Paper-Based DNA Biosensor for Rapid and Selective Detection of miR-21
Abstract
1. Introduction
2. Materials and Methods
2.1. Chemicals and Solutions
2.2. Apparatus and Instrumentation
2.3. Fabrication of PhP-Au/AuNPs Electrode
2.4. ssDNA-21 Immobilization and miR-21 Hybridization
3. Results and Discussion
3.1. Characterization of PhP-Au/AuNPs Electrode Surface Morphology
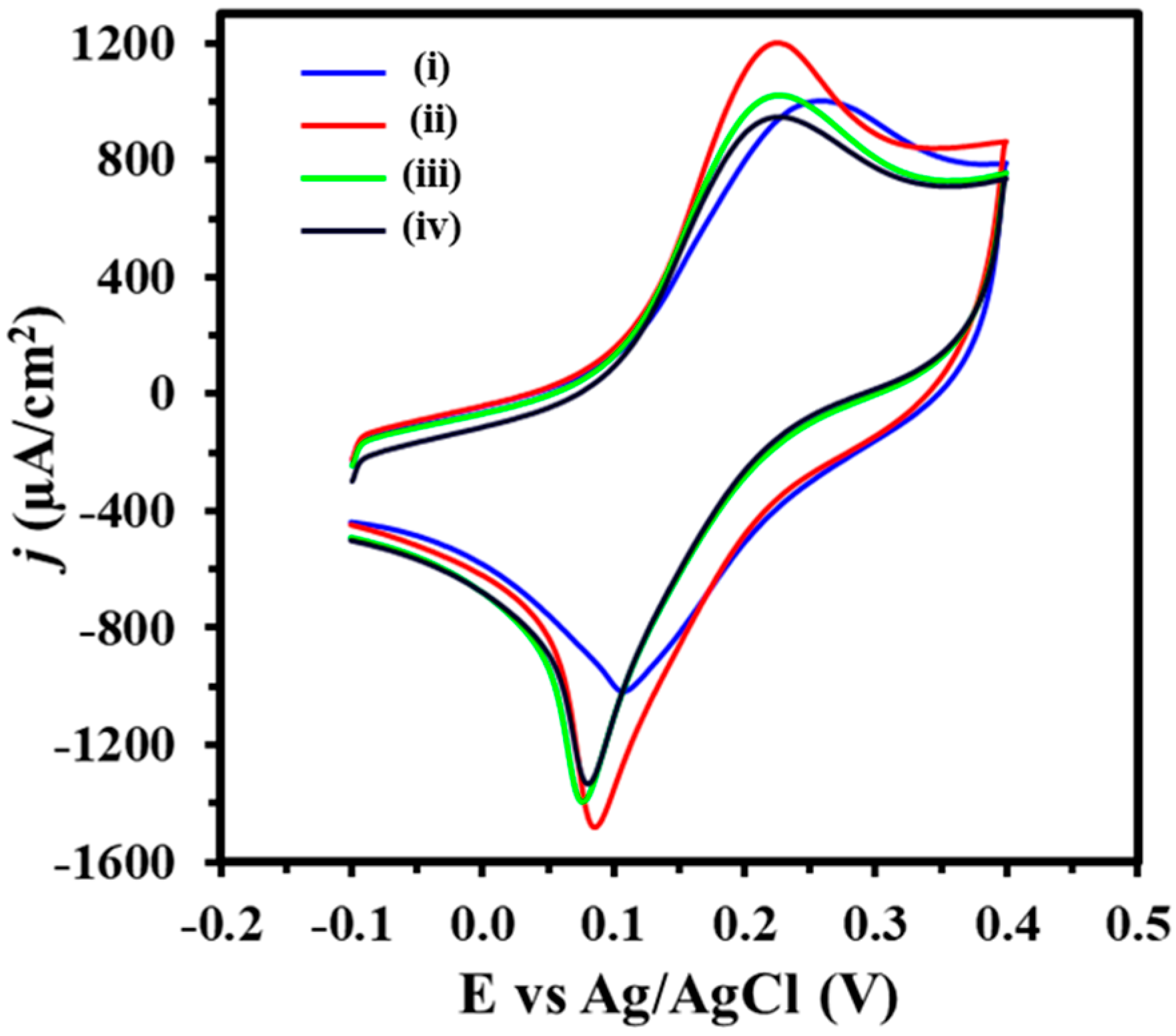
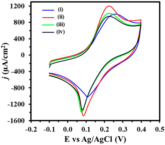
3.2. Electrochemical Characterization
3.3. Optimization of ssDNA-21 Concentration and miR-21 Hybridization Time
3.4. miR-21 Detection with PhP-Au/AuNPs/ssDNA Biosensor
3.5. Selectivity, Stability, Repeatability, and Reproducibility Testing
3.6. miR-21 Detection in Serum Samples
4. Conclusions
Supplementary Materials
Author Contributions
Funding
Data Availability Statement
Conflicts of Interest
References
- Bray, F.; Laversanne, M.; Sung, H.; Ferlay, J.; Siegel, R.L.; Soerjomataram, I.; Jemal, A. Global cancer statistics 2022: GLOBOCAN estimates of incidence and mortality worldwide for 36 cancers in 185 countries. CA Cancer J. Clin. 2024, 74, 229–263. [Google Scholar] [CrossRef] [PubMed]
- Dickerson, J.C.; Ragavan, M.V.; Parikh, D.A.; Patel, M.I. Healthcare delivery interventions to reduce cancer disparities worldwide. World J. Clin. Oncol. 2020, 11, 705–722. [Google Scholar] [CrossRef]
- Das, S.; Dey, M.K.; Devireddy, R.; Gartia, M.R. Biomarkers in Cancer Detection, Diagnosis, and Prognosis. Sensors 2024, 24, 37. [Google Scholar] [CrossRef]
- El-Daly, S.M.; Gouhar, S.A.; Elmageed, Z.Y.A. Circulating microRNAs as Reliable Tumor Biomarkers: Opportunities and Challenges Facing Clinical Application. J. Pharmacol. Exp. Ther. 2023, 384, 35–51. [Google Scholar] [CrossRef] [PubMed]
- Karvinen, S.; Sievänen, T.; Karppinen, J.E.; Hautasaari, P.; Bart, G.; Samoylenko, A.; Vainio, S.J.; Ahtiainen, J.P.; Laakkonen, E.K.; Kujala, U.M. MicroRNAs in Extracellular Vesicles in Sweat Change in Response to Endurance Exercise. Front. Physiol. 2020, 11, 676. [Google Scholar] [CrossRef] [PubMed]
- Yoshizawa, J.M.; Wong, D.T.W. Salivary MicroRNAs and Oral Cancer Detection. In MicroRNA Protocols; Humana Press: Totowa, NJ, USA, 2013; pp. 313–324. [Google Scholar] [CrossRef]
- O’Brien, J.; Hayder, H.; Zayed, Y.; Peng, C. Overview of microRNA biogenesis, mechanisms of actions, and circulation. Front. Endocrinol. 2018, 9, 402. [Google Scholar] [CrossRef]
- Jansson, M.D.; Lund, A.H. MicroRNA and cancer. Mol. Oncol. 2012, 6, 590–610. [Google Scholar] [CrossRef]
- Metcalf, G.A.D. MicroRNAs: Circulating biomarkers for the early detection of imperceptible cancers via biosensor and machine-learning advances. Oncogene 2024, 43, 2135–2142. [Google Scholar] [CrossRef]
- Paranjape, T.; Slack, F.J.; Weidhaas, J.B. MicroRNAs: Tools for cancer diagnostics. Gut 2009, 58, 1546–1554. [Google Scholar] [CrossRef]
- Rhim, J.; Baek, W.; Seo, Y.; Kim, J.H. From Molecular Mechanisms to Therapeutics: Understanding MicroRNA-21 in Cancer. Cells 2022, 11, 2791. [Google Scholar] [CrossRef]
- Bautista-Sánchez, D.; Arriaga-Canon, C.; Pedroza-Torres, A.; De La Rosa-Velázquez, I.A.; González-Barrios, R.; Contreras-Espinosa, L.; Montiel-Manríquez, R.; Castro-Hernández, C.; Fragoso-Ontiveros, V.; Álvarez-Gómez, R.M.; et al. The Promising Role of miR-21 as a Cancer Biomarker and Its Importance in RNA-Based Therapeutics. Mol. Ther. Nucleic Acids 2020, 20, 409–420. [Google Scholar] [CrossRef] [PubMed]
- Irimie-Aghiorghiesei, A.I.; Pop-Bica, C.; Pintea, S.; Braicu, C.; Cojocneanu, R.; Zim, A.A.; Gulei, D.; Slabý, O.; Berindan-Neagoe, I. Prognostic value of mir-21: An updated meta-analysis in head and neck squamous cell carcinoma (hnscc). J. Clin. Med. 2019, 8, 41. [Google Scholar] [CrossRef] [PubMed]
- Dioguardi, M.; Spirito, F.; Sovereto, D.; Alovisi, M.; Troiano, G.; Aiuto, R.; Garcovich, D.; Crincoli, V.; Laino, L.; Cazzolla, A.P.; et al. MicroRNA-21 Expression as a Prognostic Biomarker in Oral Cancer: Systematic Review and Meta-Analysis. Int. J. Environ. Res. Public Health 2022, 19, 3396. [Google Scholar] [CrossRef] [PubMed]
- Koscianska, E.; Starega-Roslan, J.; Sznajder, L.J.; Olejniczak, M.; Galka-Marciniak, P.; Krzyzosiak, W.J. Northern blotting analysis of microRNAs, their precursors and RNA interference triggers. BMC Mol. Biol. 2011, 12, 14. [Google Scholar] [CrossRef]
- Babak, T.; Zhang, W.; Morris, Q.; Blencowe, B.J.; Hughes, T.R. Probing microRNAs with microarrays: Tissue specificity and functional inference. RNA 2004, 10, 1813–1819. [Google Scholar] [CrossRef]
- Chen, C.; Tan, R.; Wong, L.; Fekete, R.; Halsey, J. Quantitation of MicroRNAs by Real-Time RT-qPCR. In Methods in Molecular Biology; Humana Press Inc.: Totowa, NJ, USA, 2011; pp. 113–134. [Google Scholar] [CrossRef]
- Ouyang, T.; Liu, Z.; Han, Z.; Ge, Q. MicroRNA Detection Specificity: Recent Advances and Future Perspective. Anal. Chem. 2019, 91, 3179–3186. [Google Scholar] [CrossRef] [PubMed]
- Li, M.; Yin, F.; Song, L.; Mao, X.; Li, F.; Fan, C.; Zuo, X.; Xia, Q. Nucleic Acid Tests for Clinical Translation. Chem. Rev. 2021, 121, 10469–10558. [Google Scholar] [CrossRef]
- Torati, S.R.; Hanson, B.; Shinde, M.; Slaughter, G. Gold-Deposited Laser-Induced Graphene Electrode for Detection of miR-141. IEEE Sens. J. 2024, 24, 2154–2161. [Google Scholar] [CrossRef]
- Samuel, V.R.; Rao, K.J. A review on label free biosensors. Biosens. Bioelectron. X 2022, 11, 100216. [Google Scholar] [CrossRef]
- El Aamri, M.; Yammouri, G.; Mohammadi, H.; Amine, A.; Korri-Youssoufi, H. Electrochemical Biosensors for Detection of MicroRNA as a Cancer Biomarker: Pros and Cons. Biosensors 2020, 10, 186. [Google Scholar] [CrossRef]
- Wang, Z.Y.; Sun, M.H.; Zhang, Q.; Li, P.F.; Wang, K.; Li, X.M. Advances in Point-of-Care Testing of microRNAs Based on Portable Instruments and Visual Detection. Biosensors 2023, 13, 747. [Google Scholar] [CrossRef] [PubMed]
- Lopes, L.C.; Santos, A.; Bueno, P.R. An outlook on electrochemical approaches for molecular diagnostics assays and discussions on the limitations of miniaturized technologies for point-of-care devices. Sens. Actuators Rep. 2022, 4, 100087. [Google Scholar] [CrossRef]
- Dave, V.P.; Ngo, T.A.; Pernestig, A.K.; Tilevik, D.; Kant, K.; Nguyen, T.; Wolff, A.; Bang, D.D. MicroRNA amplification and detection technologies: Opportunities and challenges for point of care diagnostics. Lab. Investig. 2019, 99, 452–469. [Google Scholar] [CrossRef]
- Benjamin, S.R.; de Lima, F.; Nascimento, V.A.D.; de Andrade, G.M.; Oriá, R.B. Advancement in Paper-Based Electrochemical Biosensing and Emerging Diagnostic Methods. Biosensors 2023, 13, 689. [Google Scholar] [CrossRef]
- Pradela-Filho, L.A.; Veloso, W.B.; Arantes, I.V.S.; Gongoni, J.L.M.; de Farias, D.M.; Araujo, D.A.G.; Paixão, T.R.L.C. Paper-based analytical devices for point-of-need applications. Microchim. Acta 2023, 190, 179. [Google Scholar] [CrossRef] [PubMed]
- Bhattacharya, G.; Fishlock, S.J.; Hussain, S.; Choudhury, S.; Xiang, A.; Kandola, B.; Pritam, A.; Soin, N.; Roy, S.S.; McLaughlin, J.A. Disposable Paper-Based Biosensors: Optimizing the Electrochemical Properties of Laser-Induced Graphene. ACS Appl. Mater. Interfaces 2022, 14, 31109–31120. [Google Scholar] [CrossRef]
- Heidt, B.; Siqueira, W.F.; Eersels, K.; Diliën, H.; Van Grinsven, B.; Fujiwara, R.T.; Cleij, T.J. Point of care diagnostics in resource-limited settings: A review of the present and future of PoC in its most needed environment. Biosensors 2020, 10, 133. [Google Scholar] [CrossRef]
- Hussain, A.; Abbas, N.; Ali, A. Inkjet Printing: A Viable Technology for Biosensor Fabrication. Chemosensors 2022, 10, 103. [Google Scholar] [CrossRef]
- Tortorich, R.P.; Shamkhalichenar, H.; Choi, J.W. Inkjet-printed and paper-based electrochemical sensors. Appl. Sci. 2018, 8, 288. [Google Scholar] [CrossRef]
- Moya, A.; Gabriel, G.; Villa, R.; del Campo, F.J. Inkjet-printed electrochemical sensors. Curr. Opin. Electrochem. 2017, 3, 29–39. [Google Scholar] [CrossRef]
- Zamani, M.; Klapperich, C.M.; Furst, A.L. Recent advances in gold electrode fabrication for low-resource setting biosensing. Lab. Chip. 2023, 23, 1410–1419. [Google Scholar] [CrossRef] [PubMed]
- Jiang, P.; Wang, Y.; Zhao, L.; Ji, C.; Chen, D.; Nie, L. Applications of gold nanoparticles in non-optical biosensors. Nanomaterials 2018, 8, 977. [Google Scholar] [CrossRef] [PubMed]
- Radhakrishnan, S.; Sumathi, C.; Dharuman, V.; Wilson, J. Gold nanoparticles functionalized poly(3,4-ethylenedioxythiophene) thin film for highly sensitive label free DNA detection. Anal. Methods 2013, 5, 684. [Google Scholar] [CrossRef]
- Kanelidis, I.; Kraus, T. The role of ligands in coinage-metal nanoparticles for electronics. Beilstein J. Nanotechnol. 2017, 8, 2625–2639. [Google Scholar] [CrossRef] [PubMed]
- Urban, M.; Rosati, G.; Maroli, G.; Della Pelle, F.; Bonini, A.; Sajti, L.; Fedel, M.; Merkoçi, A. Nanostructure Tuning of Gold Nanoparticles Films via Click Sintering. Small 2024, 20, 2306167. [Google Scholar] [CrossRef]
- Dimitriou, E.; Michailidis, N. Printable conductive inks used for the fabrication of electronics: An overview. Nanotechnology 2021, 32, 502009. [Google Scholar] [CrossRef]
- Coutts, M.J.; Cortie, M.B.; Ford, M.J.; McDonagh, A.M. Rapid and controllable sintering of gold nanoparticle inks at room temperature using a chemical agent. J. Phys. Chem. C 2009, 113, 1325–1328. [Google Scholar] [CrossRef]
- Oberhaus, F.V.; Frense, D.; Beckmann, D. Immobilization techniques for aptamers on gold electrodes for the electrochemical detection of proteins: A review. Biosensors 2020, 10, 45. [Google Scholar] [CrossRef] [PubMed]
- Kasturi, S.; Eom, Y.; Torati, S.R.; Kim, C.G. Highly sensitive electrochemical biosensor based on naturally reduced rGO/Au nanocomposite for the detection of miR-122 biomarker. J. Ind. Eng. Chem. 2021, 93, 186–195. [Google Scholar] [CrossRef]
- Hou, Z.; Zheng, J.; Zhang, C.; Li, T.; Chen, D.; Hu, L.; Hu, J.; Xiong, B.; Ye, H.; Jaffrezic-Renault, N.; et al. Direct ultrasensitive electrochemical detection of breast cancer biomarker-miR-21 employing an aptasensor based on a microgel nanoparticle composite. Sens. Actuators B Chem. 2022, 367, 132067. [Google Scholar] [CrossRef]
- Sabahi, A.; Salahandish, R.; Ghaffarinejad, A.; Omidinia, E. Electrochemical nano-genosensor for highly sensitive detection of miR-21 biomarker based on SWCNT-grafted dendritic Au nanostructure for early detection of prostate cancer. Talanta 2020, 209, 120595. [Google Scholar] [CrossRef] [PubMed]
- Shi, Y.; Wang, Q.; Xu, F. Highly Sensitive Detection of miR-21 Based on Electrochemical Immunosensor. Int. J. Electrochem. Sci. 2022, 17, 2212105. [Google Scholar] [CrossRef]
- Mujica, M.L.; Zhang, Y.; Gutiérrez, F.; Bedioui, F.; Rivas, G.; Ri, G. Non-amplified impedimetric genosensor for quantification of miR-21 based on the use of reduced graphene oxide modified with chitosan. Microchem. J. 2021, 160, 105596. [Google Scholar] [CrossRef]
- Bharti, A.; Mittal, S.; Rana, S.; Dahiya, D.; Agnihotri, N.; Prabhakar, N. Electrochemical biosensor for miR-21 based on gold-platinum bimetallic nanoparticles coated 3-aminopropyltriethoxy silane. Anal. Biochem. 2020, 609, 113908. [Google Scholar] [CrossRef] [PubMed]
- Torul, H.; Yarali, E.; Eksin, E.; Ganguly, A.; Benson, J.; Tamer, U.; Papakonstantinou, P.; Erdem, A. Paper-based electrochemical biosensors for voltammetric detection of miR biomarkers using reduced graphene oxide or mos2 nanosheets decorated with gold nanoparticle electrodes. Biosensors 2021, 11, 236. [Google Scholar] [CrossRef] [PubMed]
- Pothipor, C.; Jakmunee, J.; Bamrungsap, S.; Ounnunkad, K. An electrochemical biosensor for simultaneous detection of breast cancer clinically related microRNAs based on a gold nanoparticles/graphene quantum dots/graphene oxide film. Analyst 2021, 146, 4000–4009. [Google Scholar] [CrossRef]
- Movahedpour, A.; Ahmadi, N.; Ghasemi, Y.; Savardashtaki, A.; Shabaninejad, Z. Circulating microRNAs as potential diagnostic biomarkers and therapeutic targets in prostate cancer: Current status and future perspectives. J. Cell. Biochem. 2019, 120, 16316–16329. [Google Scholar] [CrossRef]








| Name | Nucleotide Sequence |
|---|---|
| ssDNA-21 probe | 5′-TCA ACA TCA GTC TGA TAA GCT A/3ThiolMC3 |
| miR-21 | 5′-UAG CUU AUC AGA CUG AUG |
| miR-let7a | 5′-UGA GGU AGU AGG UUG UAU |
| miR-141 | 5′-CAU CUU CCA GUA CAG UGU |
| No. | Sensor Platform | Technique | Range | LOD | Ref |
|---|---|---|---|---|---|
| 1 | NIPAm-co-AAc microgel/AuNPs | DPV | 10 aM–1 pM | 1.35 aM | [42] |
| 2 | FTO/SWCNTs/den-Au | DPV | 0.01 fM–1 µM | 0.01 fM | [43] |
| 3 | Au | ACV | 10 fM–100 nM | 3.2 fM | [44] |
| 4 | Au/RGO | EIS | 1pM–10 nM | 300 fM | [45] |
| 5 | FTO/APTS/AuPtBNPs | DPV | 1 fM–100 nM | 0.63 fM | [46] |
| 6 | PE/MoS2/AuNPs | DPV | 135.6–406.8 nM | 59.7 nM | [47] |
| 7 | 3SPCE/GO/GQDs/AuNPs | SWV | 1 fM–1 nM | 0.04 fM | [48] |
| 8 | PhP-Au/AuNPs | SWV | 1 fM–1 nM | 0.35 fM | This work |
| MiR-21 Concentration | %Recovery | %RSD |
|---|---|---|
| 1 fM | 67 | 21 |
| 10 fM | 103 | 21 |
| 100 fM | 113 | 25 |
| 1 pM | 117 | 20 |
| 10 pM | 115 | 20 |
| 100 pM | 121 | 19 |
| 1 nM | 125 | 17 |
Disclaimer/Publisher’s Note: The statements, opinions and data contained in all publications are solely those of the individual author(s) and contributor(s) and not of MDPI and/or the editor(s). MDPI and/or the editor(s) disclaim responsibility for any injury to people or property resulting from any ideas, methods, instructions or products referred to in the content. |
© 2024 by the authors. Licensee MDPI, Basel, Switzerland. This article is an open access article distributed under the terms and conditions of the Creative Commons Attribution (CC BY) license (https://creativecommons.org/licenses/by/4.0/).
Share and Cite
Hunt, A.; Torati, S.R.; Slaughter, G. Paper-Based DNA Biosensor for Rapid and Selective Detection of miR-21. Biosensors 2024, 14, 485. https://doi.org/10.3390/bios14100485
Hunt A, Torati SR, Slaughter G. Paper-Based DNA Biosensor for Rapid and Selective Detection of miR-21. Biosensors. 2024; 14(10):485. https://doi.org/10.3390/bios14100485
Chicago/Turabian StyleHunt, Alexander, Sri Ramulu Torati, and Gymama Slaughter. 2024. "Paper-Based DNA Biosensor for Rapid and Selective Detection of miR-21" Biosensors 14, no. 10: 485. https://doi.org/10.3390/bios14100485
APA StyleHunt, A., Torati, S. R., & Slaughter, G. (2024). Paper-Based DNA Biosensor for Rapid and Selective Detection of miR-21. Biosensors, 14(10), 485. https://doi.org/10.3390/bios14100485

