Label-Free Monitoring of Human IgG/Anti-IgG Recognition Using Bloch Surface Waves on 1D Photonic Crystals
Abstract
1. Introduction
2. Materials and Methods
2.1. 1DPC Optical Design and Fabrication
2.2. Description of the Optical Read-Out System
2.3. Bioconjugation of the 1DPC Surface
2.4. Data Format and Statistical Analysis
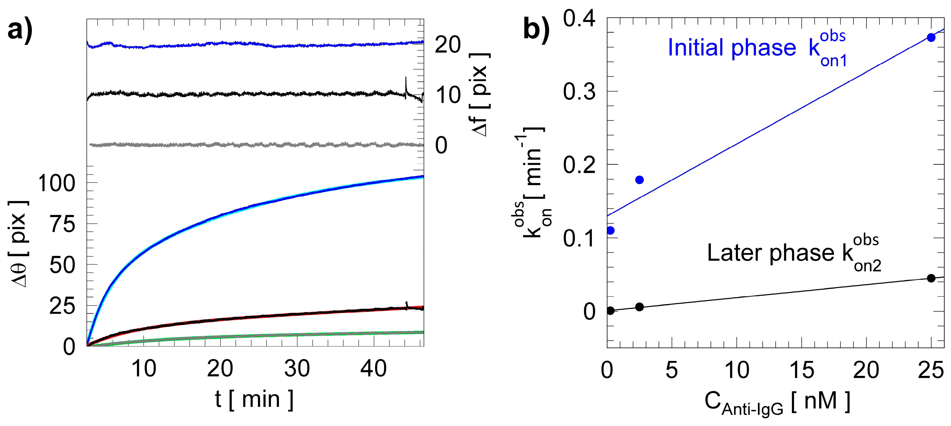
3. Results and Discussion
4. Conclusions
Author Contributions
Funding
Conflicts of Interest
References
- Schork, N.S. Personalized medicine: Time for one-person trials. Nature 2015, 520, 609–611. [Google Scholar] [CrossRef] [PubMed]
- Giljohann, D.A.; Mirkin, C.A. Drivers of biodiagnostic development. Nature 2009, 462, 461–464. [Google Scholar] [CrossRef] [PubMed]
- Homola, J. Surface plasmon resonance sensors for detection of chemical and biological species. Chem. Rev. 2008, 108, 462–493. [Google Scholar] [CrossRef] [PubMed]
- Konopsky, V.N.; Alieva, E.V. Photonic crystal surface waves for optical biosensors. Anal. Chem. 2007, 79, 4729–4735. [Google Scholar] [CrossRef] [PubMed]
- Barrios, C.A. Optical Slot-Waveguide Based Biochemical Sensors. Sensors 2009, 9, 4751–4765. [Google Scholar] [CrossRef] [PubMed]
- Dar, T.; Homola, J.; Azizur Rahman, B.M.; Rajarajan, M. Label-free slot-waveguide biosensor for the detection of DNA hybridization. Appl. Opt. 2012, 51, 8195–8202. [Google Scholar] [CrossRef] [PubMed]
- Jiang, B.; Zhou, K.; Wang, C.; Sun, Q.; Yin, G.; Tai, Z.; Wilson, K.; Zhao, J.; Zhang, L. Label-free glucose biosensor based on enzymatic graphene oxide-functionalized tilted fiber grating. Sens. Actuator B Chem. 2018, 254, 1033–1039. [Google Scholar] [CrossRef]
- Wolfbeis, O.S.; Homola, J. Springer Series on Chemical Sensors and Biosensors; Springer: Berlin, Germany, 2006; Volume 4. [Google Scholar] [CrossRef]
- Kabashin, A.V.; Evans, P.; Pastkovsky, S.; Hendren, W.; Wurtz, G.A.; Atkinson, R.; Pollard, R.; Podolskiy, V.A.; Zayats, A.V. Plasmonic nanorod metamaterial for biosensing. Nat. Mater. 2009, 8, 867–871. [Google Scholar] [CrossRef] [PubMed]
- Vollmer, F.; Arnold, S. Whispering-gallery-mode biosensing: Label-free detection down to single molecules. Nat. Methods 2008, 5, 591–596. [Google Scholar] [CrossRef] [PubMed]
- Shafiee, H.; Lidstone, E.; Jahangir, M.; Inci, F.; Kuritzkes, D.; Cunningham, B.T.; Demirci, U. Nanostructured Optical Photonic Crystal Biosensor for HIV Viral Load Measurement. Sci. Rep. 2014, 4. [Google Scholar] [CrossRef] [PubMed]
- Yeh, P.; Yariv, A.; Hon, C.-S. Electromagnetic propagation in periodic stratified media. I. General theory. J. Opt. Soc. Am. 1997, 67, 423–438. [Google Scholar] [CrossRef]
- Danz, N.; Sinibaldi, A.; Michelotti, F.; Descrovi, E.; Munzert, P.; Schulz, U.; Sonntag, F. Improving the sensitivity of optical biosensors by means of Bloch surface waves. Biomed. Eng. Biomed. Tech. 2012, 57, 584–587. [Google Scholar] [CrossRef]
- Danz, N.; Sinibaldi, A.; Munzert, P.; Anopchenko, A.; Förster, E.; Schmieder, S.; Chandrawati, R.; Rizzo, R.; Heller, R.; Sonntag, F.; et al. Biosensing platform combining label-free and labelled analysis using Bloch surface waves. In Proceedings of the SPIE Optics + Optoelectronics, Prague, Czech Republic, 13–16 April 2015. [Google Scholar] [CrossRef]
- Carrasco, N.; Tahara, S.M.; Patel, L.; Goldkorn, T.; Kaback, H.R. Preparation, characterization, and properties of monoclonal antibodies against the lac carrier protein from Escherichia coli. Proc. Natl. Acad. Sci. USA 1982, 79, 6894–6898. [Google Scholar] [CrossRef] [PubMed]
- Giese, C.; Lubitz, A.; Demmler, C.D.; Reuschel, J.; Bergner, K.; Marx, U. Immunological substance testing on human lymphatic micro-organoids in vitro. J. Biotechnol. 2010, 148, 38–45. [Google Scholar] [CrossRef] [PubMed]
- Raether, H. Surface Plasmons on Smooth and Rough Surfaces and on Gratings; Springer: Berlin, Germany, 1986. [Google Scholar]
- Sinibaldi, A.; Danz, N.; Descrovi, E.; Munzert, P.; Schulz, U.; Sonntag, F.; Dominici, L.; Michelotti, F. Direct comparison of the performance of Bloch surface wave and surface plasmon polariton sensors. Sens. Actuator B Chem. 2012, 174, 292–298. [Google Scholar] [CrossRef]
- Johnson, S.G.; Joannopoulos, J.D. Block-iterative frequency-domain methods for Maxwell’s equations in a planewave basis. Opt. Express 2001, 8, 173–190. [Google Scholar] [CrossRef] [PubMed]
- Sinibaldi, A.; Rizzo, R.; Figliozzi, G.; Descrovi, E.; Danz, N.; Munzert, P.; Anopchenko, A.; Michelotti, F. A full ellipsometric approach to optical sensing with Bloch surface waves on photonic crystals. Opt. Express 2013, 21, 23331–23344. [Google Scholar] [CrossRef] [PubMed]
- Anopchenko, A.; Occhicone, A.; Rizzo, R.; Sinibaldi, A.; Figliozzi, G.; Danz, N.; Munzert, P.; Michelotti, F. Effect of thickness disorder on the performance of photonic crystal surface wave sensors. Opt. Express 2016, 24, 7728–7742. [Google Scholar] [CrossRef] [PubMed]
- Rizzo, R.; Danz, N.; Michelotti, F.; Maillart, E.; Anopchenko, A.; Wächter, C. Optimization of angularly resolved Bloch Surface Waves Biosensors. Opt. Express 2014, 22, 23202–23214. [Google Scholar] [CrossRef] [PubMed]
- Vashist, S.K.; Dixit, C.K.; MacCraith, B.D.; O’Kennedy, R. Effect of antibody immobilization strategies on the analytical performance of a surface plasmon resonance-based immunoassay. Analyst 2011, 136, 4431–4436. [Google Scholar] [CrossRef] [PubMed]
- Vashist, S.K. Comparison of various 1-Ethyl-3-(3-dimethylaminopropyl) carbodiimide based strategies for crosslinking antibodies to 3-aminopropytriethoxysilane-functionalized bioanalytical platforms. Diagnostics 2012, 2, 23–33. [Google Scholar] [CrossRef] [PubMed]
- Nakajima, N.; Ikada, Y. Mechanism of amide formation by carbodiimide for bioconjugation in aqueous media. Bioconjugate Chem. 1995, 6, 123–130. [Google Scholar] [CrossRef]
- Biacore, BR-1005-71, Sensor Surface Handbook. Available online: www.biacore.com (accessed on 22 February 2018).
- Sinibaldi, A.; Sampaoli, C.; Danz, N.; Munzert, P.; Sonntag, F.; Centola, F.; Occhicone, A.; Tremante, E.; Giacomini, P.; Michelotti, F. Bloch surface waves biosensors for high sensitivity detection of soluble ERBB2 in a complex biological environment. Biosensors 2017, 7, 33. [Google Scholar] [CrossRef] [PubMed]
- Bergström, G.; Mandenius, C.-F. Orientation and capturing of antibody affinity ligands: Applications to surface plasmon resonance biochips. Sens. Actuator B Chem. 2011, 158, 265–270. [Google Scholar] [CrossRef]
- Prickril, B.; Rasooly, A. Biosensors and Biodetection: Methods and Protocols Volume 2, Electrochemical, Bioelectronic, Piezoelectric, Cellular and Molecular Biosensors, 2nd ed.; Humana Press: New York City, NY, USA, 2017; Volume 2, p. 1572. ISBN 978-1-4939-6910-4. [Google Scholar]
- Sinibaldi, A.; Anopchenko, A.; Rizzo, R.; Danz, N.; Munzert, P.; Rivolo, P.; Frascella, F.; Ricciardi, S.; Michelotti, F. Angularly resolved ellipsometric optical biosensing by means of Bloch surface waves. Anal. Bioanal. Chem. 2015, 407, 3965–3974. [Google Scholar] [CrossRef] [PubMed]
- Losoya-Leal, A.; Estevez, M.C.; Martínez-Chapa, S.O.; Lechuga, L.M. Design of a surface plasmon resonance immunoassay for therapeutic drug monitoring of amikacin. Talanta 2015, 141, 253–258. [Google Scholar] [CrossRef] [PubMed]
- Soler, M.; Estevez, M.C.; Moreno, M.; Cebolla, A.; Lechuga, L.M. Label-free SPR detection of gluten peptides in urine for non-invasive celiac disease follow-up. Biosens. Bioelectron. 2016, 79, 158–164. [Google Scholar] [CrossRef] [PubMed]
- Scarano, S.; Scuffi, C.; Mascini, M.; Minunni, M. Surface Plasmon Resonance imaging-based sensing for anti-bovine immunoglobulins detection in human milk and serum. Anal. Chim. Acta 2011, 707, 178–183. [Google Scholar] [CrossRef] [PubMed]
- Montes, R.; Céspedes, F.; Baeza, M. Highly sensitive electrochemical immunosensor for IgG detection based on optimized rigid biocomposites. Biosens. Bioelectron. 2016, 78, 505–512. [Google Scholar] [CrossRef] [PubMed]
- Chiavaioli, F.; Zubiate, P.; Del Villar, I.; Zamarreño, C.R.; Giannetti, A.; Tombelli, S.; Trono, C.; Arregui, F.J.; Matias, I.R.; Baldini, F. Femtomolar Detection by Nanocoated Fiber Label-Free Biosensors. ACS Sens. 2018, 3, 936–943. [Google Scholar] [CrossRef] [PubMed]
- Edwards, P.R.; Gill, A.; Pollard-Knight, D.V.; Hoare, M.; Buckle, P.E.; Lowe, P.A.; Leatherbarrow, R.J. Kinetics of protein-protein interactions at the surface of an optical biosensor. Anal. Biochem. 1995, 231, 210–217. [Google Scholar] [CrossRef] [PubMed]
- Dynamic Biosensors, Technology Note 101. Binding Theory: Equations for Affinity and Kinetics Analysis, 2016. Available online: www.dynamic-biosensors.com (accessed on 22 February 2018).
- Egawa, T.; Tsuneshige, A.; Suematsu, M.; Yonetani, T. Method for determination of association and dissociation rate constants of reversible bimolecular reactions by isothermal titration calorimeters. Anal. Chem. 2007, 79, 2972–2978. [Google Scholar] [CrossRef] [PubMed]
- Dowling, M.R.; Charlton, S.J. Quantifying the association and dissociation rates of unlabeled antagonists at the muscarinic M3 receptor. Br. J. Pharmacol. 2006, 148, 927–937. [Google Scholar] [CrossRef] [PubMed]
- American Laboratory, Technical Articles 913. Determination of Association (kon) and Dissociation (koff) Rates of Spiperone on the Dopamine D2 Receptor Using a Platform for GPCR Applications, 2011. Available online: www.americanlaboratory.com (accessed on 16 July 2018).
- Chamiritski, I.; Clarkson, M.; Franklin, J.; Li, S.W. Real-time Detection of Antigen-Antibody Reactions by Imaging Ellipsometry. Aust. J. Chem. 2007, 60, 667–671. [Google Scholar] [CrossRef]
- Pall FortéBio, Technical Note 44, Rapid Analysis of Fab Fragments and IgG with Anti-Human Fab-CH1 2nd Generation (FAB2G) Biosensors, 2015. Available online: www.fortebio.com (accessed on 22 February 2018).






| Protein | MW [103 g/mol] | c [nM] | Σ[ng/cm2] | Γ[1012/cm2] |
|---|---|---|---|---|
| Anti-IgG | 150 | 0.25 | 13.6 | 0.09 |
| 2.5 | 38.5 | 0.25 | ||
| 25 | 167.7 | 1.18 |
© 2018 by the authors. Licensee MDPI, Basel, Switzerland. This article is an open access article distributed under the terms and conditions of the Creative Commons Attribution (CC BY) license (http://creativecommons.org/licenses/by/4.0/).
Share and Cite
Sinibaldi, A.; Occhicone, A.; Munzert, P.; Danz, N.; Sonntag, F.; Michelotti, F. Label-Free Monitoring of Human IgG/Anti-IgG Recognition Using Bloch Surface Waves on 1D Photonic Crystals. Biosensors 2018, 8, 71. https://doi.org/10.3390/bios8030071
Sinibaldi A, Occhicone A, Munzert P, Danz N, Sonntag F, Michelotti F. Label-Free Monitoring of Human IgG/Anti-IgG Recognition Using Bloch Surface Waves on 1D Photonic Crystals. Biosensors. 2018; 8(3):71. https://doi.org/10.3390/bios8030071
Chicago/Turabian StyleSinibaldi, Alberto, Agostino Occhicone, Peter Munzert, Norbert Danz, Frank Sonntag, and Francesco Michelotti. 2018. "Label-Free Monitoring of Human IgG/Anti-IgG Recognition Using Bloch Surface Waves on 1D Photonic Crystals" Biosensors 8, no. 3: 71. https://doi.org/10.3390/bios8030071
APA StyleSinibaldi, A., Occhicone, A., Munzert, P., Danz, N., Sonntag, F., & Michelotti, F. (2018). Label-Free Monitoring of Human IgG/Anti-IgG Recognition Using Bloch Surface Waves on 1D Photonic Crystals. Biosensors, 8(3), 71. https://doi.org/10.3390/bios8030071

