Structural, Magnetic and THz Emission Properties of Ultrathin Fe/L10-FePt/Pt Heterostructures
Abstract
1. Introduction
1.1. State of the Art
1.2. Principle of Method
2. Materials and Methods
2.1. Fabrication
2.2. Investigation Techniques
3. Results and Discussion
3.1. Structure and Schematics of Sputtering of THz Devices
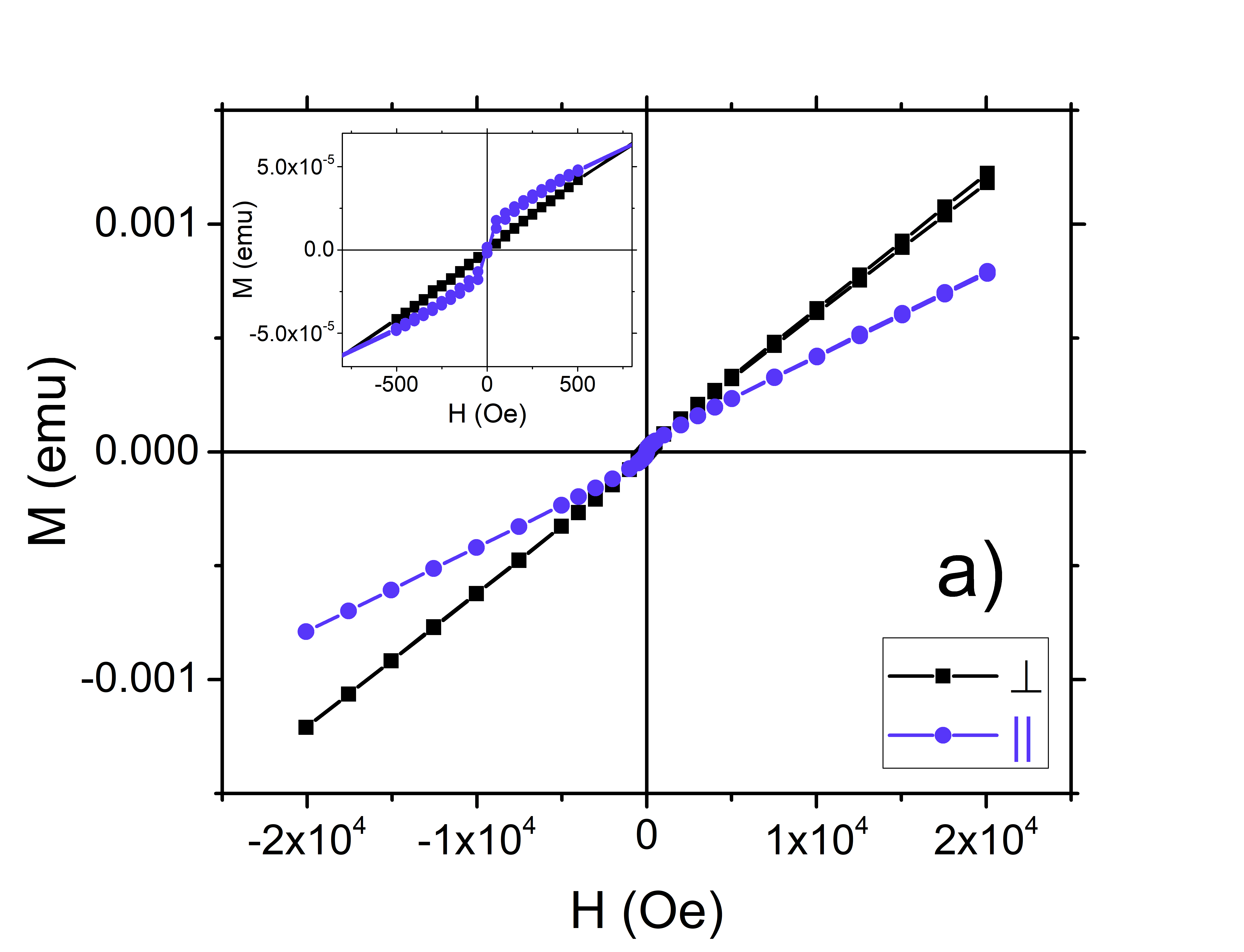
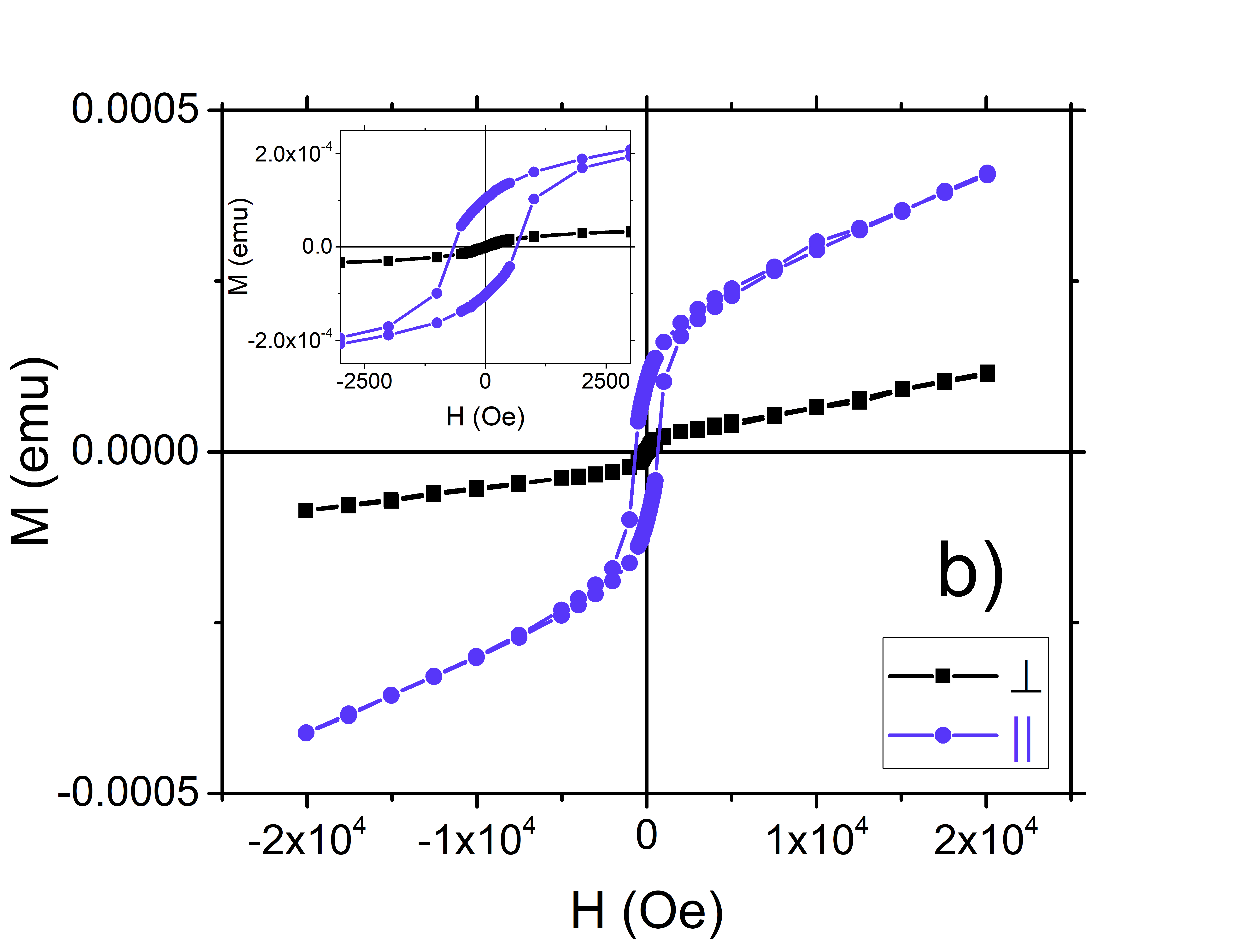
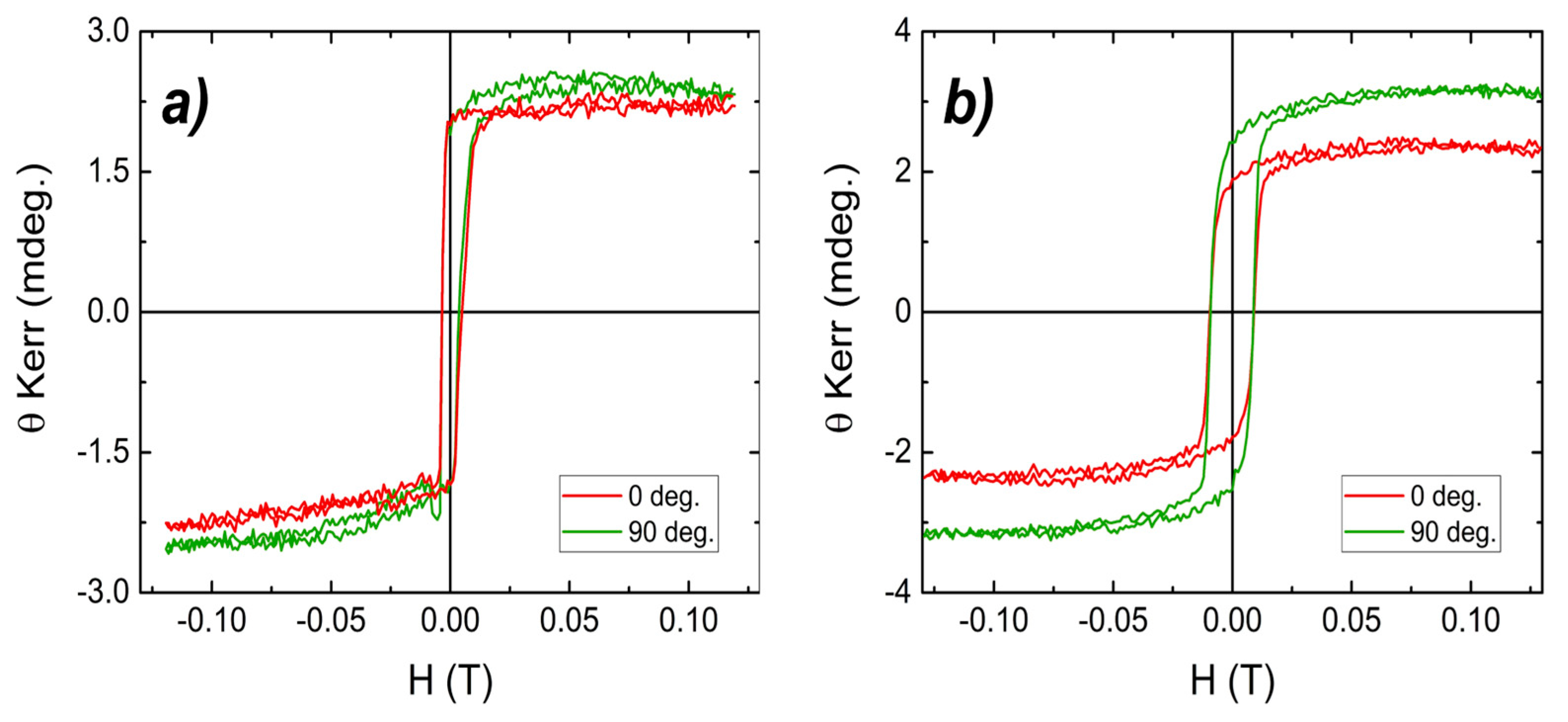
3.2. Magnetic Characterization of THz Devices
3.3. Evidencing Spin to Current Conversion Through THz Emission from the Trilayers
4. Conclusions
Author Contributions
Funding
Data Availability Statement
Acknowledgments
Conflicts of Interest
References
- Kampfrath, T.; Battiato, M.; Maldonado, P.; Eilers, G.; Nötzold, J.; Mährlein, S.; Zbarsky, V.; Freimuth, F.; Mokrousov, Y.; Blügel, M.; et al. Terahertz spin current pulses controlled by magnetic heterostructures. Nat. Nanotechnol. 2013, 8, 256. [Google Scholar] [CrossRef] [PubMed]
- Seifert, T.; Jaiswal, S.; Martens, U.; Hannegan, J.; Braun, L.; Maldonado, P.; Freimuth, F.; Kronenberg, A.; Henrizi, J.; Radu, I.; et al. Efficient metallic spintronic emitters of ultra-broadband terahertz radiation. Nat. Photonics 2016, 10, 483–488. [Google Scholar] [CrossRef]
- Mittleman, D.M. Perspective: Terahertz science and technology. J. Appl. Phys. 2017, 122, 230901. [Google Scholar] [CrossRef]
- Wu, Y.; Elyasi, M.; Qiu, X.; Chen, M.; Liu, Y.; Ke, L.; Yang, H. High-performance THz emitters based on ferromagnetic/nonmagnetic heterostructures. Adv. Mater. 2017, 29, 1603031. [Google Scholar] [CrossRef]
- Wu, W.; Ameyaw, C.Y.; Doty, M.F.; Jungfleisch, M.B. Principles of spintronic THz emitters. J. Appl. Phys. 2021, 130, 091101. [Google Scholar] [CrossRef]
- Dang, T.H.; Hawecker, J.; Rongione, E.; Baez Flores, G.; To, D.Q.; Rojas-Sanchez, J.C. Ultrafast spin-currents and charge conversion at 3d-5d interfaces probed by time-domain terahertz spectroscopy. Appl. Phys. Rev. 2020, 7, 041409. [Google Scholar] [CrossRef]
- Bull, C.; Hewett, S.M.; Ji, R.; Lin, C.H.; Thomson, T.; Graham, D.M. Spintronic terahertz emitters: Status and prospects from a materials perspective. APL Mater. 2021, 9, 090701. [Google Scholar] [CrossRef]
- Rouzegar, R.; Chekhov, A.; Behovits, Y.; Serrano, B.; Syskaki, M.; Lambert, C. Broadband spintronic terahertz source with peak electric fields exceeding 1.5 mv/cm. Phys. Rev. Appl. 2023, 19, 034018. [Google Scholar] [CrossRef]
- Koleják, P.; Lezier, G.; Vala, D.; Mathmann, B.; Halagačka, L.; Gelnárová, Z. Maximizing the electromagnetic efficiency of spintronic terahertz emitters. Adv. Photonics Res. 2024, 5, 2400064. [Google Scholar] [CrossRef]
- Hibberd, M.T.; Lake, D.S.; Johansson, N.A.B.; Thomson, T.; Jamison, S.P.; Graham, D.M. Magnetic-field tailoring of the terahertz polarization emitted from a spintronic source. Appl. Phys. Lett. 2019, 114, 031101. [Google Scholar] [CrossRef]
- Gueckstock, O.; Nádvorník, L.; Seifert, T.S.; Borchert, M.; Jakob, G.; Schmidt, G. Modulating the polarization of broadband terahertz pulses from a spintronic emitter at rates up to 10 KHz. Optica 2021, 8, 1013–1019. [Google Scholar] [CrossRef]
- Jin, Z.; Peng, Y.; Ni, Y.; Wu, G.; Ji, B.; Wu, X. Cascaded amplification and manipulation of terahertz emission by flexible spintronic heterostructures. Laser Photonics Rev. 2022, 16, 2100688. [Google Scholar] [CrossRef]
- Paries, F.; Tiercelin, N.; Lezier, G.; Vanwolleghem, M.; Selz, F.; Syskaki, M.A. Fiber-tip spintronic terahertz emitters. Opt. Express 2023, 31, 30884–30893. [Google Scholar] [CrossRef] [PubMed]
- Feng, Z.; Qiu, H.S.; Wang, D.C.; Zhang, C.H.; Sun, S.; Jin, B.B.; Tan, W. Spintronic THz emitter. J. Appl. Phys. 2021, 129, 010901. [Google Scholar] [CrossRef]
- Seifert, T.; Jaiswal, S.; Sajadi, M.; Jakob, G.; Winnerl, S.; Wolf, M.; Kläui, M.; Kampfrath, T. Ultrabroadband single-cycle terahertz pulses with peak fields of 300 kV cm−1 from a metallic spintronic emitter. Appl. Phys. Lett. 2017, 110, 252402. [Google Scholar] [CrossRef]
- Papaioannou, E.T.; Torosyan, G.; Keller, S.; Scheuer, L.; Battiato, M.; Mag-Usara, V.K.; L’huillier, J.; Tani, M.; Beigang, R. Efficient Terahertz Generation Using Fe/Pt Spintronic Emitters Pumped at Different Wavelengths. IEEE Trans. Magn. 2018, 54, 9100205. [Google Scholar] [CrossRef]
- Seifert, T.; Tran, N.M.; Gueckstock, O.; Rouzegar, S.M.; Nadvornik, L.; Jaiswal, S.; Jakob, G.; Temnov, V.V.; Münzenberg, M.; Wolf, M.; et al. Terahertz spectroscopy for all-optical spintronic characterization of the spin-Hall-effect metals Pt, W and Cu80Ir20. J. Phys. D Appl. Phys. 2018, 51, 364003. [Google Scholar] [CrossRef]
- Shelukhin, L.A.; Kuzikova, A.V.; Telegin, A.V.; Bessonov, V.D.; Ognev, A.V.; Samardak, A.S.; Park, J.; Kim, Y.K.; Kalashnikova, A.M. Enhanced laser-induced single-cycle terahertz generation in a spintronic emitter with a gradient interface. Sci. Technol. Adv. Mater. 2025, 26, 2448417. [Google Scholar] [CrossRef]
- Scheuer, L.; Ruhwedel, M.; Karfaridis, D.; Vasileiadis, I.G.; Sokoluk, D.; Torosyan, G. THz emission from Fe/Pt spintronic emitters with L10-FePt alloyed interface. iScience 2022, 25, 104319. [Google Scholar] [CrossRef]
- Li, G.; Medapalli, R.; Mikhaylovskiy, R.V.; Spada, F.E.; Rasing, T.; Fullerton, E.E.; Kimel, A.V. THz emission from Co/Pt bilayers with varied roughness, crystal structure, and interface intermixing. Phys. Rev. Mater. 2019, 3, 084415. [Google Scholar] [CrossRef]
- Battiato, M.; Carva, K.; Oppeneer, P.M. Super diffusive spin transport as a mechanism of ultrafast demagnetization. Phys. Rev. Lett. 2010, 105, 027203. [Google Scholar] [CrossRef]
- Battiato, M.; Carva, K.; Oppeneer, P.M. Theory of laser-induced ultrafast super diffusive spin transport in layered heterostructures. Phys. Rev. B 2012, 86, 024404. [Google Scholar] [CrossRef]
- Nenno, M.; Binder, R.; Schneider, H.C. Simulation of hot-carrier dynamics and terahertz emission in laser-excited metallic bilayers. Phys. Rev. Appl. 2019, 11, 054083. [Google Scholar] [CrossRef]
- Foggetti, F.; Oppeneer, P.M. Quantitative modeling of spintronic terahertz emission due to ultrafast spin transport. Phys. Rev. Appl. 2025, 23, 014067. [Google Scholar] [CrossRef]
- Jungfleisch, M.B.; Zhang, Q.; Zhang, W.; Pearson, J.E.; Schaller, R.D.; Wen, H.D.; Hoffmann, A. Control of Terahertz Emission by Ultrafast Spin-Charge Current Conversion at Rashba Interfaces. Phys. Rev. Lett. 2018, 120, 207207. [Google Scholar] [CrossRef]
- Go, D.W.; Jo, D.G.; Kim, C.Y.; Lee, H.W. Intrinsic Spin and Orbital Hall Effects from Orbital Texture. Phys. Rev. Lett. 2018, 121, 086602. [Google Scholar] [CrossRef] [PubMed]
- Zhang, Q.; Luo, Z.Y.; Li, H.; Yang, Y.M.; Zhang, X.H.; Wu, Y.H. Terahertz Emission from Anomalous Hall Effect in a Single-Layer Ferromagnet. Phys. Rev. Appl. 2019, 12, 054027. [Google Scholar] [CrossRef]
- Mottamchetty, V.; Rani, P.; Brucas, R.; Rydberg, A.; Svedlindh, P.; Gupta, R. Direct evidence of terahertz emission arising from anomalous Hall effect. Sci. Rep. 2023, 13, 5988. [Google Scholar] [CrossRef]
- Lan, Z.Q.; Li, Z.S.; Xu, H.R.; Liu, F.; Peng, Y.; Zhu, Y.M. Unveiling of Terahertz Emission from Ultrafast Demagnetization and the Anomalous Hall Effect in a Single Ferromagnetic Film. Chin. Phys. Lett. 2024, 41, 044203. [Google Scholar] [CrossRef]
- Mishra, S.S.; Lourembam, J.; Xiong Lin, D.J.; Singh, R. Active ballistic orbital transport in Ni/Pt heterostructure. Nat. Commun. 2024, 15, 4568. [Google Scholar] [CrossRef]
- Xu, H.R.; Yang, Y.H.; Jin, Z.M.; Wang, P.; Feng, Z.; Wang, T.; Yue, W.S.; Chen, C.; Chen, F.; Zhu, Y.M.; et al. Generation and manipulation of light-induced orbital transport in Co/Zr/Al2O3 heterostructure probed with ultrafast terahertz emission. Commun. Phys. 2025, 8, 115. [Google Scholar] [CrossRef]
- Yao, Z.H.; Fu, H.R.; Du, W.Y.; Huang, Y.Y.; Lei, Z.; You, C.Y.; Xu, Z.L. Magnetization-induced optical rectification and inverse spin Hall effect for interfacial terahertz generation in metallic heterostructures. Phys. Rev. B 2021, 103, L201404. [Google Scholar] [CrossRef]
- Jiang, Y.X.; Li, Z.S.; Li, Z.Y.; Jin, Z.M.; Lu, X.Y.; Xu, Y.B.; Peng, Y.; Zhu, Y.M. Ultrafast light-driven magneto-optical nonlinearity in ferromagnetic heterostructures. Opt. Lett. 2023, 48, 2054. [Google Scholar] [CrossRef] [PubMed]
- Wang, X.B.; Cheng, L.; Zhu, D.P.; Wu, Y.; Chen, M.J.; Wang, Y.; Zhao, D.M.; Boothroyd, C.B.; Lam, Y.M.; Zhu, J.X.; et al. Ultrafast Spin-to-Charge Conversion at the Surface of Topological Insulator Thin Films. Adv. Mat. 2018, 30, 1802356. [Google Scholar] [CrossRef]
- Jia, W.H.; Liu, M.; Lu, Y.C.; Feng, X.; Wang, Q.W.; Zhang, X.Q.; Ni, Y.B.; Hu, F.T.; Gong, M.L.; Xu, X.L.; et al. Broadband terahertz wave generation from an epsilon-near-zero material. Light Sci. Appl. 2021, 10, 11. [Google Scholar] [CrossRef]
- Torosyan, G.; Keller, S.; Scheuer, L.; Beigang, R.; Papaioannou, E.T. Optimized spintronic terahertz emitters based on epitaxial grown Fe/Pt layer structures. Sci. Rep. 2018, 8, 1311. [Google Scholar] [CrossRef]










| Sample | Parameters | 1st Layer Fe | 2nd Layer FePt | 3rd Layer Pt |
|---|---|---|---|---|
| S1 | Power | 50 W | Fe: 90 W/Pt: 30 W | 40 W |
| Temperature | 300 °C | 450 °C | 450 °C | |
| Thickness | 1.5 nm | 2 nm | 2 nm | |
| Working pressure (Ar) | 5.8 × 10−3 torr | 7 × 10−3 torr | 7 × 10−3 torr | |
| S2 | Power | 50 W | Fe: 85 W/Pt: 25 W | 25 W |
| Temperature | 300 °C | 450 °C | 450 °C | |
| Thickness | 4 nm | 2 nm | 2 nm | |
| Working pressure (Ar) | 5.8 × 10−3 torr | 7 × 10−3 torr | 7 × 10−3 torr |
Disclaimer/Publisher’s Note: The statements, opinions and data contained in all publications are solely those of the individual author(s) and contributor(s) and not of MDPI and/or the editor(s). MDPI and/or the editor(s) disclaim responsibility for any injury to people or property resulting from any ideas, methods, instructions or products referred to in the content. |
© 2025 by the authors. Licensee MDPI, Basel, Switzerland. This article is an open access article distributed under the terms and conditions of the Creative Commons Attribution (CC BY) license (https://creativecommons.org/licenses/by/4.0/).
Share and Cite
Locovei, C.; Torosyan, G.; Papaioannou, E.T.; Crisan, A.D.; Beigang, R.; Crisan, O. Structural, Magnetic and THz Emission Properties of Ultrathin Fe/L10-FePt/Pt Heterostructures. Nanomaterials 2025, 15, 1099. https://doi.org/10.3390/nano15141099
Locovei C, Torosyan G, Papaioannou ET, Crisan AD, Beigang R, Crisan O. Structural, Magnetic and THz Emission Properties of Ultrathin Fe/L10-FePt/Pt Heterostructures. Nanomaterials. 2025; 15(14):1099. https://doi.org/10.3390/nano15141099
Chicago/Turabian StyleLocovei, Claudiu, Garik Torosyan, Evangelos Th. Papaioannou, Alina D. Crisan, Rene Beigang, and Ovidiu Crisan. 2025. "Structural, Magnetic and THz Emission Properties of Ultrathin Fe/L10-FePt/Pt Heterostructures" Nanomaterials 15, no. 14: 1099. https://doi.org/10.3390/nano15141099
APA StyleLocovei, C., Torosyan, G., Papaioannou, E. T., Crisan, A. D., Beigang, R., & Crisan, O. (2025). Structural, Magnetic and THz Emission Properties of Ultrathin Fe/L10-FePt/Pt Heterostructures. Nanomaterials, 15(14), 1099. https://doi.org/10.3390/nano15141099

