Abstract
This paper investigates strain-, twist-, and electric-field-tuned optical absorption in bilayer MoS2, emphasizing spin-orbit coupling (SOC). A continuum model reveals competing mechanisms: geometric perturbations (strain/twist) and Stark effects govern one-/two-photon absorption, with critical thresholds (~9% strain, ~2.13° twist) switching spin-independent to spin-polarized regimes. Strain gradients and twist enhance nonlinear responses through symmetry-breaking effects while electric fields dynamically modulate absorption via band alignment tuning. By linking parameter configurations to absorption characteristics, this work provides a framework for designing tunable spin-resolved optoelectronic devices and advancing light–matter control in 2D materials.
1. Introduction
Since the discovery of graphene in 2004, its exceptional physical properties, including ultrahigh carrier mobility and optical transparency, have attracted extensive attention [1,2,3]. However, the zero-bandgap nature of graphene fundamentally limits its applications in optoelectronic devices. This limitation has driven the exploration of novel two-dimensional (2D) materials with tunable bandgaps, such as black phosphorus, transition metal dichalcogenides (TMDCs), and silicene [4,5]. Among these, TMDCs represented by MoS2 have emerged as promising candidates for next-generation electronics and photonics due to their semiconducting characteristics and strong spin-orbit coupling effects [6,7,8,9,10]. The sizeable bandgap of TMDCs effectively addresses graphene’s shortcomings in electronic and optoelectronic applications [11,12], positioning them as leading post-graphene materials for advanced device engineering [13,14,15,16,17].
The performance of optoelectronic devices critically depends on photon absorption efficiency and energy conversion capabilities, processes governed by interband transitions. This underscores the importance of precisely regulating the band structures of TMDCs to manipulate their optical absorption coefficients. The weak interlayer van der Waals interactions in TMDCs enable flexible structural modifications through twisting, straining, and electric field strength [18,19]. Unlike twisted graphene, where flat bands emerge only at specific “magic angles”, bilayer TMDCs exhibit flat band features across a broader angular range (<7°) [18,20], making them ideal platforms for achieving strong optical transition resonances [21,22]. Experimental studies have demonstrated that strain engineering can significantly enhance photoluminescence (PL) intensity in bilayer MoS2 [23] while localized strain gradients induce symmetry-breaking effects that generate pronounced nonlinear optical responses [24]. These findings suggest that the synergistic application of twist, strain, and electric fields could provide unprecedented control over MoS2’s optical absorption properties. Nevertheless, systematic theoretical investigations remain scarce regarding how these parameters, particularly under SOC considerations, influence one-photon absorption (OPA) and two-photon absorption (TPA) coefficients in MoS2 systems.
Addressing this critical knowledge gap, we employ a low-energy continuum model to comprehensively investigate the strain-, twist-, and electricfield strength-mediated modulation of OPA/TPA coefficients in bilayer MoS2 with the explicit consideration of SOC contributions. Our methodology involves the following: (1) calculating bandgap evolution under various strain ε, twist angle θ, and external electric field strength (E.F.) configurations; (2) applying second-order perturbation theory to quantify SOC-modified transition matrix elements; and (3) establishing quantitative relationships between external parameters and absorption coefficients through microscopic mechanism analysis. This work reveals three key advancements: first, the identification of competing modulation mechanisms between geometric perturbations (θ, ε) and Stark effects in controlling absorption characteristics; second, the discovery of critical thresholds (εc ≈ 9%, θc ≈ 2.13°) governing transitions between spin-independent and spin-polarized absorption regimes; third, the demonstration of quantum interference effects through Berry curvature engineering under strain gradients. These findings not only deepen our understanding of light–matter interactions in 2D materials but also establish a theoretical framework for designing tunable photonic devices with spin-resolved functionalities.
2. Theory
This paper focuses on MoS2 as a representative system of two-dimensional transition metal dichalcogenides MX2 (M = Mo/W; X = S/Se). Given their similar structural features and physical properties, the results could also be validated for other TMDCs. As illustrated in Figure 1a, monolayer MoS2 exhibits a hexagonal lattice structure, where each Mo atom is coordinated with six S atoms in a trigonal prismatic geometry, belonging to the D3h space group. The electronic structure, shown in Figure 1b, features Fermi levels located at two inequivalent valleys (K0 and −K0) in the Brillouin zone. While this valley degeneracy resembles graphene, MoS2 exhibits a distinct direct bandgap of approximately 1.66 eV. First-principles calculations combined with parameter fitting [25] reveal that the conduction band minimum (CBM) and valence band maximum (VBM) are primarily dominated by the Mo-derived d3z2−r2 and dx2−y2 ± idxy orbitals, respectively, with significant hybridization from the S atom px ± ipy orbitals in both bands.
Figure 1.
(a) Schematic of monolayer MoS2 crystal structure. Left: side view; right: top view. (b) Schematic drawing of the band structure at the band edges located at the K0 points. Green and red denote spin-up and spin-down states, respectively. (c) Formation of a moiré superlattice in twisted bilayer MoS2 and strain S with magnitude ε and direction φ application methodology. (d) Moiré Brillouin zone under compressive strain.
Compared to graphene, the electronic structure of MoS2 exhibits two notable characteristics. First, strong SOC arises from the metal d-orbital contributions. Specifically, the VBM at the K0 valley undergoes spin splitting with a magnitude of 2λ = 0.15 eV [25] while the CBM remains spin-degenerate due to the 2dz2 orbital symmetry (Figure 1b). Second, time-reversal symmetry enforces mirror-symmetric spin polarization between the K0 and −K0 valleys. To model these effects, we adopt a graphene-inspired staggered sublattice potential Hamiltonian [26,27] and incorporate SOC corrections originating from intra-atomic L·S interactions. The effective Hamiltonian for monolayer MoS2 is expressed thus:
Here, σ denotes the Pauli matrices and valley index ξ = ±1. Key parameters include the lattice constant a = 3.193 Å, effective hopping integral t = 1.10 eV, bandgap Δ = 1.66 eV, and SOC strength λ = 0.075 eV (yielding 2λ = 0.15 eV splitting), which follows first-principles calculations [25]. Notably, the conservation of spin quantum number (sz = ±1 for spin-up/down states) ensures the complete decoupling of spin channels in the Hamiltonian, significantly simplifying subsequent theoretical analyses.
We begin with a 2H-stacked bilayer MoS2 system and introduce strain and twist degrees of freedom to construct a deformed bilayer structure. As demonstrated in Figure 1c, when two 2D material layers exhibit a lattice-constant mismatch or twist angle, they form a moiré superlattice—a long-wavelength interference pattern with a periodicity much larger than the original atomic lattice spacing [18]. Let a1 = a (1, 0) and a2 = a (1/2, /2) denote the primitive lattice vectors, with corresponding reciprocal lattice vectors b1 = 2π/a (1, –1/) and b2 = 2π/a (0, 2/). The two inequivalent Dirac points in the first Brillouin zone are located at Kξ = −ξ(4π/3a, 0). The combined deformation matrix U associated with the small angle rotation matrix R(θ) and the strain tensor S(ε, φ) is expressed thus [28,29]:
Here,
= 0.25 [30] is the Poisson ratio. The introduction of strain and twist breaks the original lattice symmetry, modifying the lattice vectors
and reciprocal vectors
for l layer (i = 1, 2) as
where the relative deformation matrix satisfies U2 = −U1 = U/2 due to symmetry constraints. This deformation shifts the Dirac points and generates a moiré Brillouin zone, as illustrated in Figure 1d. The corresponding lattice vectors
and reciprocal lattice vectors
of the moiré superlattice are derived accordingly. The strained Dirac point positions are determined by
where
; the effective gauge connection for the low energy Dirac fermions with the hopping modulus factor β ≈ 2.4 for MoS2 [31] represents the dimensionless hopping modulus factor characterizing the strain response of low-energy Dirac fermions.
The Hamiltonian of the bilayer MoS2 system adopts formalism analogous to that of bilayer graphene [28,29]:
Here, the intralayer coupling terms
are derived by applying the deformation matrix U to the monolayer Hamiltonian in Equation (1) [30]. The potential Vl(r) accounts for moiré superlattice-induced intralayer modulations. Crucially, since the intralayer coupling parameters are orders of magnitude weaker than their interlayer counterparts, we set Vl(r) = 0 in this model. The interlayer coupling term T(r) is expressed thus [28]:
For computational implementation, we fix the interlayer spacing of bilayer MoS2 at 0.301 nm. The S-S interlayer hopping parameter t(k) is truncated at a maximum value of 10 meV to ensure computational tractability while preserving essential physical features [32].
When a uniform vertical electric field with strength E.F. is applied to the material, an interlayer energy offset Π = ed∙(E.F.) with electron charge e and d the thickness of the bilayer system is induced between the two layers. Consequently, the system Hamiltonian in Equation (5) requires modification by adding and subtracting Π/2 to and from the diagonal elements, respectively.
In crystalline solids, multiphoton absorption (MPA) processes can be described through time-dependent perturbation theory. For OPA, an electron in the ground state absorbs one photon of energy ħω and transitions to an excited state. The transition rate W1 for OPA in two-dimensional materials is derived from second-order perturbation theory as [33]
where φi and φf represent the initial and final state wavefunctions, Ei and Ef are their corresponding energies, and the Dirac delta function enforces energy conservation. The electron-radiation interaction Hamiltonian is Hint = eħ/(mec)A∙k, with effective mass me, speed of light in vacuum c, and light wave vector potential A = Ae. The OPA coefficient α1 relates to the transition rate W1 through
where I = εω1/2ω2A2(2πc)−1 is the incident light intensity; εω the optical-frequency dielectric constant. For TPA, the process involves sequential absorption of two photons via intermediate states. The TPA transition rate W2 is expressed as [33]
where φm and Em correspond to intermediate states and energies. The TPA coefficient α2 follows:
3. Results and Discussion
3.1. Band Structure Modulation Mechanisms
In photon absorption processes, the probability and efficiency of electron transitions from the valence band to the conduction band are fundamentally governed by the material’s band topology. Therefore, a systematic investigation of the synergistic modulation effects induced by strain magnitude ε, twist angle θ, and external electric field strength E.F. on the band structure is critical. Guided by the D3h point group symmetry of the system, we focus on the electronic state evolution at the ξ = −1 valley.
As illustrated in Figure 2a, SOC induces spin-polarized splitting at the VBM of the twisted bilayer system, forming spin-up and spin-down subbands with an energy splitting of ΔSOC ≈ 0.15 eV. This phenomenon arises from the SOC-mediated orbital-momentum locking effect, which lifts the spin degeneracy by breaking spatial inversion symmetry [20]. The bandgap δk at the K point exhibits distinct nonlinear behavior under the combined modulation of strain magnitude ε and twist angle θ (Figure 2b). In the low-strain regime (ε < 6%), δk increases monotonically with θ, attributed to enhanced wavefunction localization caused by the attenuation of interlayer orbital coupling strength. In the high-strain regime (ε ≥ 6%): δk becomes robust against θ variations due to strain-driven lattice relaxation dominating band renormalization processes. The energy bands near the Fermi level undergo significant restructuring under θ and ε modulation (Figure 2c,d). This originates from the spatial confinement effects of moiré superlattice potentials: Increasing θ enhances wavefunction localization within moiré periodic potentials while ε modifies Brillouin zone symmetry to shift van Hove singularity positions. Notably, these geometric perturbations primarily redistribute carriers rather than altering the intrinsic bandgap, enabling the independent control of optical absorption spectra and electronic band alignment.
Figure 2.
(a) Band structure of twisted bilayer MoS2. (b) Strain dependence of bandgap at the K point for different twist angles θ. (c) Energy of bands near the Fermi level at the K point versus θ under zero strain. (d) Energy of bands near the Fermi level at the K point versus ε for untwisted bilayer MoS2 under uniaxial strain φ = 0°. (e) Bandgap at the K point near the Fermi level versus electric field strength (E.F.) for θ = 2.13° without strain. (f) Energy of bands near the Fermi level at the K point versus ε for θ = 2.13° without electric field.
In contrast, vertical electric fields modulate δk through Stark-effect-driven interlayer charge transfer (Figure 2e). δk decreases linearly with external electric field strength, culminating in a semiconductor-to-metal transition at 0.29 V/Å, where interlayer tunneling dominates transport [34,35,36]. When field increases to 0.32 V/Å, this confirms SOC-enhanced field sensitivity via effective mass reduction [20]. This dimension-dependent regulatory disparity highlights distinct mechanisms: electric fields directly modify band alignment through electrostatic potentials while geometric perturbations (θ, ε) govern electronic correlations via orbital hybridization tuning.
3.2. Single-Photon Absorption Coefficient
As shown in Figure 3, the SOC induces the characteristic splitting of the one-photon absorption coefficient α1 in twisted bilayer MoS2, generating dual absorption peaks flanking the SOC-free central peak. This phenomenon originates from the spin-selective transitions governed by the hybridization of Mo’s dx2 − y2 ± idxy orbitals at the valence band maximum, which lifts spin degeneracy through broken inversion symmetry [37]. The absorption coefficient reaches magnitudes of 105 m−1, with both peak intensity and spectral width exhibiting strong dependence on twist angle θ and strain ε. Specifically, increasing θ from 1.7° to 2.3° enhances α1 by amplifying the moiré-potential localization effect-reduced interlayer coupling strengthens wavefunction confinement, thereby increasing the density of states near van Hove singularities (Figure 2c,d). This geometric modulation simultaneously widens absorption peaks (FWHM expansion > 30%) due to enhanced band nesting effects. Strain engineering (ε > 6%) further elevates α1 through Brillouin-zone-compression-induced band restructuring [28], which modifies momentum conservation rules and activates normally forbidden interband transitions. Notably, spin-down absorption channels dominate under high θ/ε conditions, approaching the absorption intensity of SOC-free systems (Figure 3d), a consequence of strain-mediated C3 symmetry breaking that preferentially enhances dipole matrix elements for spin-down transitions. The decoupled control capabilities, θ controlling spin polarization via spatial carrier localization and ε tuning spectral response through symmetry relaxation, establish a dual-parameter strategy for designing polarization-sensitive photonic devices with customized absorption profiles.
Figure 3.
(a) One-photon absorption spectra of MoS2 at different twist angles θ under zero strain. (b) Peak values of the one-photon absorption coefficient versus θ without strain. (c) One-photon absorption spectra under isotropic strain φ = 0° at varying strain magnitudes ε without twisting. (d) Peak values of the one-photon absorption coefficient versus ε without twisting. Note: In (a–c), the left and right peaks correspond to spin-down and spin-up absorption, respectively, while the dashed central peak represents the spin-independent case (without SOC).
Systematic investigations reveal a nonlinear evolution of the one-photon absorption coefficient α1 in bilayer MoS2 across the strain-twist angle parameter space (Figure 4). For systems with twist angles of 1.85°, 2°, and 2.13°, α1 exhibits a biphasic response as ε increases from 0% to 10%, initial enhancement followed by suppression. The critical strain εc corresponding to peak α1 demonstrates θ-dependent shifts: εc = 10% for θ = 1.85° while εc = 6% for θ = 2° and 2.13° (Figure 4d). This phenomenon originates from the competing modulation effects of strain and the twist angle on interlayer coupling—strain enhances transition matrix elements through Brillouin zone compression whereas excessive strain (ε > εc) disrupts interlayer orbital hybridization, leading to suppressed absorption. The observed angular dependence of εc highlights the geometric frustration between moiré periodicity and lattice deformation at different twist configurations.
Figure 4.
(a–c) One-photon absorption spectra of twisted bilayer MoS2 under varying strain magnitudes ε at twist angles of θ = 1.85° (a), θ = 2.00° (b), and θ = 2.13° (c). The left and right peaks correspond to spin-down and spin-up absorption channels while the dashed central peak represents the case without SOC. (d) Peak values of the one-photon absorption coefficient versus ε at the three twist angles.
The one-photon absorption coefficient exhibits exceptional sensitivity to vertical electric fields, as demonstrated in Figure 5. Upon the application of E.F. = 0.1 V/Å, α1 decreases by two orders of magnitude (from 106 cm−1 to 104 cm−1) accompanied by a pronounced redshift. This phenomenon originates from the interlayer Stark effect induced by the electric field, where the theoretical prediction of redshift magnitude aligns closely with experimental observations [20]. The bandgap reduction (Figure 2f) lowers the photon energy required for resonant transitions, resulting in systematic absorption peak redshift. Concurrently, bandgap narrowing significantly suppresses the interband transition probability. Here, electric-field-induced wavefunction delocalization attenuates the momentum matrix element while the density of states within individual bands (conduction/valence) remains stable (Figure 2d). These combined effects drive the exponential attenuation of α1 with an increasing external electric field.
Figure 5.
One-photon absorption spectra of twisted bilayer MoS2 under electric fields ranging from 0 to 0.05 V/Å. (a) θ = 2.13°; (b) θ = 3.15°.
3.3. Two-Photon Absorption Coefficient
The two-photon absorption coefficient α2 exhibits unique response characteristics under the modulation of strain or twist angle, as shown in Figure 6. Distinct from one-photon absorption, α2 undergoes a critical transition at θ = 2°, where spin-down and spin-up absorption intensities become equal while both remain lower than the spin-independent case. Beyond this critical angle, pronounced spin polarization emerges with an increasing θ. This phenomenon originates from the competition between interlayer coupling strength and moiré superlattice potentials. Strain modulation demonstrates a threshold-dependent behavior. For ε < 6%, spin-up, spin-down, and spin-independent absorption coefficients remain comparable. When ε > 6%, α2 increases linearly with strain, accompanied by enhanced spin polarization. The observed absorption peak broadening correlates directly with the density of states dispersion shown in Figure 2, confirming that geometric perturbations amplify interband scattering rates, thereby expanding the two-photon resonance window. This synergistic control of spectral broadening and spin polarization establishes new degrees of freedom for developing ultrafast spintronic–photonic devices.

Figure 6.
(a) Two-photon absorption spectra of MoS2 at different twist angles θ without strain. (b) Peak values of the two-photon absorption coefficient versus θ without strain. (c) Two-photon absorption spectra under isotropic strain φ = 0° at varying strain magnitudes ε without twisting. (d) Peak values of the two-photon absorption coefficient versus ε without twisting. Note: In (a–c), the left and right peaks correspond to spin-down and spin-up absorption, respectively, while the dashed central peak represents the case without SOC.
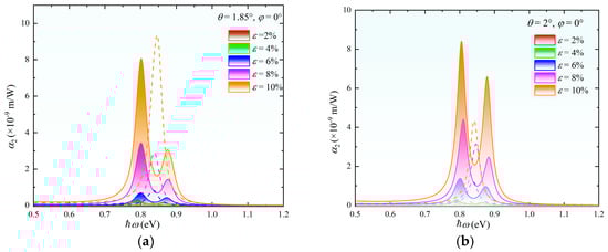
The two-photon absorption coefficient α2 exhibits multi-extremal response characteristics under the synergistic modulation of strain and the twist angle, as illustrated in Figure 7. For the system with θ = 1.85° and ε = 10%, the spin-independent α2 reaches a maximum value of 9 × 10−9 m/W, attributed to strain-enhanced interlayer hybridization. Notably, at θ = 2°, the spin-down absorption channel matches the spin-independent case when ε = 8%, whereas increasing ε to 10% causes the spin-up absorption to surpass the spin-independent value. This reveals the strain-mediated preferential enhancement of specific spin channels through C3 symmetry breaking. For the θ = 2.13° system, spin-independent absorption dominates at ε = 8%, but at ε = 10%, the spin-up absorption equals the spin-independent value while remaining lower than the spin-down counterpart. This indicates a critical strain threshold of approximately 9%, beyond which spin-polarized absorption prevails. Full parameter-space analysis demonstrates the systematic enhancement of α2 across the 1375–1649 nm wavelength range with increasing ε. This strain–twist synergy establishes a theoretical framework for designing wavelength-tunable two-photon detectors. Optimal absorption at the 1550 nm telecommunication window can be achieved through strategic θ-ε parameter matching.

Figure 7.
Two-photon absorption spectra of twisted bilayer MoS2 under varying strain magnitudes ε at twist angles of θ = 1.85° (a), θ = 2.00° (b), and θ = 2.13° (c). The left and right peaks correspond to spin-down and spin-up absorption channels while the dashed central peak represents the case without SOC. (d) Peak values of the two-photon absorption coefficient versus ε at the three twist angles.
Figure 8a,b illustrate the evolution of the two-photon absorption coefficient α2 with vertical electric field strength in twisted bilayer MoS2 systems at angles of θ = 2.13° and 3.15°. The pronounced modulation of the bandgap by electric field drives a highly nonlinear response in α2. As external electric field increases from 0.01 to 0.05 V/Å, α2 decreases by approximately one order of magnitude (e.g., from 3.6 × 10−12 m/W to 0.5 × 10−12 m/W for θ = 2.13°), accompanied by a redshift of the absorption peak. Notably, the attenuation of α2 exhibits nonmonotonic behavior—an anomalous enhancement observed at specific electric field strength values. This phenomenon is attributed to the electric-field-driven redistribution of electron density between layers, which modifies the energy distribution of intermediate states in the two-photon transition matrix element. Furthermore, the redshift rate correlates strongly with the bandgap contraction rate, consistent with theoretical predictions of the Stark effect [20]. We have compiled and compared the currently reported experimental and theoretical data on two-photon absorption in MoS2 (see Table 1), providing a reference for related experimental studies and practical applications.
Figure 8.
Two-photon absorption spectra of twisted bilayer MoS2 under zero strain with electric fields ranging from 0 to 0.05 V/Å: (a) θ = 2.13°; (b) θ = 3.15°.
Table 1.
TPA coefficient of MoS2 using this theory and other theories, as well as experimental data for comparison.
4. Conclusions
This paper has comprehensively investigated the synergistic modulation of optical absorption properties in bilayer MoS2 under strain, the twist angle, and vertical electric fields, with the explicit consideration of spin-orbit coupling (SOC) effects. The interplay between geometric perturbations (strain and twist) and Stark effects reveals competing mechanisms for controlling spectral response and spin polarization. Critical thresholds (εc ≈ 9%, θc ≈ 2.13°) govern transitions between spin-independent and spin-polarized absorption regimes, driven by strain-induced Brillouin zone compression and twist-mediated moiré potential localization. Strain gradients further enhance nonlinear optical responses through symmetry-breaking effects while vertical electric fields enable the dynamic tuning of absorption coefficients over orders of magnitude by renormalizing bandgaps and delocalizing wavefunctions. These findings establish bilayer MoS2 as a versatile platform for spin-resolved optoelectronics, offering tailored absorption profiles through parameter-specific strain–twist–electric field combinations. The theoretical framework presented here advances the design of tunable photonic devices such as polarization-sensitive detectors and wavelength-selective nonlinear optical modulators. Future efforts should prioritize the experimental validation of predicted thresholds and explore strain-gradient-engineered quantum interference in ultrafast spintronic applications, bridging theoretical insights with practical device engineering.
Author Contributions
Conceptualization, L.Y. and Y.C.; methodology, X.F.; software, W.Z.; validation, X.F. and P.Y.; formal analysis, X.F.; writing—original draft preparation, L.Y.; writing—review and editing, X.F.; visualization, Y.C.; supervision, X.F.; funding acquisition, X.F. All authors have read and agreed to the published version of the manuscript.
Funding
This research was funded by the National Natural Science Foundation of China, grant numbers 12264057 and 52262042.
Data Availability Statement
The original contributions presented in this study have been included in the article. Further inquiries can be directed to the corresponding author.
Conflicts of Interest
The authors declare no conflicts of interest.
Abbreviations
The following abbreviations have been used in this manuscript:
| 2D | two-dimensional |
| TMDCs | transition metal dichalcogenides |
| SOC | spin-orbit coupling |
| PL | photoluminescence |
| OPA | one-photon absorption |
| TPA | two-photon absorption |
| MPA | multi-photon absorption |
| CBM | conduction band minimum |
| VBM | valence band maximum |
| ML-MoS2 | monolayer MoS2 |
| BL-MoS2 | bilayer MoS2 |
References
- Tombros, N.; Jozsa, C.; Popinciuc, M.; Jonkman, H.T.; Wees, B.J.V. Electronic spin transport and spin precession in single graphene layers at room temperature. Nature 2007, 448, 571–574. [Google Scholar] [CrossRef] [PubMed]
- Neto, A.H.C.; Guinea, F.; Peres, N.M.R.; Novoselov, K.S.; Geim, A.K. The electronic properties of graphene. Rev. Mod. Phys. 2009, 81, 109–162. [Google Scholar] [CrossRef]
- Rutter, G.M.; Crain, J.N.; Guisinger, N.P.; Li, T.; First, P.N.; Stroscio, J.A. Scattering and interference in epitaxial graphene. Science 2007, 317, 219–222. [Google Scholar] [CrossRef] [PubMed]
- Kim, K.; Choi, J.Y.; Kim, T.; Cho, S.H.; Chung, H.J. A role for graphene in silicon-based semiconductor devices. Nature 2011, 479, 338–344. [Google Scholar] [CrossRef] [PubMed]
- Novoselov, K.S.; Geim, A.K.; Morozov, S.V.; Jiang, D.; Zhang, Y.; Dubonos, S.V.; Grigorieva, I.V.; Firsov, A.A. Electric field effect in atomically thin carbon films. Science 2004, 306, 666–669. [Google Scholar] [CrossRef] [PubMed]
- Liu, H.; Neal, A.T.; Zhu, Z.; Luo, Z.; Xu, X.F.; Tománek, D.; Ye, P.D. Phosphorene: An unexplored 2D semiconductor with a high hole mobility. ACS Nano 2014, 8, 4033–4041. [Google Scholar] [CrossRef] [PubMed]
- Wang, Q.H.; Zadeh, K.K.; Kis, A.; Coleman, J.N.; Strano, M.S. Electronics and optoelectronics of two-dimensional transition metal dichalcogenides. Nat. Nanotechnol. 2012, 7, 699–712. [Google Scholar] [CrossRef] [PubMed]
- Chhowalla, M.; Shin, H.S.; Eda, G.; Li, L.J.; Loh, K.P.; Zhang, H. The chemistry of two-dimensional layered transition metal dichalcogenide nanosheets. Nat. Chem. 2013, 5, 263–275. [Google Scholar] [CrossRef] [PubMed]
- Sone, J.; Yamagami, T.; Aoki, Y.; Nakatsuji, K.; Hirayama, H. Epitaxial growth of silicene on ultra-thin Ag (111) films. New J. Phys. 2012, 16, 95004. [Google Scholar] [CrossRef]
- Dávila, M.E.; Xian, L.; Cahangirov, S.; Rubio, A.; Lay, G.L. Germanene: A novel two-dimensional germanium allotrope akin to graphene and silicene. New J. Phys. 2014, 16, 3579–3587. [Google Scholar] [CrossRef]
- Aivazian, G.; Gong, Z.; Jones, A.M.; Chu, R.L.; Yan, J.; Mandrus, D.G.; Zhang, C.; Cobden, D.; Yao, W.; Xu, X. Magnetic control of valley pseudospin in monolayer WSe2. Nat. Phys. 2015, 11, 148–152. [Google Scholar] [CrossRef]
- Srivastava, A.; Sidler, M.; Allain, A.V.; Lembke, D.S.; Kis, A.; Imamoğlu, A. Valley Zeeman effect in elementary optical excitations of monolayer WSe2. Nat. Phys. 2015, 11, 141–147. [Google Scholar] [CrossRef]
- Radisavljevic, B.; Radenovic, A.; Brivio, J.; Giacometti, V.; Kis, A. Single-layer MoS2 transistors. Nat. Nanotechnol. 2011, 6, 147–150. [Google Scholar] [CrossRef] [PubMed]
- Lee, H.S.; Min, S.W.; Chang, Y.G.; Park, M.K.; Nam, T.; Kim, H.; Kim, J.H.; Ryu, S.; Im, S. MoS2 nanosheet phototransistors with thickness-modulated optical energy gap. Nano Lett. 2012, 12, 3695–3700. [Google Scholar] [CrossRef] [PubMed]
- Park, Y.J.; Sharma, B.K.; Shinde, S.M.; Kim, M.S.; Jang, B.; Kim, J.H.; Ahn, J.H. All MoS2-based large area, skin-attachable active-matrix tactile sensor. ACS Nano 2019, 13, 3023–3030. [Google Scholar] [CrossRef] [PubMed]
- Ge, Y.C.; Chu, H.; Chen, J.Y.; Zhuang, P.Y.; Feng, Q.Y.; Smith, W.R.; Dong, P.; Ye, M.X.; Shen, J.F. Ultrathin MoS2 nanosheets decorated hollow CoP heterostructures for enhanced hydrogen evolution reaction. ACS Sustain. Chem. Eng. 2019, 7, 10105–10111. [Google Scholar] [CrossRef]
- Seh, Z.W.; Yu, J.H.; Li, W.Y.; Hsu, P.C.; Wang, H.T.; Sun, Y.M.; Yao, H.B.; Zhang, Q.F.; Cui, Y. Two-dimensional layered transition metal disulphides for effective encapsulation of high-capacity lithium sulphide cathodes. Nat. Commun. 2014, 5, 5017. [Google Scholar] [CrossRef] [PubMed]
- Naik, M.H.; Jain, M. Ultraflatbands and Shear Solitons in Moiré Patterns of Twisted Bilayer Transition Metal Dichalcogenides. Phys. Rev. Lett. 2018, 121, 266401.1–266401.6. [Google Scholar] [CrossRef] [PubMed]
- Zhang, Z.; Wang, Y.; Watanabe, K.; Taniguchi, T.; Ueno, K.; Tutuc, E.; LeRoy, B.J. Flat bands in twisted bilayer transition metal dichalcogenides. Nat. Phys. 2020, 16, 1093–1096. [Google Scholar] [CrossRef]
- Zhan, Z.; Zhang, Y.; Lv, P.; Zhong, H.; Yu, G.; Guinea, F.; Silva-Guillén, J.A.; Yuan, S. Tunability of multiple ultraflat bands and effect of spin-orbit coupling in twisted bilayer transition metal dichalcogenides. Phys. Rev. B 2020, 102, 241106. [Google Scholar] [CrossRef]
- Oshima, S.; Toyoda, M.; Saito, S. Geometrical and electronic properties of unstrained and strained transition metal dichalcogenide nanotubes. Phys. Rev. Mater. 2020, 4, 026004. [Google Scholar] [CrossRef]
- Naumis, G.G.; Herrera, S.A.; Poudel, S.P.; Nakamura, H.; Barraza-Lopez, S. Mechanical, electronic, optical, piezoelectric and ferroic properties of strained graphene and other strained monolayers and multilayers: An update. Rep. Prog. Phys. 2023, 87, 016502. [Google Scholar] [CrossRef] [PubMed]
- He, K.; Poole, C.; Mak, K.F.; Shan, J. Experimental demonstration of continuous electronic structure tuning via strain in atomically thin MoS2. Nano Lett. 2013, 13, 2931–2936. [Google Scholar] [CrossRef] [PubMed]
- Lin, K.Q.; Faria Junior, P.E.; Bauer, J.M.; Peng, B.; Monserrat, B.; Gmitra, M.; Fabian, J.; Bange, S.; Lupton, J.M. Twist-angle engineering of excitonic quantum interference and optical nonlinearities in stacked 2D semiconductors. Nat. Commun. 2021, 12, 1553. [Google Scholar] [CrossRef] [PubMed]
- Xiao, D.; Liu, G.-B.; Feng, W.; Xu, D.; Yao, W. Coupled spin and valley physics in monolayers of MoS2 and other group-VI dichalcogenides. Phys. Rev. Lett. 2012, 108, 196802. [Google Scholar] [CrossRef] [PubMed]
- Xiao, D.; Yao, W.; Niu, Q. Valley-contrasting physics in graphene: Magnetic moment and topological transport. Phys. Rev. Lett. 2007, 99, 236809. [Google Scholar] [CrossRef] [PubMed]
- Yao, W.; Xiao, D.; Niu, Q. Valley-dependent optoelectronics from inversion symmetry breaking. Phys. Rev. B 2008, 77, 235406. [Google Scholar] [CrossRef]
- Bi, Z.; Yuan, N.F.Q.; Fu, L. Designing flat bands by strain. Phys. Rev. B 2019, 100, 035448. [Google Scholar] [CrossRef]
- Yu, L.; Fu, Z.; Yang, P.; Feng, X. Strain-enhanced two-photon absorption in twisted bilayer graphene. Sci. Rep. 2025, 15, 15565. [Google Scholar] [CrossRef] [PubMed]
- Yue, Q.; Kang, J.; Shao, Z.; Zhang, X.; Chang, S.; Wang, G.; Qin, S.; Li, J. Mechanical and electronic properties of monolayer MoS2 under elastic strain. Phys. Lett. A 2012, 376, 1166–1170. [Google Scholar] [CrossRef]
- Fang, S.; Carr, S.; Cazalilla, M.A.; Kaxiras, E. Electronic structure theory of strained two-dimensional materials with hexagonal symmetry. Phys. Rev. B 2018, 98, 075106.1–075106.13. [Google Scholar] [CrossRef]
- Javvaji, S.; Sun, J.H.; Jung, J. Topological flat bands without magic angles in massive twisted bilayer graphenes. Phys. Rev. B 2020, 101, 125411. [Google Scholar] [CrossRef]
- Nathan, V.; Guenther, A.H.; Mitra, S.S. Review of multiphoton absorption in crystalline solids. J. Opt. Soc. Am. B 1985, 2, 294–316. [Google Scholar] [CrossRef]
- Ramasubramaniam, A.; Naveh, D.; Towe, E. Tunable band gaps in bilayer transition-metal dichalcogenides. Phys. Rev. B 2011, 84, 3239–3247. [Google Scholar] [CrossRef]
- Liu, Q.; Li, L.; Li, Y.; Gao, Z.; Chen, Z.; Lu, J. Tuning electronic structure of bilayer MoS2 by vertical electric field: A first-principles investigation. J. Phys. Chem. C 2012, 116, 21556–21562. [Google Scholar] [CrossRef]
- Zhang, Z.; Li, J.; Yang, G.; Ouyang, G. Interface engineering of band evolution and transport properties of bilayer WSe2 under different electric fields. J. Phys. Chem. C 2019, 123, 19812–19819. [Google Scholar] [CrossRef]
- Liu, G.B.; Shan, W.Y.; Yao, Y.; Yao, W.; Xiao, D. Three-band tight-binding model for monolayers of group-VIB transition metal dichalcogenides. Phys. Rev. B 2013, 88, 085433. [Google Scholar] [CrossRef]
- Li, Y.X.; Dong, N.N.; Zhang, S.F.; Zhang, X.Y.; Feng, Y.Y.; Wang, K.P.; Zhang, L.; Wang, J. Giant two-photon absorption in monolayer MoS2. Laser Photonics Rev. 2015, 9, 427. [Google Scholar] [CrossRef]
- Zhou, F.; Kua, J.H.; Lu, S.; Ji, W. Two-photon absorption arises from two-dimensional excitons. Opt. Express 2018, 26, 16093. [Google Scholar] [CrossRef] [PubMed]
- Gong, R.; Zhou, C.; Feng, X. Magnetic field dependent two-photon absorption properties in monolayer MoS2. Phys. Rev. B 2022, 105, 195301. [Google Scholar] [CrossRef]
- Dong, N.N.; Li, Y.X.; Zhang, S.F.; McEvoy, N.; Gatensby, R.; Duesberg, G.S.; Wang, J. Saturation of two-photon absorption in layered transition metal dichalcogenides: Experiment and theory. ACS Photonics 2018, 5, 1558. [Google Scholar] [CrossRef]
- Zhang, S.F.; Dong, N.N.; McEvoy, N.; O’Brien, M.; Winters, S.; Berner, N.C.; Yim, C.Y.; Li, Y.X.; Zhang, X.Y.; Chen, Z.H.; et al. Direct observation of degenerate two-photon absorption and saturation in WS2 and MoS2 monolayer and few-layer films. ACS Nano 2015, 9, 7142. [Google Scholar] [CrossRef] [PubMed]
Disclaimer/Publisher’s Note: The statements, opinions and data contained in all publications are solely those of the individual author(s) and contributor(s) and not of MDPI and/or the editor(s). MDPI and/or the editor(s) disclaim responsibility for any injury to people or property resulting from any ideas, methods, instructions or products referred to in the content. |
© 2025 by the authors. Licensee MDPI, Basel, Switzerland. This article is an open access article distributed under the terms and conditions of the Creative Commons Attribution (CC BY) license (https://creativecommons.org/licenses/by/4.0/).