Quasi-Static and Dynamic Measurement Capabilities Provided by an Electromagnetic Field-Based Sensory Glove
Abstract
1. Introduction
2. Materials
2.1. EMF-Based Glove
2.2. Measurement Set-Ups
2.3. Participants
3. Methods
3.1. Calibration of the Glove
3.2. Repeatability and Reproducibility Tests
3.2.1. Quasi-Static Assessment
3.2.2. Dynamic Assessment
3.3. Extraction of the Features
4. Results and Discussion
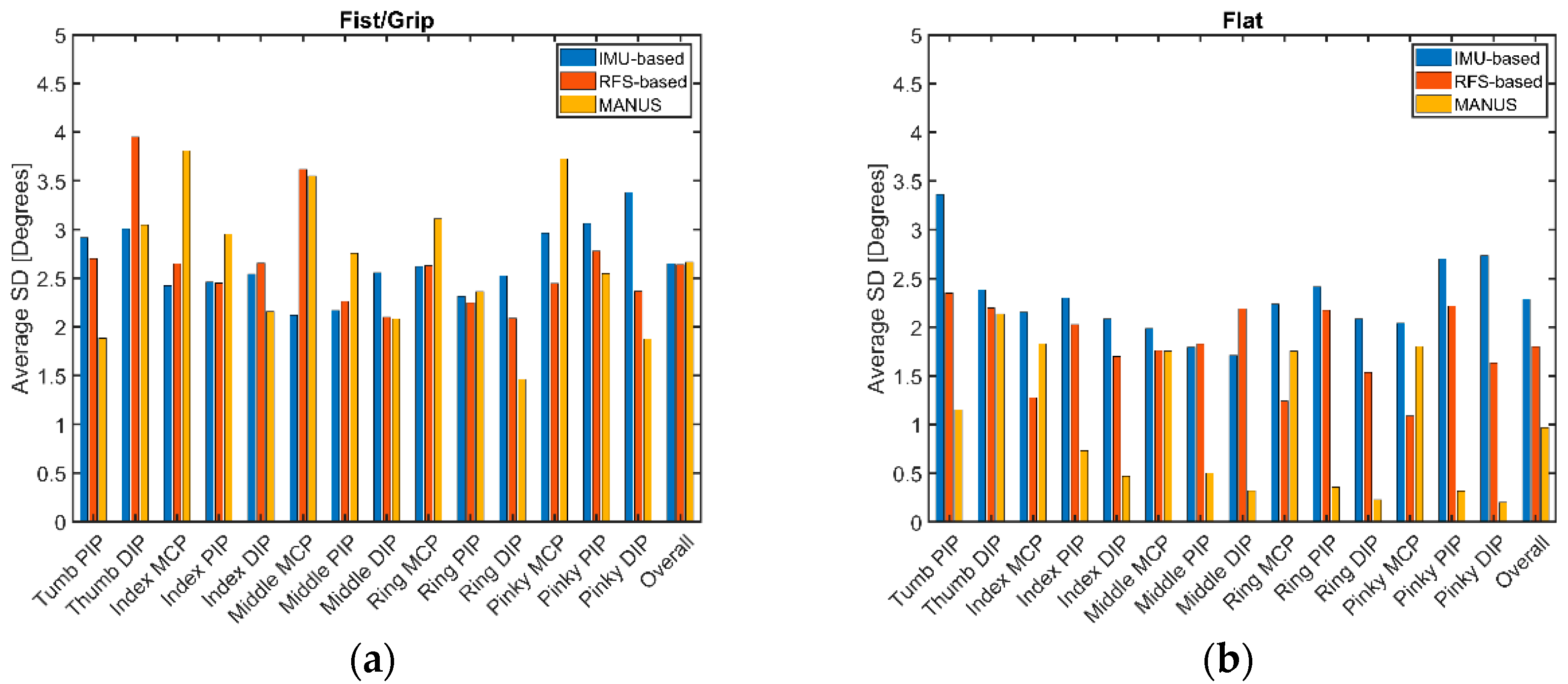
4.1. Quasi-Static Tests
4.2. Dynamic Tests
5. Conclusions
Author Contributions
Funding
Institutional Review Board Statement
Informed Consent Statement
Data Availability Statement
Conflicts of Interest
Abbreviations
| SGs | Sensory gloves |
| FBG | Fiber Bragg grating |
| EMF | Electromagnetic field |
| RFSs | Resistive flex sensors |
| IMUs | Inertial measurement units |
| DoF | Degree of freedom |
| CMC | Carpometacarpal |
| MCP | Metacarpophalangeal |
| IP | Interphalangeal |
| PIP | Proximal interphalangeal |
| DIP | Distal interphalangeal |
| ICC | Intra-class correlation |
References
- Liu, Y.; Li, X.; Yang, L. A Wearable Sensor-Based Dynamic Gesture Recognition Model via Broad Attention Learning. Signal Image Video Process 2025, 19, 30. [Google Scholar] [CrossRef]
- Suarez, J.; Murphy, R.R. Hand Gesture Recognition with Depth Images: A Review. In Proceedings of the 2012 IEEE RO-MAN: The 21st IEEE International Symposium on Robot and Human Interactive Communication, Paris, France, 9–13 September 2012; pp. 411–417. [Google Scholar]
- Saggio, G.; Santoro, A.S.; Errico, V.; Caon, M.; Leoni, A.; Ferri, G.; Stornelli, V. A Novel Actuating–Sensing Bone Conduction-Based System for Active Hand Pose Sensing and Material Densities Evaluation Through Hand Touch. IEEE Trans. Instrum. Meas. 2021, 70, 9510007. [Google Scholar] [CrossRef]
- Lee, K.-T.; Lim, E.-H.; Tan, C.-H.; Low, J.-H.; Wong, K.-L.; Guan, C.; Chee, P.-S. WiFi-Powered Sensor Integrated into a Smart Glove with a Fully Fabric Antenna for the Human–Machine Interface. ACS Appl. Mater. Interfaces 2024, 16, 62914–62924. [Google Scholar] [CrossRef]
- Shen, Z.; Yi, J.; Li, X.; Lo, M.H.P.; Chen, M.Z.Q.; Hu, Y.; Wang, Z. A Soft Stretchable Bending Sensor and Data Glove Applications. Robot. Biomim. 2016, 3, 22. [Google Scholar] [CrossRef]
- Yu, T.; Luo, J.; Gong, Y.; Wang, H.; Guo, W.; Yu, H.; Chen, G. A Compact Gesture Sensing Glove for Digital Twin of Hand Motion and Robot Teleoperation. IEEE Trans. Ind. Electron. 2025, 72, 1684–1693. [Google Scholar] [CrossRef]
- Chen, Q. Design of Human–Computer Interaction Gesture Recognition System Based on a Flexible Biosensor. Int. J. Comput. Intell. Syst. 2024, 17, 180. [Google Scholar] [CrossRef]
- Sundaram, S.; Kellnhofer, P.; Li, Y.; Zhu, J.-Y.; Torralba, A.; Matusik, W. Learning the Signatures of the Human Grasp Using a Scalable Tactile Glove. Nature 2019, 569, 698–702. [Google Scholar] [CrossRef] [PubMed]
- Pan, J.; Luo, Y.; Li, Y.; Tham, C.-K.; Heng, C.-H.; Thean, A.V.-Y. A Wireless Multi-Channel Capacitive Sensor System for Efficient Glove-Based Gesture Recognition With AI at the Edge. IEEE Trans. Circuits Syst. II Express Briefs 2020, 67, 1624–1628. [Google Scholar] [CrossRef]
- De Fazio, R.; Del-Valle-Soto, C.; Mastronardi, V.M.; De Vittorio, M.; Visconti, P. A Smart Glove to Evaluate Parkinson’s Disease by Flexible Piezoelectric and Inertial Sensors. Sens. Int. 2025, 6, 100324. [Google Scholar] [CrossRef]
- Dong, Y.; An, W.; Wang, Z.; Zhang, D. An Artificial Intelligence-Assisted Flexible and Wearable Mechanoluminescent Strain Sensor System. Nanomicro Lett. 2025, 17, 62. [Google Scholar] [CrossRef]
- da Silva, A.F.; Goncalves, A.F.; Mendes, P.M.; Correia, J.H. FBG Sensing Glove for Monitoring Hand Posture. IEEE Sens. J. 2011, 11, 2442–2448. [Google Scholar] [CrossRef]
- Li, K.; Chen, I.-M.; Yeo, S.H.; Lim, C.K. Development of Finger-Motion Capturing Device Based on Optical Linear Encoder. J. Rehabil. Res. Dev. 2011, 48, 69. [Google Scholar] [CrossRef] [PubMed]
- Lin, B.-S.; Lee, I.-J.; Yang, S.-Y.; Lo, Y.-C.; Lee, J.; Chen, J.-L. Design of an Inertial-Sensor-Based Data Glove for Hand Function Evaluation. Sensors 2018, 18, 1545. [Google Scholar] [CrossRef]
- Fahn, C.-S.; Sun, H. Development of a Data Glove with Reducing Sensors Based on Magnetic Induction. IEEE Trans. Ind. Electron. 2005, 52, 585–594. [Google Scholar] [CrossRef]
- Chouhan, T.; Panse, A.; Voona, A.K.; Sameer, S.M. Smart Glove with Gesture Recognition Ability for the Hearing and Speech Impaired. In Proceedings of the 2014 IEEE Global Humanitarian Technology Conference—South Asia Satellite (GHTC-SAS), Trivandrum, India, 26–27 September 2014; pp. 105–110. [Google Scholar]
- Pallotti, A.; Orengo, G.; Saggio, G. Measurements Comparison of Finger Joint Angles in Hand Postures between an SEMG Armband and a Sensory Glove. Biocybern. Biomed. Eng. 2021, 41, 605–616. [Google Scholar] [CrossRef]
- Seo, S.-W.; Jung, W.-S.; Kim, Y. 3D Hand Motion Generation for VR Interactions Using a Haptic Data Glove. Multimodal Technol. Interact. 2024, 8, 62. [Google Scholar] [CrossRef]
- Huang, L.; Huang, X.; Zhang, P.; Li, Y.; Wang, S.; Bu, X.; Chen, Z. Flexible Capacitive Pressure Sensor with Synergistic Effect between Double-Sided Pyramid Sponge Structure Dielectric Layer and Fiber Structure Electrode Layer. Sens. Actuators A Phys. 2024, 369, 115153. [Google Scholar] [CrossRef]
- Liu, H.; Zhang, Z.; Jiao, Z.; Zhang, Z.; Li, M.; Jiang, C.; Zhu, Y.; Zhu, S.-C. A Reconfigurable Data Glove for Reconstructing Physical and Virtual Grasps. Engineering 2024, 32, 202–216. [Google Scholar] [CrossRef]
- Hosie, O.; Isaksson, M.; McCormick, J.; Tirosh, O.; Hensman, C. The Design and Validation of an Open-Palm Data Glove for Precision Finger and Wrist Tracking. Sensors 2025, 25, 367. [Google Scholar] [CrossRef]
- Lin, B.-S.; Lee, I.-J.; Chen, J.-L. Novel Assembled Sensorized Glove Platform for Comprehensive Hand Function Assessment by Using Inertial Sensors and Force Sensing Resistors. IEEE Sens. J. 2020, 20, 3379–3389. [Google Scholar] [CrossRef]
- Filipowska, A.; Filipowski, W.; Raif, P.; Pieniążek, M.; Bodak, J.; Ferst, P.; Pilarski, K.; Sieciński, S.; Doniec, R.J.; Mieszczanin, J.; et al. Machine Learning-Based Gesture Recognition Glove: Design and Implementation. Sensors 2024, 24, 6157. [Google Scholar] [CrossRef] [PubMed]
- Jha, C.K.; Agarwal, S.; Chakraborty, A.L.; Shirpurkar, C. An FBG-Based Sensing Glove to Measure Dynamic Finger Flexure With an Angular Resolution of 0.1° up to Speeds of 80°/s. J. Light. Technol. 2019, 37, 4734–4740. [Google Scholar] [CrossRef]
- Gerez, L.; Gao, G.; Dwivedi, A.; Liarokapis, M. A Hybrid, Wearable Exoskeleton Glove Equipped with Variable Stiffness Joints, Abduction Capabilities, and a Telescopic Thumb. IEEE Access 2020, 8, 173345–173358. [Google Scholar] [CrossRef]
- Sinha, A.K.; Goh, G.L.; Yeong, W.Y.; Cai, Y. Ultra-Low-Cost, Crosstalk-Free, Fast-Responding, Wide-Sensing-Range Tactile Fingertip Sensor for Smart Gloves. Adv. Mater. Interfaces 2022, 9, 2200621. [Google Scholar] [CrossRef]
- Connolly, J.; Condell, J.; Curran, K.; Gardiner, P. Improving Data Glove Accuracy and Usability Using a Neural Network When Measuring Finger Joint Range of Motion. Sensors 2022, 22, 2228. [Google Scholar] [CrossRef]
- Krieger, K.; Leins, D.P.; Markmann, T.; Haschke, R.; Chen, J.; Gunzer, M.; Ritter, H. Adaptive Kinematic Modeling for Improved Hand Posture Estimates Using a Haptic Glove. arXiv 2024, arXiv:2411.06575. [Google Scholar] [CrossRef]
- Wang, R.; Jiang, L.; Li, J.; Dai, Z.; Liu, M.; Lv, P.; Li, X.; Zhu, M. Tactile and Kinesthetic Communication Glove with Fusion of Triboelectric Sensing and Pneumatic Actuation. Nano Energy 2024, 131, 110273. [Google Scholar] [CrossRef]
- Hariprasath, S.; Ramkumar, M.; Takale, D.G.; Gopalan, S.H.; Manikandan, A. Deep Learning Algorithm and Self-Powered Tactile Sensors for Gesture Recognition. In Self-Powered Sensors; Elsevier: Amsterdam, The Netherlands, 2025; pp. 251–268. [Google Scholar]
- Nabeel Muslim, T.; Ali Lafta, H. Sensor Based System for Hand Function Assessment: Review Paper. Univ. Thi-Qar J. Eng. Sci. 2023, 13, 56–65. [Google Scholar] [CrossRef]
- Lin, B.-S.; Hsiao, P.-C.; Yang, S.-Y.; Su, C.-S.; Lee, I.-J. Data Glove System Embedded with Inertial Measurement Units for Hand Function Evaluation in Stroke Patients. IEEE Trans. Neural Syst. Rehabil. Eng. 2017, 25, 2204–2213. [Google Scholar] [CrossRef]
- Fujiwara, E.; Wu, Y.T.; Miyatake, D.Y.; Santos, M.F.M.; Suzuki, C.K. Evaluation of Thumb-Operated Directional Pad Functionalities on a Glove-Based Optical Fiber Sensor. IEEE Trans. Instrum. Meas. 2013, 62, 2330–2337. [Google Scholar] [CrossRef]
- Dai, H.; Otten, B.; Mehrkens, J.H.; D’Angelo, L.T.; Lueth, T.C. A Novel Glove Monitoring System Used to Quantify Neurological Symptoms During Deep-Brain Stimulation Surgery. IEEE Sens. J. 2013, 13, 3193–3202. [Google Scholar] [CrossRef]
- Saggio, G.; Bizzarri, M. Feasibility of Teleoperations with Multi-Fingered Robotic Hand for Safe Extravehicular Manipulations. Aerosp. Sci. Technol. 2014, 39, 666–674. [Google Scholar] [CrossRef]
- Palagi, M.; Santamato, G.; Chiaradia, D.; Gabardi, M.; Marcheschi, S.; Solazzi, M.; Frisoli, A.; Leonardis, D. A Mechanical Hand-Tracking System with Tactile Feedback Designed for Telemanipulation. IEEE Trans. Haptics. 2023, 16, 594–601. [Google Scholar] [CrossRef]
- Saggio, G.; Giannini, F.; Todisco, M.; Costantini, G. A Data Glove Based Sensor Interface to Expressively Control Musical Processes. In Proceedings of the 2011 4th IEEE International Workshop on Advances in Sensors and Interfaces (IWASI), Savelletri di Fasano, Italy, 28–29 June 2011; pp. 192–195. [Google Scholar]
- Zou, X.; Li, X.; Zhang, J.; Pan, Q.; Yang, Z.; Lai, K.W.C. An Intelligent Glove Interface with Integrated Perceptual Simulation and Motion Tracking for Enhanced Virtual Interactions. Cell Rep. Phys. Sci. 2024, 5, 102287. [Google Scholar] [CrossRef]
- Ge, C.; Min, J. Hand Gesture Recognition in Natural Human-Computer Interaction. Appl. Comput. Eng. 2024, 36, 111–118. [Google Scholar] [CrossRef]
- Junior, J.C.V.S.; Torquato, M.F.; Noronha, D.H.; Silva, S.N.; Fernandes, M.A.C. Proposal of the Tactile Glove Device. Sensors 2019, 19, 5029. [Google Scholar] [CrossRef] [PubMed]
- Ma, M.; Zheng, H. Virtual Reality and Serious Games in Healthcare; Springer: Berlin, Germany, 2011; pp. 169–192. [Google Scholar]
- Lam, W.-C.; Zou, F.; Komura, T. Motion Editing with Data Glove. In Proceedings of the 2004 ACM SIGCHI International Conference on Advances in Computer Entertainment Technology, New York, NY, USA, 2 September 2004; pp. 337–342. [Google Scholar]
- Sohelrana, K.; Ahmed, S.F.; Sameer, S.; Ashok, O. A Review on Smart Gloves to Convert Sign to Speech for Mute Community. In Proceedings of the 2020 8th International Conference on Reliability, Infocom Technologies and Optimization (Trends and Future Directions) (ICRITO), Noida, India, 4–5 June 2020; pp. 1262–1264. [Google Scholar]
- Saggio, G.; Cavrini, F.; Pinto and, C.A. Recognition of Arm-and-Hand Visual Signals by Means of SVM to Increase Aircraft Security; Springer: Cham, Switzerland, 2017; pp. 444–461. [Google Scholar]
- Calado, A.; Lin, B.-S.; Lee, I.-J.; Saggio, G. Quasi-Static Measurement Performances of Flex-Sensor-Based and Inertial- Measurement -Unit-Based Sensory Gloves. IEEE Sens. J. 2024, 24, 2162–2171. [Google Scholar] [CrossRef]
- Saggio, G.; Calado, A.; Errico, V.; Lin, B.-S.; Lee, I.-J. Dynamic Measurement Assessments of Sensory Gloves Based on Resistive Flex Sensors and Inertial Measurement Units. IEEE Trans. Instrum. Meas. 2023, 72, 9505410. [Google Scholar] [CrossRef]
- Wise, S.; Gardner, W.; Sabelman, E.; Valainis, E.; Wong, Y.; Glass, K.; Drace, J.; Rosen, J.M. Evaluation of a Fiber Optic Glove for Semi-Automated Goniometric Measurements. J. Rehabil. Res. Dev. 1990, 27, 411. [Google Scholar] [CrossRef]
- Dipietro, L.; Sabatini, A.M.; Dario, P. Evaluation of an Instrumented Glove for Hand-Movement Acquisition. J. Rehabil. Res. Dev. 2003, 40, 179–189. [Google Scholar] [CrossRef]
- Simone, L.K.; Sundarrajan, N.; Luo, X.; Jia, Y.; Kamper, D.G. A Low Cost Instrumented Glove for Extended Monitoring and Functional Hand Assessment. J. Neurosci. Methods 2007, 160, 335–348. [Google Scholar] [CrossRef] [PubMed]
- Wu, C.; Wang, K.; Cao, Q.; Fei, F.; Yang, D.; Lu, X.; Xu, B.; Zeng, H.; Song, A. Development of a Low-Cost Wearable Data Glove for Capturing Finger Joint Angles. Micromachines 2021, 12, 771. [Google Scholar] [CrossRef]
- Zheng, Y.; Peng, Y.; Wang, G.; Liu, X.; Dong, X.; Wang, J. Development and Evaluation of a Sensor Glove for Hand Function Assessment and Preliminary Attempts at Assessing Hand Coordination. Measurement 2016, 93, 1–12. [Google Scholar] [CrossRef]
- Mcinnes, B. South African Sign Language Dataset Development and Translation: A Glove-Based Approach. Master’s Thesis, University of Cape Town, Rondebosch, South Africa, August 2014. [Google Scholar]
- Saggio, G.; Roselli, P.; Pietrosanti, L.; Romano, A.; Arangino, N.; Patera, M.; Suppa, A. A New Geometric Algebra-Based Classification of Hand Bradykinesia in Parkinson’s Disease Measured Using a Sensory Glove. Algorithms 2025, 18, 527. [Google Scholar] [CrossRef]
- Pietrosanti, L.; Patera, M.; Suppa, A.; Costantini, G.; Arangino, N.; Giannini, F.; Saggio, G. Relevance of Harmonic Content Findings of Hand Motor (Dys)Functionalities in Parkinson’s Disease Revealed by Means of a Sensory Glove. Biocybern. Biomed. Eng. 2025, 45, 507–514. [Google Scholar] [CrossRef]












| Quasi-Static Test | Dynamic Test | ||||||
|---|---|---|---|---|---|---|---|
| subject | age | hand | palm | subject | age | hand | palm |
| S1 | 29 | 19.2 | 9.0 | S1 | 23 | 17.3 | 7.5 |
| S2 | 25 | 17.0 | 7.8 | S2 | 29 | 20.9 | 9.3 |
| S3 | 25 | 20.2 | 9.5 | S3 | 25 | 18.5 | 8.0 |
| S4 | 29 | 20.9 | 9.3 | S4 | 25 | 17.0 | 9.0 |
| S5 | 23 | 17.0 | 7.0 | S5 | 25 | 18.0 | 7.5 |
| S6 | 23 | 20.5 | 8.0 | S6 | 23 | 20.5 | 8.0 |
| Test | Fist/Grip | Flat | ||||
|---|---|---|---|---|---|---|
| Manus vs. IMU | Manus vs. RFS | IMU vs. RFS | Manus vs. IMU | Manus vs. RFS | IMU vs. RFS | |
| Test A (40 mm) | 0.012 | 0.126 | 0.554 | 0.183 | 0.062 | 0.518 |
| Test A (70 mm) | 0.453 | 0.011 | 0.001 | <0.001 | <0.001 | 0.010 |
| Test A (100 mm) | 0.401 | 0.996 | 0.348 | 0.027 | <0.001 | 0.014 |
| Test B (40 mm) | 0.850 | 0.001 | 0.001 | <0.001 | <0.001 | <0.001 |
| Test B (70 mm) | 0.137 | 0.002 | <0.001 | <0.001 | <0.001 | <0.001 |
| Test B (100 mm) | 0.006 | <0.001 | <0.001 | <0.001 | 0.003 | <0.001 |
| Test C | 0.242 | 0.004 | 0.027 | <0.001 | 0.948 | <0.001 |
| Test D | 0.082 | <0.001 | <0.001 | <0.001 | 0.007 | <0.001 |
| Overall | 0.448 | <0.001 | <0.001 | <0.001 | <0.001 | <0.001 |
| Test A-Dynamic | Test B-Dynamic | ||||||
|---|---|---|---|---|---|---|---|
| LED timing [ms] | Diameter [mm] | IMU vs. RFS | IMU vs. MANUS | RFS vs. MANUS | IMU vs. RFS | IMU vs. MANUS | RFS vs. MANUS |
| 300 | 40 | <0.001 | 0.021 | <0.001 | <0.001 | <0.001 | 0.005 |
| 70 | 0.886 | 0.033 | 0.099 | <0.001 | <0.001 | 0.001 | |
| 100 | 0.622 | 0.115 | 0.102 | <0.001 | <0.001 | <0.001 | |
| 600 | 40 | 0.002 | 0.223 | 0.031 | <0.001 | <0.001 | 0.524 |
| 70 | 0.342 | 0.316 | 0.897 | <0.001 | <0.001 | 0.327 | |
| 100 | 0.582 | 0.002 | 0.009 | <0.001 | <0.001 | 0.030 | |
| 900 | 40 | 0.010 | 0.024 | 0.585 | <0.001 | <0.001 | 0.315 |
| 70 | 0.686 | 0.281 | 0.524 | <0.001 | <0.001 | 0.780 | |
| 100 | 0.815 | 0.999 | 0.904 | <0.001 | <0.001 | 0.229 | |
| overall | <0.001 | 0.415 | 0.015 | <0.001 | <0.001 | 0.019 | |
Disclaimer/Publisher’s Note: The statements, opinions and data contained in all publications are solely those of the individual author(s) and contributor(s) and not of MDPI and/or the editor(s). MDPI and/or the editor(s) disclaim responsibility for any injury to people or property resulting from any ideas, methods, instructions or products referred to in the content. |
© 2025 by the authors. Licensee MDPI, Basel, Switzerland. This article is an open access article distributed under the terms and conditions of the Creative Commons Attribution (CC BY) license (https://creativecommons.org/licenses/by/4.0/).
Share and Cite
Saggio, G.; Pietrosanti, L.; Lee, I.-J.; Lin, B.-S. Quasi-Static and Dynamic Measurement Capabilities Provided by an Electromagnetic Field-Based Sensory Glove. Biosensors 2025, 15, 640. https://doi.org/10.3390/bios15100640
Saggio G, Pietrosanti L, Lee I-J, Lin B-S. Quasi-Static and Dynamic Measurement Capabilities Provided by an Electromagnetic Field-Based Sensory Glove. Biosensors. 2025; 15(10):640. https://doi.org/10.3390/bios15100640
Chicago/Turabian StyleSaggio, Giovanni, Luca Pietrosanti, I-Jung Lee, and Bor-Shing Lin. 2025. "Quasi-Static and Dynamic Measurement Capabilities Provided by an Electromagnetic Field-Based Sensory Glove" Biosensors 15, no. 10: 640. https://doi.org/10.3390/bios15100640
APA StyleSaggio, G., Pietrosanti, L., Lee, I.-J., & Lin, B.-S. (2025). Quasi-Static and Dynamic Measurement Capabilities Provided by an Electromagnetic Field-Based Sensory Glove. Biosensors, 15(10), 640. https://doi.org/10.3390/bios15100640

