In Vitro Antifungal Activity and Toxicity of Dihydrocarvone-Hybrid Derivatives against Monilinia fructicola
Abstract
1. Introduction
2. Results and Discussion
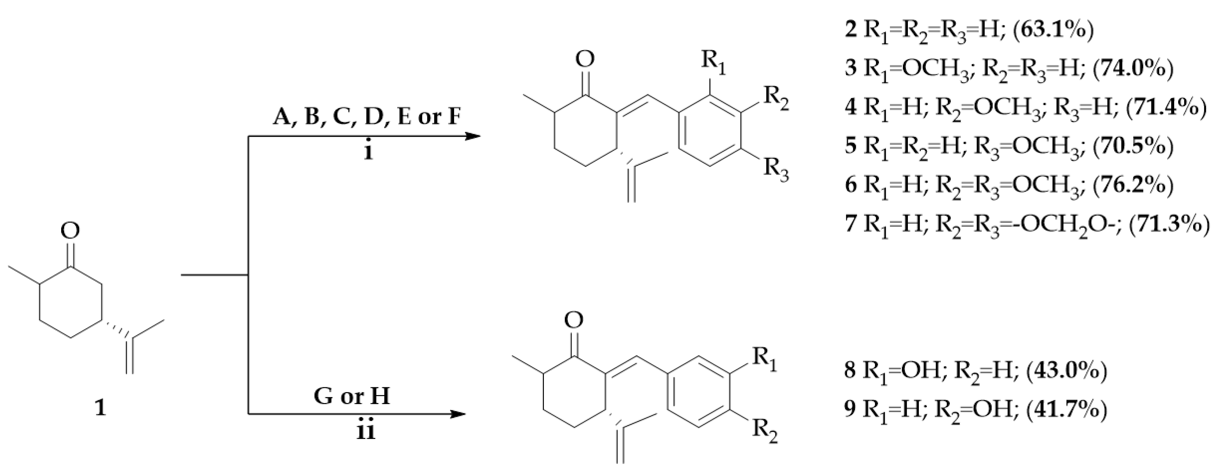
2.1. Chemistry
2.2. Biological Activities
2.2.1. Antifungal Activity of Dihydrocarvone-Hybrid Derivatives against Both Strains of Monilinia fructicola In Vitro
2.2.2. Cytotoxic Activity
3. Materials and Methods
3.1. Synthesis
3.1.1. Synthesis of Dihydrocarvone-Hybrid Derivatives 2–7
3.1.2. Synthesis of Dihydrocarvone-Hybrid Derivatives 8 and 9
3.2. Biological Activities
3.2.1. Antifungal Activities of Dihydrocarvone-Hybrid Derivatives against M. fructicola In Vitro
3.2.2. Brine Shrimp Lethality Test
4. Conclusions
Supplementary Materials
Author Contributions
Funding
Institutional Review Board Statement
Informed Consent Statement
Data Availability Statement
Acknowledgments
Conflicts of Interest
References
- Aksoy, M.A.; Beghin, J.C. Global Agricultural Trade and Developing Countries; The World Bank: Washington, DC, USA, 2005. [Google Scholar]
- FAO. Fruit and vegetables—Your dietary essentials. In The International Year of Fruits and Vegetables, 2021; Background Paper; FAO: Rome, Italy, 2020. [Google Scholar] [CrossRef]
- Khan, N.A.; Bhat, Z.A.; Bhat, M.A. Diseases of Stone Fruit Crops. In Production Technology of Stone Fruits, 1st ed.; Mir, M.M., Iqbal, U., Mir, S.A., Eds.; Springer: Singapore, 2021; Volume 14, pp. 359–395. [Google Scholar]
- Abate, D.; Pastore, C.; Gerin, D.; De Miccolis Angelini, R.M.; Rotolo, C.; Pollastro, S.; Faretra, F. Characterization of Monilinia spp. Populations on Stone Fruit in South Italy. Plant. Dis. 2018, 102, 1708–1717. [Google Scholar] [CrossRef]
- Oliveira, L.; Pacheco, I.; Mercier, V.; Faoro, F.; Bassi, D.; Bornard, I.; Quilot-Turion, B. Brown Rot Strikes Prunus Fruit: An Ancient Fight Almost Always Lost. J. Agric. Food Chem. 2016, 64, 4029–4047. [Google Scholar] [CrossRef]
- Pivotto, E.; Brackmann, A.; Thewes, F.R.; Liberalesso, F.; Weber, A.; Blum, E. Postharvest biological control of brown rot in peaches after cold storage preceded by preharvest chemical. Rev. Ceres 2015, 62, 539–545. [Google Scholar] [CrossRef][Green Version]
- Tran, T.T.; Li, H.; Nguyen, D.Q.; Sivasithamparam, K.; Jones, M.G.K.; Wylie, S.J. Spatial distribution of Monilinia fructicola and M. laxa in stone fruit production areas in Western Australia. Australas. Plant Pathol. 2017, 46, 339–349. [Google Scholar] [CrossRef]
- Sanoamuang, N.; Gaunt, R.E. Persistance and fitness of carbendazimand dicarboximide-resistant isolates of Monilinia fructicola (Wint.) Honey in flowers, shoots and fruit of stone fruit. Plant Pathol. 1995, 44, 448–457. [Google Scholar] [CrossRef]
- Ma, Z.; Yoshimura, M.A.; Michailides, T.J. Identification and characterization of benzimidazole resistance in Monilinia fructicola from stone fruit orchards in California. Appl. Environ. Microbiol. 2003, 69, 7145–7152. [Google Scholar] [CrossRef] [PubMed]
- Ma, Z.; Michailides, T.J. Advances in understanding molecular mechanisms of fungicide resistance and molecular detection of resistant genotypes in phytopathogenic fungi. Crop. Prot. 2005, 24, 853–863. [Google Scholar] [CrossRef]
- Adaskaveg, J.E.; Förster, H. New developments in postharvest fungicide registrations for edible horticultural crops and use strategies in the United States. In Post-Harvest Plant Pathology; Prusky, D., Gullino, M.L., Eds.; Springer: New York, NY, USA, 2010; pp. 107–117. [Google Scholar]
- Mahizan, N.A.; Yang, S.-K.; Moo, C.-L.; Song, A.A.-L.; Chong, C.-M.; Chong, C.-W.; Abushelaibi, A.; Lim, S.-H.E.; Lai, K.-S. Terpene Derivatives as a Potential Agent against Antimicrobial Resistance (AMR) Pathogens. Molecules 2019, 24, 2631. [Google Scholar] [CrossRef]
- Xu, M.; Wu, P.; Shen, F.; Ji, J.; Rakesh, K.P. Chalcone derivatives and their antibacterial activities: Current development. Bioorg. Chem. 2019, 91, 103133. [Google Scholar] [CrossRef]
- Khameneh, B.; Iranshahy, M.; Soheili, V.; Bazzaz, B. Review on plant antimicrobials: A mechanistic viewpoint. Antimicrob. Resist. Infect. Control 2019, 8, 118. [Google Scholar] [CrossRef]
- Jagodziński, T.S.; Sośnicki, J.G.; Struk, L. Synthesis of some optically active terpenoid-derived thioamides. Phosphorus Sulfur Relat. Elem. 2016, 191, 290–296. [Google Scholar] [CrossRef]
- Porto, C.; Stüker, C.Z.; Mallmann, A.S.; Simionatto, E.; Flach, A.; Canto-Dorow, T.; Silva, U.F.; Dalcol, I.I.; Morel, A.F. (R)-(-)-carvone and (1R, 4R)-trans-(+)-dihydrocarvone from Poiretia latifolia vogel. J. Braz. Chem. Soc. 2010, 21, 782–786. [Google Scholar] [CrossRef]
- Aggarwal, K.K.; Khanuja, S.P.S.; Ahmad, A.; Kumar, T.R.S.; Gupta, V.K.; Kumar, S. Antimicrobial activity profiles of the two enantiomers of limonene and carvone isolated from the oils of Mentha spicata and Anethum sowa. Flavour Fragr. J. 2002, 17, 59–63. [Google Scholar] [CrossRef]
- Foganholi, A.P.A.M.; Daniel, J.F.S.; Santiago, D.C.; Orives, J.R.; Pereira, J.P.; Faria, T.J. Chemical composition and antifungal activity of pennyroyal essential oil in different stages of development. Semin. Ciênc. Agrár. 2015, 36, 3091–3100. [Google Scholar] [CrossRef]
- Ali, H.M.; Elgat, W.A.A.A.; EL-Hefny, M.; Salem, M.Z.M.; Taha, A.S.; Al Farraj, D.A.; Elshikh, M.S.; Hatamleh, A.A.; Abdel-Salam, E.M. New Approach for Using of Mentha longifolia L. and Citrus reticulata L. Essential Oils as Wood-Biofungicides: GC-MS, SEM, and MNDO Quantum Chemical Studies. Materials 2021, 14, 1361. [Google Scholar] [CrossRef]
- Mahapatra, D.K.; Bharti, S.K.; Asati, V. Chalcone scaffolds as anti-infective agents: Structural and molecular target perspectives. Eur. J. Med. Chem. 2015, 101, 496–524. [Google Scholar] [CrossRef]
- Bonvicini, F.; Gentilomi, G.A.; Bressan, F.; Gobbi, S.; Rampa, A.; Bisi, A.; Belluti, F. Functionalization of the Chalcone Scaffold for the Discovery of Novel Lead Compounds Targeting Fungal Infections. Molecules 2019, 24, 372. [Google Scholar] [CrossRef]
- Mondal, R.; Mandal, T.K.; Mallik, A.K. An Expeditious and Safe Synthesis of Some Exocyclic α,β-Unsaturated Ketones by Microwave-Assisted Condensation of Cyclic Ketones with Aromatic Aldehydes over Anhydrous Potassium Carbonate. Org. Chem. Int. 2012, 456097, 1–8. [Google Scholar] [CrossRef][Green Version]
- Schlumpf, M.; Cotton, B.; Conscience, M.; Haller, V.; Steinmann, B.; Lichtensteiger, W. In vitro and in vivo estrogenicity of UV screens. Environ. Health Perspect. 2001, 109, 239–244. [Google Scholar] [CrossRef]
- Vashchenko, V.; Kutulya, L.; Krivoshey, A. Simple and Effective Protocol for Claisen—Schmidt Condensation of Hindered Cyclic Ketones with Aromatic Aldehydes. Synthesis 2007, 14, 2125–2134. [Google Scholar] [CrossRef]
- Li, J.T.; Yang, W.Z.; Wang, S.X.; Li, S.H.; Li, T.S. Improved synthesis of chalcones under ultrasound irradiation. Ultrason. Sonochem. 2002, 9, 237–239. [Google Scholar] [CrossRef]
- Trader, D.J.; Carlson, E.E. Chemoselective hydroxyl group transformation: An elusive target. Mol. Biosyst. 2012, 8, 2484–2493. [Google Scholar] [CrossRef]
- Wang, L.M.; Sheng, J.; Tian, H.; Han, J.W.; Fan, Z.Y.; Qian, C.T. A convenient synthesis of α,α-bis(substituted benzylidene)cycloalkanones catalyzed by Yb(OTf)3 under solvent-free conditions. Synthesis 2004, 2004, 3060–3064. [Google Scholar] [CrossRef]
- Calvino, V.; Picallo, M.; López-Peinado, A.J.; Martín-Aranda, R.M.; Durán-Valle, C.J. Ultrasound accelerated Claisen–Schmidt condensation: A green route to chalcones. Appl. Surf. Sci. 2006, 252, 6071–6074. [Google Scholar] [CrossRef]
- Lahyani, A.; Trabelsi, M. Ultrasonic-assisted synthesis of flavones by oxidative cyclization of 2′-hydroxychalcones using iodine monochloride. Ultrason. Sonochem. 2016, 31, 626–630. [Google Scholar] [CrossRef]
- Chuiko, V.A.; Vinarskaya, Z.V.; Izotova, L.V. Synthesis and properties of benzylidene derivatives of terpenoid ketones. Russ. J. Org. Chem. 2002, 38, 196–199. [Google Scholar] [CrossRef]
- Trofimov, B.; Schmidt, E.; Zorina, N.; Ivanova, E.; Ushakov, I.; Mikhaleva, A. Transition Metal-Free Stereoselective α-Vinylation of Cyclic Ketones with Arylacetylenes in the Superbasic Catalytic Triad Potassium Hydroxide/tert-Butyl Alcohol/Dimethyl Sulfoxide. Adv. Synth. Catal. 2012, 354, 1813–1818. [Google Scholar] [CrossRef]
- Zheng, Y.; Wang, X.; Gao, S.; Ma, M.; Ren, G.; Liu, H.; Chen, X. Synthesis and antifungal activity of chalcone derivatives. Nat. Prod. Res. 2015, 29, 1804–1810. [Google Scholar] [CrossRef] [PubMed]
- Khayyat, S.A.; Sameeh, M.Y. Bioactive epoxides and hydroperoxides derived from naturally monoterpene geranyl acetate. Saudi Pharm. J. 2018, 26, 14–19. [Google Scholar] [CrossRef] [PubMed]
- Lu, Q.; Harmalkar, D.S.; Choi, Y.; Lee, K. An Overview of Saturated Cyclic Ethers: Biological Profiles and Synthetic Strategies. Molecules 2019, 24, 3778. [Google Scholar] [CrossRef]
- Dong, H.; Wang, W.; Zhao, Y.; Liu, X.; Wang, M. Synthesis and Antifungal Activity of 3,7-Dimethyl-7-hydroxy-2-octen-6-olide Analogues. Chin. J. Org. Chem. 2021, 41, 1646–1657. [Google Scholar] [CrossRef]
- Brent, K.J.; Hollomon, D.W. Fungicide Resistance in Crop Pathogens. How Can It Be Managed? FRAC Monograph No. 1 (second, revised edition); The Fungicide Resistance Action Committee: Brussels, Belgium, 2007; pp. 18–39. [Google Scholar]
- Chen, F.; Liu, X.; Chen, S.; Schnabel, E.; Schnabel, G. Characterization of Monilinia fructicola Strains Resistant to Both Propiconazole and Boscalid. Plant Dis. 2013, 97, 645–651. [Google Scholar] [CrossRef]
- McLaughlin, J.L.; Rogers, L.L.; Anderson, J.E. The Use of Biological Assays to Evaluate Botanicals. Drug Inf. J. 1998, 32, 513–524. [Google Scholar] [CrossRef]
- Soares, B.V.; Morais, S.M.; Dos Santos Fontenelle, R.O.; Queiroz, V.A.; Vila-Nova, N.S.; Pereira, C.M.C.; Brito, E.S.; Neto, M.A.S.; Brito, E.H.S.; Cavalcante, C.S.P.; et al. Antifungal Activity, Toxicity and Chemical Composition of the Essential Oil of Coriandrum sativum L. Fruits. Molecules 2012, 17, 8439–8448. [Google Scholar] [CrossRef]
- Ntungwe, E.; Domínguez-Martín, E.M.; Roberto, A.; Tavares, J.; Isca, V.M.S.; Pereira, P.; Cebola, M.J.; Rijo, P. Artemia species: An Important Tool to Screen General Toxicity Samples. Curr. Pharm. Des. 2020, 26, 2892–2908. [Google Scholar] [CrossRef] [PubMed]
- Nguta, J.M.; Mbaria, J.M.; Gakuya, D.W.; Gathumbi, P.K.; Kabasa, J.D.; Kiama, S.G. Evaluation of acute toxicity of crude plant extracts from Kenyan biodiversity using brine shrimp, Artemia salina L. (Artemiidae). Open Conf. Proc. J. 2012, 3, 30–34. [Google Scholar] [CrossRef]
- Wiji Prasetyaningrum, P.; Bahtiar, A.; Hayun, H. Synthesis and Cytotoxicity Evaluation of Novel Asymmetrical Mono-Carbonyl Analogs of Curcumin (AMACs) against Vero, HeLa, and MCF7 Cell Lines. Sci. Pharm. 2018, 86, 25. [Google Scholar] [CrossRef]
- Montenegro, I.; Pino, L.; Werner, E.; Madrid, A.; Espinoza, L.; Moreno, L.; Villena, J.; Cuellar, M. Comparative Study on the Larvicidal Activity of Drimane Sesquiterpenes and Nordrimane Compounds against Drosophila melanogaster til-til. Molecules 2013, 18, 4192–4208. [Google Scholar] [CrossRef]
- Schneider, R.A.; Meinwald, J. Photochemical Reactions of α,β-Unsaturated Carbonyl Compounds with Olefins. J. Am. Chem. Soc. 1967, 89, 2023–2032. [Google Scholar] [CrossRef]
- Murthy, Y.L.N.; Acharyulu, P.V.N.; Dubey, P.K.; Sundari, T.T. Synthesis, Characterization and Bioevaluation of New Tetrahydroquinazolines. J. Korean Chem. Soc. 2008, 52, 257–265. [Google Scholar] [CrossRef][Green Version]
- Olea, A.F.; Espinoza, L.; Sedan, C.; Thomas, M.; Martínez, R.; Mellado, M.; Carrasco, H.; Díaz, K. Synthesis and In Vitro Growth Inhibition of 2-Allylphenol Derivatives Against Phythopthora cinnamomi Rands. Molecules 2019, 24, 4196. [Google Scholar] [CrossRef] [PubMed]
- Madrid, A.; Espinoza, L.; Pavéz, C.; Carrasco, H.; Hidalgo, M.E. Antioxidant and toxicity activity in vitro of twelve safrole derivatives. J. Chil. Chem. Soc. 2014, 59, 2598–2601. [Google Scholar] [CrossRef][Green Version]
- Meyer, B.N.; Ferrigini, R.N.; Putnam, J.E.; Jacobsen, L.B.; Nichols, D.E.; McLaughlin, J.L. Brine shrimp: A convenient general bioassay for active plant constituents. Planta Med. 1982, 45, 31–35. [Google Scholar] [CrossRef] [PubMed]




| Strains | ||||
|---|---|---|---|---|
| S1 | S2 | |||
| Compound | EC50 ± SD (µg/mL) | R | EC50 ± SD (µg/mL) | R |
| 1 | i | i | i | i |
| 2 | i | i | i | i |
| 3 | i | i | 58.0 ± 0.7 | 0.9101 |
| 4 | 273.2 ± 0.9 | 0.8859 | 39.6 ± 1.1 | 0.9341 |
| 5 | i | i | 23.1 ± 1.2 | 0.9592 |
| 6 | i | i | 47.7 ± 0.8 | 0.8831 |
| 7 | 148.1 ± 1.4 | 0.9856 | 18.1 ± 0.0 | 0.9781 |
| 8 | 145.9 ± 1.7 | 0.9580 | 15.7 ± 1.3 | 0.9703 |
| 9 | i | i | i | i |
| Mystic® 520 SC | 33.73 ± 1.0 | 0.8914 | 9.1 ± 0.0 | 0.9998 |
| BC-1000® | 280.0 ± 1.6 | 0.9500 | 10.5 ± 0.1 | 0.9884 |
| Negative Control | i | i | i | i |
| Compound | LD50 (µg/mL) | 95% CI a |
|---|---|---|
| 1 | 550 | 384–918 |
| 2 | >1000 | nd |
| 3 | >1000 | nd |
| 4 | >1000 | nd |
| 5 | >1000 | nd |
| 6 | 954 | 580–1878 |
| 7 | 910 | 822–1537 |
| 8 | 890 | 533–1757 |
| 9 | 847 | 478–2244 |
| Mystic® 520 SC | 10.3 | 9.9–15.6 |
Publisher’s Note: MDPI stays neutral with regard to jurisdictional claims in published maps and institutional affiliations. |
© 2021 by the authors. Licensee MDPI, Basel, Switzerland. This article is an open access article distributed under the terms and conditions of the Creative Commons Attribution (CC BY) license (https://creativecommons.org/licenses/by/4.0/).
Share and Cite
Díaz, K.; Werner, E.; Besoain, X.; Flores, S.; Donoso, V.; Said, B.; Caro, N.; Vega, E.; Montenegro, I.; Madrid, A. In Vitro Antifungal Activity and Toxicity of Dihydrocarvone-Hybrid Derivatives against Monilinia fructicola. Antibiotics 2021, 10, 818. https://doi.org/10.3390/antibiotics10070818
Díaz K, Werner E, Besoain X, Flores S, Donoso V, Said B, Caro N, Vega E, Montenegro I, Madrid A. In Vitro Antifungal Activity and Toxicity of Dihydrocarvone-Hybrid Derivatives against Monilinia fructicola. Antibiotics. 2021; 10(7):818. https://doi.org/10.3390/antibiotics10070818
Chicago/Turabian StyleDíaz, Katy, Enrique Werner, Ximena Besoain, Susana Flores, Viviana Donoso, Bastian Said, Nelson Caro, Ernesto Vega, Iván Montenegro, and Alejandro Madrid. 2021. "In Vitro Antifungal Activity and Toxicity of Dihydrocarvone-Hybrid Derivatives against Monilinia fructicola" Antibiotics 10, no. 7: 818. https://doi.org/10.3390/antibiotics10070818
APA StyleDíaz, K., Werner, E., Besoain, X., Flores, S., Donoso, V., Said, B., Caro, N., Vega, E., Montenegro, I., & Madrid, A. (2021). In Vitro Antifungal Activity and Toxicity of Dihydrocarvone-Hybrid Derivatives against Monilinia fructicola. Antibiotics, 10(7), 818. https://doi.org/10.3390/antibiotics10070818

