Functional Carbazole–Cellulose Composite Binders for High-Stability Carbon Electrodes in Perovskite Solar Cells
Abstract
1. Introduction
2. Materials and Methods
3. Results and Discussion
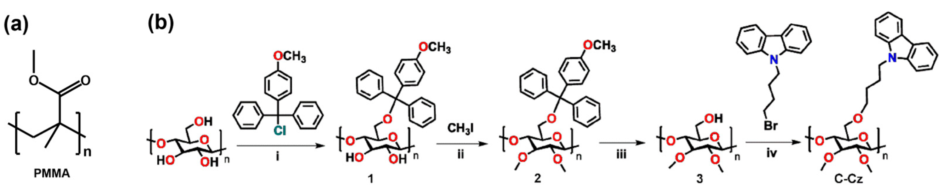
3.1. The Conductivity and Interface Morphology of C–Cz Carbon Electrodes
3.2. Interface and Charge Transport of PSCP and CSCP Carbon Electrodes
3.3. Carrier Dynamics in PSCP and CSCP Devices
3.4. The Photovoltaic Performance of PSCP and CSCP Devices
3.5. Performance and Stability Comparison of CSCP and PSCP Devices
4. Conclusions
Supplementary Materials
Author Contributions
Funding
Data Availability Statement
Conflicts of Interest
References
- Rezakhani, S.; Shahroosvand, H.; Gao, P.; Nazeeruddin, M.K. Innovating Carbon-Based Perovskite Solar Cells: The Role of a CN-Anchoring Self-Assembled Molecular Layer in Efficiency and Stability. J. Mater. Chem. A 2025, 13, 31247–31263. [Google Scholar] [CrossRef]
- Liang, L.; Cai, Y.; Li, X.; Nazeeruddin, M.K.; Gao, P. All That Glitters Is Not Gold: Recent Progress of Alternative Counter Electrodes for Perovskite Solar Cells. Nano Energy 2018, 52, 211–238. [Google Scholar] [CrossRef]
- Ferguson, V.; Silva, S.R.P.; Zhang, W. Carbon Materials in Perovskite Solar Cells: Prospects and Future Challenges. Energy Environ. Mater. 2019, 2, 107–118. [Google Scholar] [CrossRef]
- Hadadian, M.; Smått, J.-H.; Correa-Baena, J.-P. The Role of Carbon-Based Materials in Enhancing the Stability of Perovskite Solar Cells. Energy Environ. Sci. 2020, 13, 1377–1407. [Google Scholar] [CrossRef]
- Que, M.; Zhang, B.; Chen, J.; Yin, X.; Yun, S. Carbon-Based Electrodes for Perovskite Solar Cells. Mater. Adv. 2021, 2, 5560–5579. [Google Scholar] [CrossRef]
- Omrani, M.; Keshavarzi, R.; Abdi-Jalebi, M.; Gao, P. Impacts of Plasmonic Nanoparticles Incorporation and Interface Energy Alignment for Highly Efficient Carbon-Based Perovskite Solar Cells. Sci. Rep. 2022, 12, 5367. [Google Scholar] [CrossRef]
- Dubey, R.; Guruviah, V. Review of Carbon-Based Electrode Materials for Supercapacitor Energy Storage. Ionics 2019, 25, 1419–1445. [Google Scholar] [CrossRef]
- Chen, H.; Yang, S. Methods and Strategies for Achieving High-Performance Carbon-Based Perovskite Solar Cells without Hole Transport Materials. J. Mater. Chem. A 2019, 7, 15476–15490. [Google Scholar] [CrossRef]
- Babu, V.; Fuentes Pineda, R.; Ahmad, T.; Alvarez, A.O.; Castriotta, L.A.; Di Carlo, A.; Fabregat-Santiago, F.; Wojciechowski, K. Improved Stability of Inverted and Flexible Perovskite Solar Cells with Carbon Electrode. ACS Appl. Energy Mater. 2020, 3, 5126–5134. [Google Scholar] [CrossRef]
- Gan, Y.; Sun, J.; Guo, P.; Jiang, H.; Li, J.; Zhu, H.; Fan, X.; Huang, L.; Wang, Y. Advances in the Research of Carbon Electrodes for Perovskite Solar Cells. Dalton Trans. 2023, 52, 16558–16577. [Google Scholar] [CrossRef] [PubMed]
- Pradid, P.; Sanglee, K.; Thongprong, N.; Chuangchote, S. Carbon Electrodes in Perovskite Photovoltaics. Materials 2021, 14, 5989. [Google Scholar] [CrossRef]
- Liang, L.; Cai, Y.; Gao, P. A Facile Gas-Driven Ink Spray (GDIS) Deposition Strategy toward Hole-Conductor-Free Carbon-Based Perovskite Solar Cells. Emergent Mater. 2022, 5, 967–975. [Google Scholar] [CrossRef]
- Cai, Y.; Liang, L.; Gao, P. Promise of Commercialization: Carbon Materials for Low-Cost Perovskite Solar Cells. Chin. Phys. B 2018, 27, 018805. [Google Scholar] [CrossRef]
- Wu, M.; Sun, M.; Zhou, H.; Ma, J.; Ma, T. Carbon Counter Electrodes in Dye-Sensitized and Perovskite Solar Cells. Adv. Funct. Mater. 2020, 30, 1906451. [Google Scholar] [CrossRef]
- Forouzandeh, M.; Heidariramsheh, M.; Heydarnezhad, H.R.; Nikbakht, H.; Stefanelli, M.; Vesce, L.; Taghavinia, N. Enhanced Carbon-Based Back Contact Electrodes for Perovskite Solar Cells: Effect of Carbon Paste Composition on Performance and Stability. Carbon 2024, 229, 119450. [Google Scholar] [CrossRef]
- Pandey, S.; Karakoti, M.; Bhardwaj, D.; Tatrari, G.; Sharma, R.; Pandey, L.; Lee, M.-J.; Sahoo, N.G. Recent Advances in Carbon-Based Materials for High-Performance Perovskite Solar Cells: Gaps, Challenges and Fulfillment. Nanoscale Adv. 2023, 5, 1492–1526. [Google Scholar] [CrossRef] [PubMed]
- Lalpour, N.; Mirkhani, V.; Keshavarzi, R.; Moghadam, M.; Tangestaninejad, S.; Mohammadpoor-Baltork, I.; Gao, P. Self-Healing Perovskite Solar Cells Based on Copolymer-Templated TiO2 Electron Transport Layer. Sci. Rep. 2023, 13, 6368. [Google Scholar] [CrossRef]
- Don, M.F.; Ekanayake, P.; Jennings, J.R.; Nakajima, H.; Lim, C.M. Graphite/Carbon Black Counter Electrode Deposition Methods to Improve the Efficiency and Stability of Hole-Transport-Layer-Free Perovskite Solar Cells. ACS Omega 2022, 7, 22830–22838. [Google Scholar] [CrossRef] [PubMed]
- He, J.; Bai, Y.; Luo, Z.; Ran, R.; Zhou, W.; Wang, W.; Shao, Z. Advanced Carbon-Based Rear Electrodes for Low-Cost and Efficient Perovskite Solar Cells. Energy Environ. Sci. 2025, 18, 2136–2164. [Google Scholar] [CrossRef]
- Chen, R.; Zhang, W.; Guan, X.; Raza, H.; Zhang, S.; Zhang, Y.; Troshin, P.A.; Kuklin, S.A.; Liu, Z.; Chen, W. Rear Electrode Materials for Perovskite Solar Cells. Adv. Funct. Mater. 2022, 32, 2200651. [Google Scholar] [CrossRef]
- Aftabuzzaman, M.; Lu, C.; Kim, H.K. Recent Progress on Nanostructured Carbon-Based Counter/Back Electrodes for High-Performance Dye-Sensitized and Perovskite Solar Cells. Nanoscale 2020, 12, 17590–17648. [Google Scholar] [CrossRef]
- Meng, X.; Zhou, J.; Hou, J.; Tao, X.; Cheung, S.H.; So, S.K.; Yang, S. Versatility of Carbon Enables All Carbon Based Perovskite Solar Cells to Achieve High Efficiency and High Stability. Adv. Mater. 2018, 30, 1706975. [Google Scholar] [CrossRef]
- Shao, S.; Loi, M.A. The Role of the Interfaces in Perovskite Solar Cells. Adv. Mater. Inter. 2020, 7, 1901469. [Google Scholar] [CrossRef]
- Xie, H.; Lei, J.; Zhu, Z.; Xu, X.; Li, D.; Xu, J.; Pan, Y.; Yin, X. Practical Interface Engineering between Perovskite and Carbon Electrode in Regular Carbon-Based Perovskite Solar Cells. ACS Appl. Mater. Interfaces 2025, 17, 33271–33295. [Google Scholar] [CrossRef]
- Tsuji, R.; Tanaka, K.; Oishi, K.; Shioki, T.; Satone, H.; Ito, S. Role and Function of Polymer Binder Thickeners in Carbon Pastes for Multiporous-Layered-Electrode Perovskite Solar Cells. Chem. Mater. 2023, 35, 8574–8589. [Google Scholar] [CrossRef]
- Boyd, C.C.; Cheacharoen, R.; Leijtens, T.; McGehee, M.D. Understanding Degradation Mechanisms and Improving Stability of Perovskite Photovoltaics. Chem. Rev. 2019, 119, 3418–3451. [Google Scholar] [CrossRef] [PubMed]
- Miah, M.H.; Rahman, M.B.; Nur-E-Alam, M.; Islam, M.A.; Shahinuzzaman, M.; Rahman, M.R.; Ullah, M.H.; Khandaker, M.U. Key Degradation Mechanisms of Perovskite Solar Cells and Strategies for Enhanced Stability: Issues and Prospects. RSC Adv. 2025, 15, 628–654. [Google Scholar] [CrossRef] [PubMed]
- Wang, A.; Xu, H.; Zhou, Q.; Liu, X.; Li, Z.; Gao, R.; Wu, N.; Guo, Y.; Li, H.; Zhang, L. A New All-Solid-State Hyperbranched Star Polymer Electrolyte for Lithium Ion Batteries: Synthesis and Electrochemical Properties. Electrochim. Acta 2016, 212, 372–379. [Google Scholar] [CrossRef]
- Shaari, H.A.H.; Ramli, M.M.; Mohtar, M.N.; Rahman, N.A.; Ahmad, A. Synthesis and Conductivity Studies of Poly (Methyl Methacrylate) (PMMA) by Co-Polymerization and Blending with Polyaniline (PANi). Polymers 2021, 13, 1939. [Google Scholar] [CrossRef]
- Ali, U.; Karim, K.J.B.A.; Buang, N.A. A Review of the Properties and Applications of Poly (Methyl Methacrylate) (PMMA). Polym. Rev. 2015, 55, 678–705. [Google Scholar] [CrossRef]
- Lv, K.; Tian, G.; Yan, Y.; Zhou, H.; Fan, Q.; Liang, L.; Liu, N.; Wang, D.; Song, Z.; Xu, F.; et al. Stretchable Carbon Nanotube/Ecoflex Conductive Elastomer Films toward Multifunctional Wearable Electronics. Chem. Eng. J. 2024, 500, 157534. [Google Scholar] [CrossRef]
- Shi, S.; Chen, Y.; Jing, J.; Yang, L. Preparation and 3D-Printing of Highly Conductive Polylactic Acid/Carbon Nanotube Nanocomposites via Local Enrichment Strategy. RSC Adv. 2019, 9, 29980–29986. [Google Scholar] [CrossRef] [PubMed]
- Liu, Y.; Chang, C.; Ye, W.; Guo, X. Composite of DNA-Stabilized Multiwalled Carbon Nanotube and Nematic Liquid Crystal for Display Performance Optimization. ACS Appl. Electron. Mater. 2023, 5, 2638–2647. [Google Scholar] [CrossRef]
- Mili, M.; Hashmi, S.A.R.; Ather, M.; Hada, V.; Markandeya, N.; Kamble, S.; Mohapatra, M.; Rathore, S.K.S.; Srivastava, A.K.; Verma, S. Novel Lignin as Natural-Biodegradable Binder for Various Sectors—A Review. J. Appl. Polym. Sci. 2022, 139, 51951. [Google Scholar] [CrossRef]
- Shaghaleh, H.; Xu, X.; Wang, S. Current Progress in Production of Biopolymeric Materials Based on Cellulose, Cellulose Nanofibers, and Cellulose Derivatives. RSC Adv. 2018, 8, 825–842. [Google Scholar] [CrossRef]
- Chasta, G.; Bhakar, U.; Suthar, D.; Lamba, R.; Dhaka, M.S. Impact of Ethyl Cellulose Variation on Microstructural and Electrochemical Properties of Spin Coated YSZ Electrolyte Thin Films for SOFCs: Slurry Composition Evolution. Ceram. Int. 2023, 49, 1298–1307. [Google Scholar] [CrossRef]
- Zhang, Z.; Wang, C.; Li, F.; Liang, L.; Huang, L.; Chen, L.; Ni, Y.; Gao, P.; Wu, H. Bifunctional Cellulose Interlayer Enabled Efficient Perovskite Solar Cells with Simultaneously Enhanced Efficiency and Stability. Adv. Sci. 2023, 10, 2207202. [Google Scholar] [CrossRef]
- Son, D.-Y.; Kim, S.-G.; Seo, J.-Y.; Lee, S.-H.; Shin, H.; Lee, D.; Park, N.-G. Universal Approach toward Hysteresis−Free Perovskite Solar Cell via Defect Engineering. J. Am. Chem. Soc. 2018, 140, 1358–1364. [Google Scholar] [CrossRef]
- Salunke, J.; Guo, X.; Liu, M.; Lin, Z.; Candeias, N.R.; Priimagi, A.; Chang, J.; Vivo, P. N-Substituted Phenothiazines as Environmentally Friendly Hole-Transporting Materials for Low-Cost and Highly Stable Halide Perovskite Solar Cells. ACS Omega 2020, 5, 23334–23342. [Google Scholar] [CrossRef]
- Magomedov, A.; Paek, S.; Gratia, P.; Kasparavicius, E.; Daskeviciene, M.; Kamarauskas, E.; Gruodis, A.; Jankauskas, V.; Kantminiene, K.; Cho, K.T.; et al. Diphenylamine-Substituted Carbazole-Based Hole Transporting Materials for Perovskite Solar Cells: Influence of Isomeric Derivatives. Adv. Funct. Mater. 2018, 28, 1704351. [Google Scholar] [CrossRef]
- Hlel, A.; Mabrouk, A.; Chemek, M.; Khalifa, I.B.; Alimi, K. A DFT Study of Charge-Transfer and Opto-Electronic Properties of Some New Materials Involving Carbazole Units. Comput. Condens. Matter 2015, 3, 30–40. [Google Scholar] [CrossRef]
- Zhang, Z.; Yang, R.; Wang, Y.; Xu, K.; Dai, W.; Zhang, J.; Li, M.; Li, L.; Guo, Y.; Qin, Y.; et al. Enhanced Thermal Conductivity and Reduced Thermal Resistance in Carbon Fiber-Based Thermal Interface Materials with Vertically Aligned Structure. J. Mater. Chem. A 2024, 12, 24428–24440. [Google Scholar] [CrossRef]
- Zhao, H.-Y.; Yu, M.-Y.; Liu, J.; Li, X.; Min, P.; Yu, Z.-Z. Efficient Preconstruction of Three-Dimensional Graphene Networks for Thermally Conductive Polymer Composites. Nano-Micro Lett. 2022, 14, 129. [Google Scholar] [CrossRef]
- Hou, M.; Pan, Y.; He, F.; Xu, K.; Zhang, H.; Zhou, Y.; Zhao, B.; Chen, Y.; Liu, M. Manipulating and Optimizing the Hierarchically Porous Electrode Structures for Rapid Mass Transport in Solid Oxide Cells. Adv. Funct. Mater. 2022, 32, 2203722. [Google Scholar] [CrossRef]
- Rajendran, M.V.; Alagumalai, A.; Ganesan, S.; Menon, V.S.; Raman, R.K.; Thangavelu, S.A.G.; Krishnamoorthy, A. Design and Synthesis of Multifaceted Dicyanomethylene Rhodanine Linked Thiophene: A SnO x–Perovskite Dual Interface Modifier Facilitating Enhanced Device Performance through Improved Fermi Level Alignment, Defect Passivation and Reduced Energy Loss. Sustain. Energy Fuels 2023, 7, 735–751. [Google Scholar] [CrossRef]
- Mavlonov, A.; Negami, T.; Kawano, Y.; Kojima, K.; Kitaguchi, K.; Azuma, J.; Minemoto, T. Influence of Valence Band Offset at the Hole Transport Material/CH3NH3PbI3 Interface on Device Performance Using Fluorinated Spiro-OMeTAD. ACS Appl. Energy Mater. 2024, 7, 5937–5943. [Google Scholar] [CrossRef]
- Saha, N.; Brunetti, G.; Carlo, A.D.; Ciminelli, C. Efficiency Boost of Perovskite Solar Cell in Homojunction Configuration through Tailored Band Alignment and p–n Doping Profile. J. Phys. Energy 2025, 7, 045009. [Google Scholar] [CrossRef]
- Wu, J.; He, M.; Liu, C.; Gao, P. Charge Dynamics and Defect States under “Spot-Light”: Spectroscopic Insights into Halide Perovskite Solar Cells. Adv. Photonics Res. 2025, 6, 2400110. [Google Scholar] [CrossRef]
- Nguyen, V.A.; Kuss, C. Conducting Polymer-Based Binders for Lithium-Ion Batteries and Beyond. J. Electrochem. Soc. 2020, 167, 065501. [Google Scholar] [CrossRef]






Disclaimer/Publisher’s Note: The statements, opinions and data contained in all publications are solely those of the individual author(s) and contributor(s) and not of MDPI and/or the editor(s). MDPI and/or the editor(s) disclaim responsibility for any injury to people or property resulting from any ideas, methods, instructions or products referred to in the content. |
© 2025 by the authors. Licensee MDPI, Basel, Switzerland. This article is an open access article distributed under the terms and conditions of the Creative Commons Attribution (CC BY) license (https://creativecommons.org/licenses/by/4.0/).
Share and Cite
Guo, F.; Wu, J.; Li, Y.; Zhang, Z.; He, M.; Liang, L.; Keshavarzi, R.; Gao, P. Functional Carbazole–Cellulose Composite Binders for High-Stability Carbon Electrodes in Perovskite Solar Cells. Nanomaterials 2025, 15, 1868. https://doi.org/10.3390/nano15241868
Guo F, Wu J, Li Y, Zhang Z, He M, Liang L, Keshavarzi R, Gao P. Functional Carbazole–Cellulose Composite Binders for High-Stability Carbon Electrodes in Perovskite Solar Cells. Nanomaterials. 2025; 15(24):1868. https://doi.org/10.3390/nano15241868
Chicago/Turabian StyleGuo, Fengming, Junjie Wu, Yujing Li, Zilong Zhang, Maolin He, Lusheng Liang, Reza Keshavarzi, and Peng Gao. 2025. "Functional Carbazole–Cellulose Composite Binders for High-Stability Carbon Electrodes in Perovskite Solar Cells" Nanomaterials 15, no. 24: 1868. https://doi.org/10.3390/nano15241868
APA StyleGuo, F., Wu, J., Li, Y., Zhang, Z., He, M., Liang, L., Keshavarzi, R., & Gao, P. (2025). Functional Carbazole–Cellulose Composite Binders for High-Stability Carbon Electrodes in Perovskite Solar Cells. Nanomaterials, 15(24), 1868. https://doi.org/10.3390/nano15241868

