuardi, A.W.; Crippa, J.A.S. Safety and Side Effects of Cannabidiol, a Cannabis sativa Constituent. Curr. Drug Saf. 2011, 6, 237–249. [Google Scholar] [CrossRef] [PubMed]
- Scholfield, C.; Waranuch, N.; Kongkaew, C. Systematic Review on Transdermal/Topical Cannabidiol Trials: A Reconsidered Way Forward. Cannabis Cannabinoid Res. 2023, 8, 589–602. [Google Scholar] [CrossRef] [PubMed]
- Maghfour, J.; Rietcheck, H.; Szeto, M.D.; Rundle, C.W.; Sivesind, T.E.; Dellavalle, R.P.; Lio, P.; Dunnick, C.A.; Fernandez, J.; Yardley, H. Tolerability profile of topical cannabidiol and palmitoylethanolamide: A compilation of single-centre randomized evaluator-blinded clinical and in vitro studies in normal skin. Clin. Exp. Dermatol. 2021, 46, 1518–1529. [Google Scholar] [CrossRef]
- Weber, I.; Zagona-Prizio, C.; E Sivesind, T.; Adelman, M.; Szeto, M.D.; Wallace, E.; Liu, Y.; Sillau, S.H.; Bainbridge, J.; Klawitter, J.; et al. Oral cannabidiol for seborrheic dermatitis in patients with Parkinson’s disease: A randomized clinical trial (Preprint). JMIR Dermatol. 2023, 7, e49965. [Google Scholar] [CrossRef]
- Giacoppo, S.; Galuppo, M.; Pollastro, F.; Grassi, G.; Bramanti, P.; Mazzon, E. A new formulation of cannabidiol in cream shows therapeutic effects in a mouse model of experimental autoimmune encephalomyelitis. DARU J. Pharm. Sci. 2015, 23, 1–17. [Google Scholar] [CrossRef]
- D’andre, S.; McAllister, S.; Nagi, J.; Giridhar, K.V.; Ruiz-Macias, E.; Loprinzi, C. Topical Cannabinoids for Treating Chemotherapy-Induced Neuropathy: A Case Series. Integr. Cancer Ther. 2021, 20. [Google Scholar] [CrossRef]
- Zhong, G.; Tong, C.; Liu, X.; Fan, J.; Xiong, X.; Chen, P.; Zhu, A.; Yu, R.; Liu, B. Chi@HMPB@CBD nanocomplexes for laser-assisted therapy of MRSA-infected cutaneous wounds in normal and MKR diabetic mice. Mater. Today Chem. 2022, 24, 100888. [Google Scholar] [CrossRef]
- Cham, P.S.; Deepika; Bhat, R.; Raina, D.; Manhas, D.; Kotwal, P.; Mindala, D.P.; Pandey, N.; Ghosh, A.; Saran, S.; et al. Exploring the Antibacterial Potential of Semisynthetic Phytocannabinoid: Tetrahydrocannabidiol (THCBD) as a Potential Antibacterial Agent against Sensitive and Resistant Strains of Staphylococcus aureus. ACS Infect. Dis. 2023, 10, 64–78. [Google Scholar] [CrossRef]
- Butler, M.S.; Henderson, I.R.; Capon, R.J.; Blaskovich, M.A.T. Antibiotics in the clinical pipeline as of December 2022. J. Antibiot. 2023, 76, 431–473. [Google Scholar] [CrossRef]
- Scheffer, I.E.; Hulihan, J.; Messenheimer, J.; Ali, S.; Keenan, N.; Griesser, J.; Gutterman, D.L.; Sebree, T.; Sadleir, L.G. Safety and Tolerability of Transdermal Cannabidiol Gel in Children With Developmental and Epileptic Encephalopathies. JAMA Netw. Open 2021, 4, e2123930. [Google Scholar] [CrossRef]
- Kurokawa, I.; Kanayama, S.; Yamasaki, O. Antimicrobial activity of ozenoxacin and other antimicrobials against Staphylococcus aureus strains isolated from clinical skin specimens in Japan in 2019 and 2020. J. Infect. Chemother. 2022, 28, 1693–1696. [Google Scholar] [CrossRef] [PubMed]
- Afset, J.E.; Mæland, J.A. Susceptibility of Skin and Soft-tissue Isolates of Staphylococcus aureus and Streptococcus pyogenes to Topical Antibiotics: Indications of Clonal Spread of Fusidic Acid-resistant Staphylococcus aureus. Scand. J. Infect. Dis. 2003, 35, 84–89. [Google Scholar] [CrossRef] [PubMed]
- Traczewski, M.M.; Brown, S.D. Proposed MIC and Disk Diffusion Microbiological Cutoffs and Spectrum of Activity of Retapamulin, a Novel Topical Antimicrobial Agent. Antimicrob. Agents Chemother. 2008, 52, 3863–3867. [Google Scholar] [CrossRef] [PubMed]
- Candel, F.J.; Morales, G.; Picazo, J.J. In vitro activity of retapamulin against linezolid and methicillin-resistant Staphylococcus aureus isolates. Rev. Esp. Quimioter. 2011, 24, 127–130. [Google Scholar] [PubMed]
- Knaack, D.; Idelevich, E.A.; Schleimer, N.; Molinaro, S.; Kriegeskorte, A.; Peters, G.; Becker, K. Bactericidal activity of bacteriophage endolysin HY-133 against Staphylococcus aureus in comparison to other antibiotics as determined by minimum bactericidal concentrations and time-kill analysis. Diagn. Microbiol. Infect. Dis. 2018, 93, 362–368. [Google Scholar] [CrossRef]
- Alcantara, K.P.; Zulfakar, M.H.; Castillo, A.L. Development, characterization and pharmacokinetics of mupirocin-loaded nanostructured lipid carriers (NLCs) for intravascular administration. Int. J. Pharm. 2019, 571, 118705. [Google Scholar] [CrossRef]
- Vila, J.; Hebert, A.A.; Torrelo, A.; Lopez, Y.; Tato, M.; García-Castillo, M.; Cantón, R. Ozenoxacin: A review of preclinical and clinical efficacy. Expert Rev. Anti-Infect. Ther. 2019, 17, 159–168. [Google Scholar] [CrossRef]
- Morrissey, I.; Cantón, R.; Vila, J.; Gargallo-Viola, D.; Zsolt, I.; Garcia-Castillo, M.; López, Y. Microbiological Profile of Ozenoxacin. Future Microbiol. 2019, 14, 773–787. [Google Scholar] [CrossRef]
- Kanayama, S.; Ikeda, F.; Okamoto, K.; Nakajima, A.; Matsumoto, T.; Ishii, R.; Amano, A.; Matsuzaki, K.; Matsumoto, S. In vitro antimicrobial activity of ozenoxacin against methicillin-susceptible Staphylococcus aureus, methicillin-resistant S. aureus and Streptococcus pyogenes isolated from clinical cutaneous specimens in Japan. J. Infect. Chemother. 2016, 22, 720–723. [Google Scholar] [CrossRef]
- Monistero, V.; Barberio, A.; Biscarini, F.; Cremonesi, P.; Castiglioni, B.; Graber, H.; Bottini, E.; Ceballos-Marquez, A.; Kroemker, V.; Petzer, I.; et al. Different distribution of antimicrobial resistance genes and virulence profiles of Staphylococcus aureus strains isolated from clinical mastitis in six countries. J. Dairy Sci. 2020, 103, 3431–3446. [Google Scholar] [CrossRef]
- Sueke, H.; Kaye, S.; Neal, T.; Murphy, C.; Hall, A.; Whittaker, D.; Tuft, S.; Parry, C. Minimum Inhibitory Concentrations of Standard and Novel Antimicrobials for Isolates from Bacterial Keratitis. Investig. Opthalmology Vis. Sci. 2010, 51, 2519–2524. [Google Scholar] [CrossRef] [PubMed]
- Falcón, R.; Martínez, A.; Albert, E.; Madrid, S.; Oltra, R.; Giménez, E.; Soriano, M.; Vinuesa, V.; Gozalbo, D.; Gil, M.L.; et al. High vancomycin MICs within the susceptible range in Staphylococcus aureus bacteraemia isolates are associated with increased cell wall thickness and reduced intracellular killing by human phagocytes. Int. J. Antimicrob. Agents 2016, 47, 343–350. [Google Scholar] [CrossRef] [PubMed]
- Tenover, F.C.; Moellering, R.C. The Rationale for Revising the Clinical and Laboratory Standards Institute Vancomycin Minimal Inhibitory Concentration Interpretive Criteria for Staphylococcus aureus. Clin. Infect. Dis. 2007, 44, 1208–1215. [Google Scholar] [CrossRef]
- Khurana, S.; Mathur, P.; Malhotra, R. Staphylococcus aureus at an Indian tertiary hospital: Antimicrobial susceptibility and minimum inhibitory concentration (MIC) creep of antimicrobial agents. J. Glob. Antimicrob. Resist. 2018, 17, 98–102. [Google Scholar] [CrossRef]
- Yoshimura, H.; Ishimaru, M.; Kojima, A. Minimum Inhibitory Concentrations of 20 Antimicrobial Agents against Staphylococcus aureus Isolated from Bovine Intramammary Infections in Japan. J. Vet. Med. Ser. B 2002, 49, 457–460. [Google Scholar] [CrossRef]
- Mahmoudi, H.; Pourhajibagher, M.; Chiniforush, N.; Soltanian, A.R.; Alikhani, M.Y.; Bahador, A. Biofilm formation and antibiotic resistance in meticillin-resistant and meticillin-sensitive Staphylococcus aureus isolated from burns. J. Wound Care 2019, 28, 66–73. [Google Scholar] [CrossRef]
- Ogbu, H.I.; Joseph, C.A. Effect of Sub-Inhibitory Concentrations of Flucloxacillin or Clindamycin and Plasma on Staphylococcus aureus Clinical Isolate. World J. Innov. Res. 2018, 5, 12–16. [Google Scholar] [CrossRef]
- Wattanapaisal, D.; Pattharachayakul, S.; Santimaleeworagun, W.; Jaruratanasirikul, S.; Hortiwakul, T.; Ingviriya, N.; Singkhamanan, K.; Garey, K.W. Efficacy of fusidic acid alone and in combination with other oral antimicrobial agents against clinical methicillin-resistant Staphylococcus aureus isolates in vitro. Southeast Asian J. Trop. Med. Public Health 2022, 53, 357–367. [Google Scholar]
- Abouelfetouh, A.; Kassem, M.; Naguib, M.; El-Nakeeb, M. Investigation and Treatment of Fusidic Acid Resistance Among Methicillin-Resistant Staphylococcal Isolates from Egypt. Microb. Drug Resist. 2017, 23, 8–17. [Google Scholar] [CrossRef]
- Chen, W.; He, C.; Yang, H.; Shu, W.; Cui, Z.; Tang, R.; Zhang, C.; Liu, Q. Prevalence and molecular characterization of methicillin-resistant Staphylococcus aureus with mupirocin, fusidic acid and/or retapamulin resistance. BMC Microbiol. 2020, 20, 183. [Google Scholar] [CrossRef]
- Sato, M.; Tanaka, H.; Yamaguchi, R.; Kato, K.; Etoh, H. Synergistic effects of mupirocin and an isoflavanone isolated from Erythrina variegata on growth and recovery of methicillin-resistant Staphylococcus aureus. Int. J. Antimicrob. Agents 2004, 24, 241–246. [Google Scholar] [CrossRef] [PubMed]
- Patel, A.B.; Lighter, J.; Fulmer, Y.; Copin, R.; Ratner, A.J.; Shopsin, B. Retapamulin Activity Against Pediatric Strains of Mupirocin-resistant Methicillin-resistant Staphylococcus aureus. Pediatr. Infect. Dis. J. 2021, 40, 637–638. [Google Scholar] [CrossRef] [PubMed]
- Banerjee, R.; Fernandez, M.G.; Enthaler, N.; Graml, C.; Greenwood-Quaintance, K.E.; Patel, R. Combinations of cefoxitin plus other β-lactams are synergistic in vitro against community associated methicillin-resistant Staphylococcus aureus. Eur. J. Clin. Microbiol. Infect. Dis. 2013, 32, 827–833. [Google Scholar] [CrossRef]
- Sakoulas, G.; Nizet, V. Measuring beta-lactam minimum inhibitory concentrations in Staphylococcus aureus in the clinical microbiology laboratory: Pinning the tail on the donkey. J. Clin. Microbiol. 2023, 62, e0036623. [Google Scholar] [CrossRef]
- Leonard, S.N.; Supple, M.E.; Gandhi, R.G.; Patel, M.D. Comparative Activities of Telavancin Combined with Nafcillin, Imipenem, and Gentamicin against Staphylococcus aureus. Antimicrob. Agents Chemother. 2013, 57, 2678–2683. [Google Scholar] [CrossRef]
- Sharafi, T.; Ghaemi, E.A.; Rafiee, M.; Ardebili, A. Combination antimicrobial therapy: In vitro synergistic effect of anti-staphylococcal drug oxacillin with antimicrobial peptide nisin against Staphylococcus epidermidis clinical isolates and Staphylococcus aureus biofilms. Ann. Clin. Microbiol. Antimicrob. 2024, 23, 1–12. [Google Scholar] [CrossRef]
- Miranda-Novales, G.; E Leaños-Miranda, B.; Vilchis-Pérez, M.; Solórzano-Santos, F. In vitro activity effects of combinations of cephalothin, dicloxacillin, imipenem, vancomycin and amikacin against methicillin-resistant Staphylococcus spp. strains. Ann. Clin. Microbiol. Antimicrob. 2006, 5, 25. [Google Scholar] [CrossRef][Green Version]
- Asadpour, L.; Ghazanfari, N. Detection of vancomycin nonsusceptible strains in clinical isolates of Staphylococcus aureus in northern Iran. Int. Microbiol. 2019, 22, 411–417. [Google Scholar] [CrossRef]
- Kshetry, A.O.; Pant, N.D.; Bhandari, R.; Khatri, S.; Shrestha, K.L.; Upadhaya, S.K.; Poudel, A.; Lekhak, B.; Raghubanshi, B.R. Minimum inhibitory concentration of vancomycin to methicillin resistant Staphylococcus aureus isolated from different clinical samples at a tertiary care hospital in Nepal. Antimicrob. Resist. Infect. Control. 2016, 5, 1–6. [Google Scholar] [CrossRef]
- Diekema, D.J.; A Pfaller, M.; Shortridge, D.; Zervos, M.; Jones, R.N. Twenty-Year Trends in Antimicrobial Susceptibilities Among Staphylococcus aureus From the SENTRY Antimicrobial Surveillance Program. Open Forum Infect. Dis. 2019, 6, S47–S53. [Google Scholar] [CrossRef]
- Liu, F.; Rajabi, S.; Shi, C.; Afifirad, G.; Omidi, N.; Kouhsari, E.; Khoshnood, S.; Azizian, K. Antibacterial activity of recently approved antibiotics against methicillin-resistant Staphylococcus aureus (MRSA) strains: A systematic review and meta-analysis. Ann. Clin. Microbiol. Antimicrob. 2022, 21, 37. [Google Scholar] [CrossRef] [PubMed]
- Vacek, J.; Vostalova, J.; Papouskova, B.; Skarupova, D.; Kos, M.; Kabelac, M.; Storch, J. Antioxidant function of phytocannabinoids: Molecular basis of their stability and cytoprotective properties under UV-irradiation. Free Radic. Biol. Med. 2021, 164, 258–270. [Google Scholar] [CrossRef] [PubMed]
- Tejada, E.; Szijj, J.V.; Cachia, M.; Falzon, P.; Azzopardi, L.M.; Inglott, A.S. Effects of pH and Amount of Acetonitrile on the Separation of Cannabinoids. Asian J. Pharm. Clin. Res. 2021, 14, 70–76. [Google Scholar] [CrossRef]
- Millar, S.A.; Stone, N.L.; Yates, A.S.; O’Sullivan, S.E. A Systematic Review on the Pharmacokinetics of Cannabidiol in Humans. Front. Pharmacol. 2018, 9, 1365. [Google Scholar] [CrossRef]
- Silmore, L.H.; Willmer, A.R.; Capparelli, E.V.; Rosania, G.R. Food effects on the formulation, dosing, and administration of cannabidiol (CBD) in humans: A systematic review of clinical studies. Pharmacother. J. Hum. Pharmacol. Drug Ther. 2021, 41, 405–420. [Google Scholar] [CrossRef]
- Worthington, R.J.; Melander, C. Combination approaches to combat multidrug-resistant bacteria. Trends Biotechnol. 2013, 31, 177–184. [Google Scholar] [CrossRef]
- Kalan, L.; Wright, G.D. Antibiotic adjuvants: Multicomponent anti-infective strategies. Expert Rev. Mol. Med. 2011, 13, e5. [Google Scholar] [CrossRef]
- Laishram, S.; Pragasam, A.K.; Bakthavatchalam, Y.D.; Veeraraghavan, B. An Update on Technical, Interpretative and Clinical Relevance of Antimicrobial Synergy Testing Methodologies. Indian J. Med. Microbiol. 2017, 35, 445–468. [Google Scholar] [CrossRef]
- McIver, V.; Tsang, A.; Symonds, N.; Perkins, N.; Uquillas, E.; Dart, C.; Jeffcott, L.; Dart, A. Effects of topical treatment of cannabidiol extract in a unique manuka factor 5 manuka honey carrier on second intention wound healing on equine distal limb wounds: A preliminary study. Aust. Vet. J. 2020, 98, 250–255. [Google Scholar] [CrossRef]
- Olejnik, A.; Galarda, A.; Goscianska, J. The beneficial effect of Cannabis sativa seed oil on the epidermis. Curr. Cosmet. Sci. 2021, 1, e080421192742. [Google Scholar] [CrossRef]
- Ikarashi, N.; Shiseki, M.; Yoshida, R.; Tabata, K.; Kimura, R.; Watanabe, T.; Kon, R.; Sakai, H.; Kamei, J. Cannabidiol Application Increases Cutaneous Aquaporin-3 and Exerts a Skin Moisturizing Effect. Pharmaceuticals 2021, 14, 879. [Google Scholar] [CrossRef] [PubMed]
- Sangsanoh, P.; Chaiarwut, S.; Choipang, C.; Niyompanich, J.; Suwantong, O.; Lirdprapamongkol, K.; Svasti, J.; Chuysinuan, P.; Techasakul, S.; Supaphol, P. Cannabidiol/β-Cyclodextrin Inclusion Complex-Loaded Poly(Vinyl Alcohol) Semi-solid Hydrogels for Potential Use in Wound Management. J. Polym. Environ. 2023, 31, 3982–3997. [Google Scholar] [CrossRef]
- McCormick, E.T.; Draganski, A.; Chalmers, S.; Zahn, J.; Garcia, S.; Nussbaum, D.; Friedman, A.; Putterman, C.; Friedman, J. Nano-encapsulated anandamide reduces inflammatory cytokines in vitro and lesion severity in a murine model of cutaneous lupus erythematosus. Exp. Dermatol. 2023, 32, 2072–2083. [Google Scholar] [CrossRef] [PubMed]
- Verderosa, A.D.; Totsika, M.; Fairfull-Smith, K.E. Bacterial Biofilm Eradication Agents: A Current Review. Front. Chem. 2019, 7, 824. [Google Scholar] [CrossRef]
- Zou, J.; Peng, B.; Qu, J.; Zheng, J. Are Bacterial Persisters Dormant Cells Only? Front. Microbiol. 2022, 12, 708580. [Google Scholar] [CrossRef]
- Clinical and Laboratory Standards Institute. Methods for Dilution Antimicrobial Susceptibility Tests for Bacteria That Grow Aerobically; Approved Standard, 9th ed.; CLSI Document M07-A9; Clinical and Laboratory Standards Institute: Wayne, PA, USA, 2012; ISBN 1-56238-783-9/1-56238-784-7. [Google Scholar]
- Pilmis, B.; Lourtet-Hascoët, J.; Barraud, O.; Piau, C.; Isnard, C.; Hery-Arnaud, G.; Amara, M.; Merens, A.; Farfour, E.; Thomas, E.; et al. Be careful about MICs to amoxicillin for patients with Streptococci-related infective endocarditis. Int. J. Antimicrob. Agents 2019, 53, 850–854. [Google Scholar] [CrossRef]
- Tatara, K.; Gotoh, K.; Okumiya, K.; Teramachi, M.; Ishimoto, K.; Tanaka, Y.; Iwahashi, J.; Shindou, S.; Yamashita, Y.; Watanabe, H. Molecular epidemiology, antimicrobial susceptibility, and characterization of fluoroquinolone non-susceptible Streptococcus pyogenes in Japan. J. Infect. Chemother. 2020, 26, 280–284. [Google Scholar] [CrossRef]
- Amábile-Cuevas, C.F.; Hermida-Escobedo, C.; Vivar, R. Comparative In Vitro Activity of Moxifloxacin by E-test against Streptococcus pyogenes. Clin. Infect. Dis. 2001, 32, S30–S32. [Google Scholar] [CrossRef][Green Version]
- Muhtarova, A.A.; Gergova, R.T.; Mitov, I.G. Distribution of macrolide resistance mechanisms in Bulgarian clinical isolates of Streptococcus pyogenes during the years of 2013–2016. J. Glob. Antimicrob. Resist. 2017, 10, 238–242. [Google Scholar] [CrossRef]
- Moreno, M.G.; Trampuz, A.; Di Luca, M. Synergistic antibiotic activity against planktonic and biofilm-embedded Streptococcus agalactiae, Streptococcus pyogenes and Streptococcus oralis. J. Antimicrob. Chemother. 2017, 72, 3085–3092. [Google Scholar] [CrossRef]
- Camara, M.; Dieng, A.; Boye, C.S.B. Antibiotic Susceptibility of Streptococcus pyogenes Isolated from Respiratory Tract Infections in Dakar, Senegal. Microbiol. Insights 2013, 6, MBI.S12996-75. [Google Scholar] [CrossRef] [PubMed]
- Yu, D.; Guo, D.; Zheng, Y.; Yang, Y. A review of penicillin binding protein and group A Streptococcus with reduced-β-lactam susceptibility. Front. Cell. Infect. Microbiol. 2023, 13, 1117160. [Google Scholar] [CrossRef] [PubMed]
- Delpech, G.; Sparo, M.; Baldaccini, B.; Pourcel, G.; Lissarrague, S.; Allende, L.G. Throat Carriage Rate and Antimicrobial Resistance of Streptococcus pyogenes In Rural Children in Argentina. J. Prev. Med. Public Health 2017, 50, 127–132. [Google Scholar] [CrossRef] [PubMed]
- Yan, S.; Mendelman, P.M.; Stevens, D.L. The in vitro antibacterial activity of ceftriaxone against Streptococcus pyogenes is unrelated to penicillin-binding protein 4. FEMS Microbiol. Lett. 1993, 110, 313–317. [Google Scholar] [CrossRef] [PubMed][Green Version]
- Bergmann, R.; van der Linden, M.; Chhatwal, G.S.; Nitsche-Schmitz, D.P. Factors That Cause Trimethoprim Resistance in Streptococcus pyogenes. Antimicrob. Agents Chemother. 2014, 58, 2281–2288. [Google Scholar] [CrossRef]
- Udekwu, K.I.; Parrish, N.; Ankomah, P.; Baquero, F.; Levin, B.R. Functional relationship between bacterial cell density and the efficacy of antibiotics. J. Antimicrob. Chemother. 2009, 63, 745–757. [Google Scholar] [CrossRef]
- Taylor, L.; Crockett, J.; Tayo, B.; Morrison, G. A Phase 1, Open-Label, Parallel-Group, Single-Dose Trial of the Pharmacokinetics and Safety of Cannabidiol (CBD) in Subjects with Mild to Severe Hepatic Impairment. J. Clin. Pharmacol. 2019, 59, 1110–1119. [Google Scholar] [CrossRef]
- Landmark, C.J.; Brandl, U. Pharmacology and drug interactions of cannabinoids. Epileptic Disord. 2020, 22, S16–S22. [Google Scholar] [CrossRef]
- Page, M.J.; McKenzie, J.E.; Bossuyt, P.M.; Boutron, I.; Hoffmann, T.C.; Mulrow, C.D.; Shamseer, L.; Tetzlaff, J.M.; Akl, E.A.; Brennan, S.E.; et al. The PRISMA 2020 statement: An updated guideline for reporting systematic reviews. BMJ 2021, 372, 71. [Google Scholar] [CrossRef]
- Niyangoda, D.; Thomas, J.; Tesfaye, W. Antistreptococcal and Antistaphylococcal Properties of Cannabinoids: A Systematic Review. 2022. Available online: https://osf.io/6mj49 (accessed on 28 December 2022).
- Clinical Laboratory Standard Iinstitute (CLSI). Methods for Determining Bactericidal Activity of Antimicrobial Agents; Approved Guideline; CLSI Document M26-A; Clinical Laboratory Standard Iinstitute: Wayne, PA, USA, 1999; Reaffirmed 2015. [Google Scholar]
- Balouiri, M.; Sadiki, M.; Ibnsouda, S.K. Methods for in vitro evaluating antimicrobial activity: A review. J. Pharm. Anal. 2015, 6, 71–79. [Google Scholar] [CrossRef]
- Hall, M.; Middleton, R.; Westmacott, D. The fractional inhibitory concentration (FIC) index as a measure of synergy. J. Antimicrob. Chemother. 1983, 11, 427–433. [Google Scholar] [CrossRef]
- Rakholiya, K.D.; Kaneria, M.J.; Chanda, S.V. Chapter 11—Medicinal Plants as Alternative Sources of Therapeutics against Multidrug-Resistant Pathogenic Microorganisms Based on Their Antimicrobial Potential and Synergistic Properties. In Fighting Multidrug Resistance with Herbal Extracts, Essential Oils and Their Components; Rai, M.K., Kon, K.V., Eds.; Academic Press: San Diego, CA, USA, 2013; pp. 165–179. [Google Scholar]
- Schneider, K.; Schwarz, M.; Burkholder, I.; Kopp-Schneider, A.; Edler, L.; Kinsner-Ovaskainen, A.; Hartung, T.; Hoffmann, S. “ToxRTool”, a new tool to assess the reliability of toxicological data. Toxicol. Lett. 2009, 189, 138–144. [Google Scholar] [CrossRef]








| Reference | Compound/Extract/Essential Oil | Bacteria (Type/Source) | Antimicrobial Outcome (MIC, MBC) | Reference Data |
|---|---|---|---|---|
| Ali et al., 2012 [58] | Seeds and the whole plant of C. sativa were sequentially extracted into petroleum ether and MeOH. MeOH extract was used to test MIC. | S. aureus (ATCC 25923) | MIC (mg/L) Seeds = 25 Whole plant = 50 | - |
| Vu et al., 2016 [74] | MeOH extract of leaves and branches of C. sativa | S. aureus (ATCC 6538) | MIC (mg/L) = 2000 MBC (mg/L) > 2000 | MIC (mg/L) Streptomycin sulfate = 5 CHL = 5 MBC (mg/L) Streptomycin sulfate = 10 CHL = 5 |
| Sarmadyan et al., 2014 [72] | Hydro-alcoholic extract of C. sativa | S. aureus (ATCC 25923) | MIC (mg/L) = 25 | - |
| Frassinetti et al., 2020 [62] | 80% EtOH extract of C. sativa L. cultivar Futura 75 seeds | S. aureus (ATCC 25923) | MIC (mg/L) = 1000 | GEN (MIC was not given) VAN (MIC was not given) |
| Muscara et al., 2021 [68] | 0.1% acetic acid/hexane extract of dried flowering tops of C. sativa Chinese accession (G-309) as such and after hydrodistillation of the essential oil | S. aureus (n = 1) (ATCC 6538) | MIC (mg/L) = 39.06 (both extracts) MBC (mg/L) = 39.06–78.13 (both extracts) | MBC (mg/L) VAN = 0.31–0.62 |
| Muscara et al., 2021 [67] | 0.1% acetic acid/hexane extract of dried flowering tops C. sativa L. var. fibrante as such and after hydrodistillation of the essential oil | S. aureus (n = 1) (ATCC 6538) | MIC (mg/L) = 4.88 (both extracts) MBC (mg/L) Original extract = 4.88 After hydrodistillation of essential oil = 19.53 | MBC (mg/L) VAN = 0.32–0.64 |
| Kaur et al., 2015 [65] | Separate extractions of EtOH, MeOH, acetone, and water of C. sativa leaves | S. aureus (n = 1) (MTCC 96) | MIC (mg/L) MeOH extract = 1560 EtOH extract = 6250 Acetone extract = 6250 Water extract = 2500 | - |
| Chauhan et al., 2017 [60] | MeOH extract of C. sativa leaves | S. aureus (n = 1) (MTCC-737) | MIC (mg/L) = 219 | CIP (MIC was not given) |
| Pellegrini et al., 2021 [71] | EO of C. sativa ‘Futura 75’ inflorescence | S. aureus (n = 3) (St 32, St 47 and St 39) | MIC (mg/L) = 1.25–5 MBC (mg/L) = 1.25–5 | - |
| Zengin et al., 2018 [76] | EO of C. sativa L. Futura 75 cultivar (aerial parts consisting of leaves, inflorescences, and thinner residues of stem) | S. aureus (n = 4) (ATCC 29213; clinical strains: S. aureus 101 TV, S. aureus 104, and S. aureus 105) | MIC (mg/L) = 8000 MBC (mg/L) = 16,000 | - |
| Nafis et al., 2019 [69] | EO from the aerial parts of C. sativa | S. aureus (n = 1) (CCMM B3) | MIC (mg/L) = 4700 | MIC (mg/L) CIP = 31 |
| Iseppi et al., 2019 [64] | CBD; EO of C. sativa (from different fibre-type varieties, from inflorescences or the whole plants) | S. aureus (ATCC 6538, 18As, 386) | MIC (mg/L) EOs = 2–32 CBD = 8–32 | MIC (mg/L) CIP = 0.5–16 |
| Abichabki et al., 2022 [56] | CBD | S. aureus, (ATCC 29213, ATCC BAA-976, ATCC BAA-977) | MIC (mg/L) in CAMHB = 4 MIC (mg/L) in MH-F = 64 | PMB (MIC was not given) |
| Blaskovich et al., 2021 [40] | CBD | MSSA, (n ≥ 4) (ATCC 25923, ATCC 29213) | MIC (mg/L) = 1–2 | MIC (mg/L) VAN = 1–2 DAP = 1–2 TMP = 2–4 Mupirocin = 0.25–0.5 CLI = 0.06–0.25 |
| Nigro et al., 2022 [70] | CBDA | S. aureus (n = 1) (ATCC 6538) | MIC (mg/L) = 4 MBC (mg/L) = 16 | - |
| Martinenghi et al., 2020 [66] | CBD, CBDA | S. aureus (n = 1) (ATCC 25923) | MIC (mg/L) CBD = 1 CBDA = 2 | MIC (mg/L) CLI > 128, TOB = 0.25, MEM = 0.06, OFX = 0.5 |
| Schuetz et al., 2021 [57] | CBD, CBG | S. aureus (ATCC 29213) | MIC (mg/L) CBD = 0.65 CBG = 0.78 | MIC (mg/L) DOX = 0.2 |
| van Klingeren and Ten 1976 [55] | CBD, trans-Δ9-THC | S. aureus (n = 4) (ATCC 6538) | MIC (mg/L) in nutrient broth CBD = 1–5 THC = 2–5 MIC (mg/L) in horse blood agar CBD = 20–50 Δ9-THC = 20–50 | - |
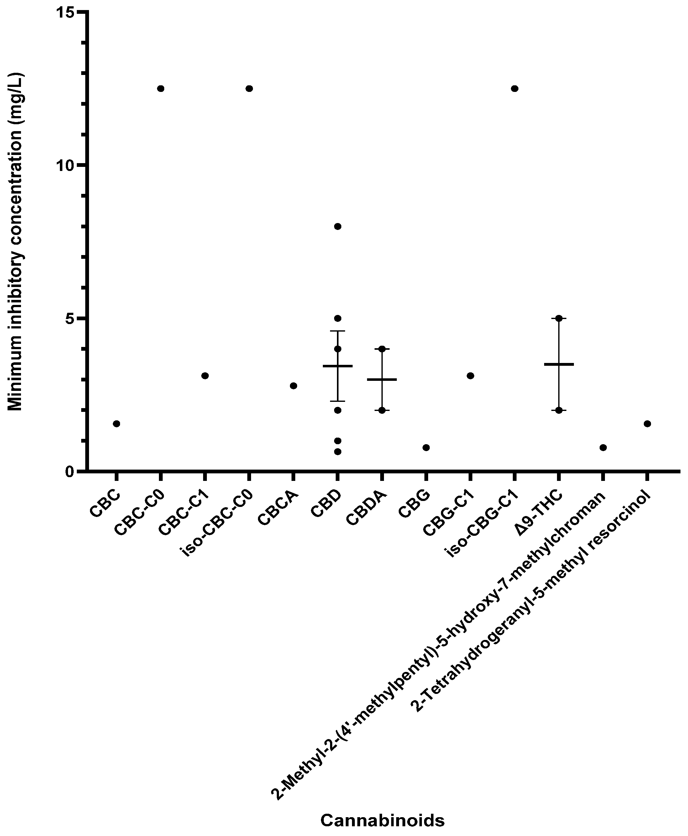
| Turner and Elsohly 1981 [73] | CBC, CBC-C0, CBC-C1, iso-CBC-C0 | S. aureus (ATCC 6538) | MIC (mg/L) CBC = 1.56 CBC-C0 = 12.5 CBC-C1 = 3.12 iso-CBC-C0 = 12.5 | MIC (mg/L) Streptomycin sulfate = 3.12–6.25 |
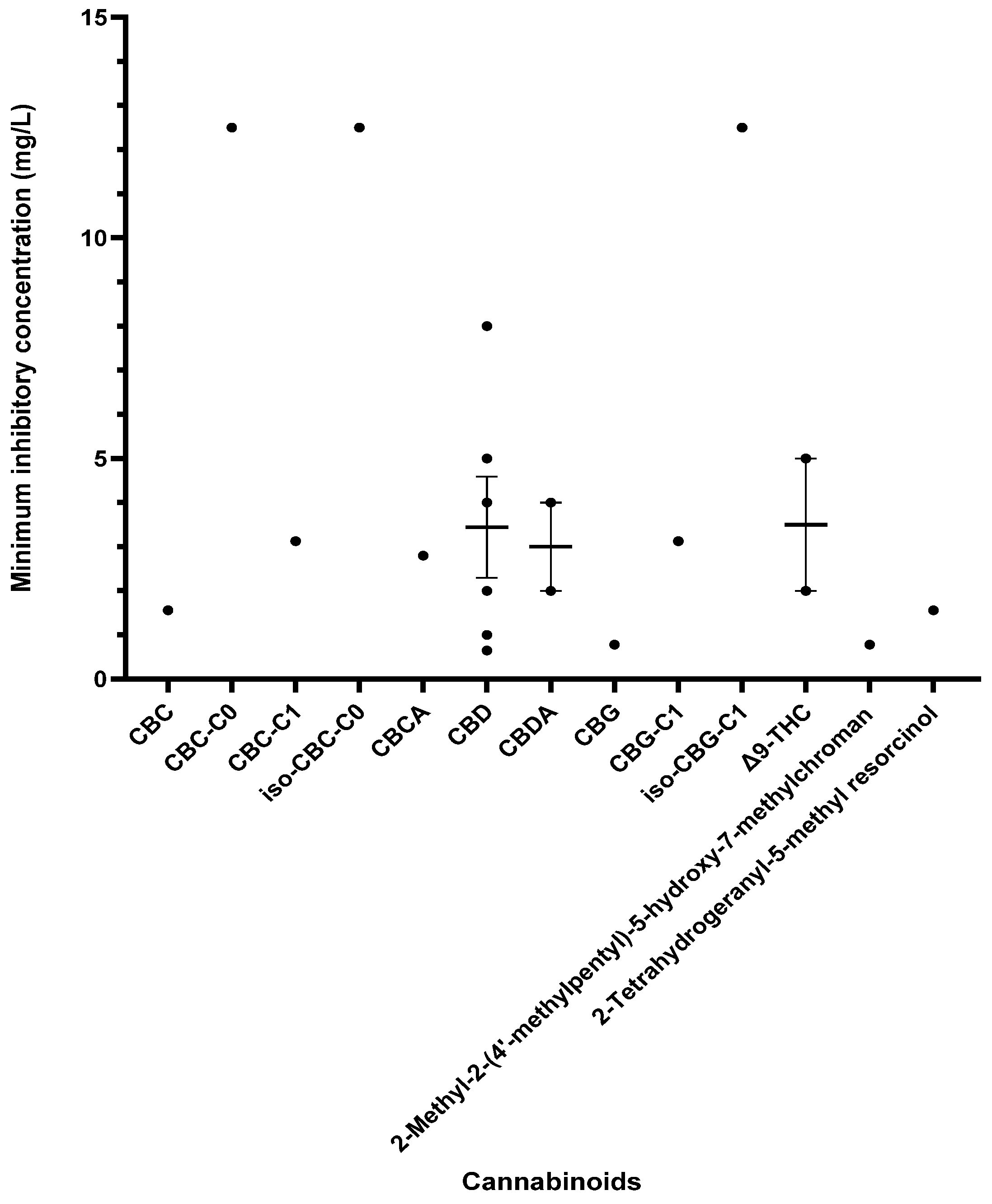
| Eisohly et al., 1982 [61] | CBC [77], CBC-C0 [73,78], CBC-C1 [73,78], iso-CBC-C0 [73], 2-Methyl-2-(4′-methyIpentyl)-5-hydroxy-7-methylchroman, CBG-C1, 2-Tetrahydrogeranyl-5-methyl Resorcinol, 2-Methyl-2-(4′-methylpent-3′-enyl)-5-hydroxy-7-pentadec-8″-enylchromene, 2-Methyl-2-(4′-methylpent-3′-enyl)–5,7-dihydroxychromene | S. aureus (ATCC 6538) | MIC (mg/L) CBC = 1.56 CBC-C0 = 12.5 CBC-C1 = 3.12 iso-CBC-C0 = 12.5 2-Methyl-2-(4′-methyIpentyl)-5-hydroxy-7-methylchroman = 0.78 CBG-C1 = 3.12 iso-CBG-C1 = 12.5 2-Tetrahydrogeranyl-5-methyl resorcinol = 1.56 2-Methyl-2-(4′-methylpent-3′-enyl)-5-hydroxy-7-pentadec-8″-enylchromene = 50 2-Methyl-2-(4′-methylpent-3′-enyl)–5,7-dihydroxychromene = 50 | MIC (mg/L) Streptomycin sulfate = 6.25 |
| Galletta et al., 2020 [63] | CBCA, CBCM, CBCTFA, CBLM, CBDVM | MSSA (34397, Clinical isolate) | MIC (µM) CBCA = 7.8 (2.8 mg/L) CBCM > 250 CBCTFA > 250 CBDVM > 250 CBLM > 250 | - |
| Reference | Compound | Organism | Time-Kill Data |
|---|---|---|---|
| Blaskovich et al., 2021 [40] | CBD | MRSA (n = 4) (ATCC 43300) | CBD exhibited rapid bactericidal activity (<3 h) with an MBC of 2 mg/L. |
| Martinenghi et al., 2020 [66] | CBD | MRSA (n = 1) (USA300) | CBD exhibited concentration-dependent rapid bactericidal activity, [8 mg/L (8 × MIC) was bactericidal in 30 min, 4 mg/L was bactericidal in 1 h, and 2 mg/L was bactericidal in 2 h]. |
| Wassmann et al., 2020 [75] | CBD and BAC | MRSA (USA300 FPR3757) | The 1.5 mg/L CBD and 20 mg/L BAC were not bactericidal or bacteriostatic in the time-kill assay against MRSA (USA300 FPR3757) up to 12 h. Combination of CBD and BAC were bactericidal. But after 8 h, the combination showed re-initiation of growth, which might be a result of degradation or oxidation of CBD. The 2 mg/L CBD and 16 mg/L BAC were synergistically bacteriostatic in the time-kill assay against MRSA (USA300 FPR3757) up to 24 h. |
| Galletta et al., 2020 [63] | CBCA | MRSA (incubated at 5% CO2) | The 40 µM (14.3 mg/L) CBCA exhibited rapid bactericidal activity by reducing the number of viable bacteria to undetectable levels at 2 h post treatment. After 8 h, the bacteria showed re-growth and showed > 5-log increase at 24 h. When the growth MRSA was arrested with carbonyl cyanide m-chlorophenylhydrazone, 40 µM CBCA exhibited rapid bactericidal activity by reducing the bacterial load to undetectable levels at 4 h post treatment. Also, no re-growth was observed. |
| Reference | Studied Agents | Other Compounds/Drugs/Formulations | Tested Combinations | Bacteria | Study Method (Medium) | Study Outcomes |
|---|---|---|---|---|---|---|
| Wassmann et al., 2020 [75] | CBD | BAC | ½ MIC of CBD | MRSA (USA300 FPR 3757) | Not specified (FICI calculated) | FICI = 0.5 (partial synergy) |
| Nafis et al., 2019 [69] | EO from the aerial parts of C. sativa | CIP | S. aureus (CCMM B3) | checkerboard assay | FICI = 0.375 (synergy) | |
| Martinenghi et al., 2020 [66] | CBD | CLI, OFX, MEM, TOB, TEC, MET, VAN | CBD: 16 mg/L to 0.25 mg/L Antibiotics: 128 mg/L to 0.5 mg/L | MRSA (USA300) | checkerboard assay (MHB) | FICI for CBD + CLI = 1.03 CBD + MEM = 1.13 CBD + MET = 1.25 CBD + OFX = 1.50 CBD + TEC = 1.13 CBD + TOB = 1.50 CBD + VAN = 1.13 (All were indifferent) |
| Reference | Studied Agents | Bacteria | Method (Medium) | Activity |
|---|---|---|---|---|
| Wassmann et al., 2020 [75] | CBD CBD + BAC | MRSA USA300 (n = 1) | Static biofilm on silicone discs in 24-well plate | No effects on biofilm formation or degradation by CBD (1 mg/L) or by combination of CBD/BAC (1 mg/L/16 mg/L) |
| Blaskovich et al., 2021 [40] | CBD | S. aureus ATCC 25923 (MSSA) (n = 4) S. aureus ATCC 43300 (MRSA) (n = 4) | 96-well polystyrene plates (TSB with 3% glucose) | MBEC (mg/L) MSSA = 1–2 * MRSA = 2–4 * |
| Zengin et al., 2018 [76] | EO of C. sativa L. Futura 75 cultivar (aerial parts consisting of leaves, inflorescences, and thinner residues of stem) | S. aureus (n = 4) (ATCC 29213, 101, 104, 105) | 96-well polystyrene plates (TSB + 1% sucrose) | MBEC (mg/L) = 16,000–24,000 * |
| Frassinetti et al., 2020 [62] | 80% EtOH extract of C. sativa L. cultivar Futura 75 seeds | S. aureus ATCC 35556 (n = 1) | 96-well polystyrene plates (TSB + 1% sucrose) And biofilm on round cover glass slides placed in 24-well polystyrene plate | Biofilm formation was reduced by C. sativa seed extract at 0.1 mg/mL and 0.25 mg/mL. Biofilm formation was totally blocked by C. sativa seed extract at 0.5 mg/mL and 1 mg/mL with 80% inhibition rate. Inhibition pattern of biofilm formation by vancomycin (positive control) was similar to that of C. sativa seed extract. |
| Farha et al., 2020 [39] | CBC, CBCA, CBD, CBDA, CBDV, CBDVA, CBG, CBGA, CBL, CBN, (−)-Δ8-THC, (−)-Δ9-THC, exo-THC, THCAA, THCV, THCVA, (±)11-nor-9-carboxy-delta-9-THC, (±)11-hydroxy-delta-9-THC | MRSA USA300 (n = 1) | static abiotic solid-surface assays (polystyrene 96-well plates in (TSB) with 1% glucose) | Minimal biofilm eradication concentration (mg/L) CBC = 8 * CBCA = 4 * CBD = 4 * CBDA > 8 CBDV > 8 CBDVA > 8 CBG = 4 * CBGA = 4 * CBL > 8 CBN > 8 Δ9-THC > 8 Δ8-THC = 2 Exo-THC = 2 Δ9-THCA-A > 8 THCV = 8 * THCVA > 8 +/−11-nor-9-carboxy- Δ9-THC > 8 +/−11-hydroxy-Δ9-THC > 8 |
| Reference | Compound/Extract/EO | Bacteria (Type/Source) | Antimicrobial Outcome (MIC, MBC) | Reference Data |
|---|---|---|---|---|
| Abichabki et al., 2022 [56] | CBD | S. pyogenes (n = 1) (ATCC 12344) | MIC (mg/L) = 32 | PMB (MIC not given) |
| Schuetz et al., 2021 [57] | CBD, CBG | S. pyogenes (ATCC 19615) | MIC (mg/L) CBD = 0.65 CBG = 0.59 | MIC (mg/L) DOX = 0.11 |
| Blaskovich et al., 2021 [40] | CBD | S. pyogenes (n ≥ 4) (ATCC 12344, ATCC 49399, ATCC 19615, ATCC BAA-1412, ATCC BAA-1414, MMX 3820 ERY) | MIC (mg/L) Against ATCC 12344 = 1 Other S. pyogenes = 8–32 | MIC (mg/L) VAN > 64 DAP = 1–4 TMP = >64 Mupirocin = 32–64 CLI = >64 |
| van Klingeren and Ten 1976 [55] | trans Δ9-THC, CBD | S. pyogenes (n = 1) | MIC (mg/L) (nutrient broth) Δ9-THC = 5 CBD = 2 MIC (mg/L) (horse blood agar) Δ9-THC = 50 CBD = 50 | - |
Disclaimer/Publisher’s Note: The statements, opinions and data contained in all publications are solely those of the individual author(s) and contributor(s) and not of MDPI and/or the editor(s). MDPI and/or the editor(s) disclaim responsibility for any injury to people or property resulting from any ideas, methods, instructions or products referred to in the content. |
© 2024 by the authors. Licensee MDPI, Basel, Switzerland. This article is an open access article distributed under the terms and conditions of the Creative Commons Attribution (CC BY) license (https://creativecommons.org/licenses/by/4.0/).
Share and Cite
Niyangoda, D.; Aung, M.L.; Qader, M.; Tesfaye, W.; Bushell, M.; Chiong, F.; Tsai, D.; Ahmad, D.; Samarawickrema, I.; Sinnollareddy, M.; et al. Cannabinoids as Antibacterial Agents: A Systematic and Critical Review of In Vitro Efficacy Against Streptococcus and Staphylococcus. Antibiotics 2024, 13, 1023. https://doi.org/10.3390/antibiotics13111023
Niyangoda D, Aung ML, Qader M, Tesfaye W, Bushell M, Chiong F, Tsai D, Ahmad D, Samarawickrema I, Sinnollareddy M, et al. Cannabinoids as Antibacterial Agents: A Systematic and Critical Review of In Vitro Efficacy Against Streptococcus and Staphylococcus. Antibiotics. 2024; 13(11):1023. https://doi.org/10.3390/antibiotics13111023
Chicago/Turabian StyleNiyangoda, Dhakshila, Myat Lin Aung, Mallique Qader, Wubshet Tesfaye, Mary Bushell, Fabian Chiong, Danny Tsai, Danish Ahmad, Indira Samarawickrema, Mahipal Sinnollareddy, and et al. 2024. "Cannabinoids as Antibacterial Agents: A Systematic and Critical Review of In Vitro Efficacy Against Streptococcus and Staphylococcus" Antibiotics 13, no. 11: 1023. https://doi.org/10.3390/antibiotics13111023
APA StyleNiyangoda, D., Aung, M. L., Qader, M., Tesfaye, W., Bushell, M., Chiong, F., Tsai, D., Ahmad, D., Samarawickrema, I., Sinnollareddy, M., & Thomas, J. (2024). Cannabinoids as Antibacterial Agents: A Systematic and Critical Review of In Vitro Efficacy Against Streptococcus and Staphylococcus. Antibiotics, 13(11), 1023. https://doi.org/10.3390/antibiotics13111023

