Structure and Mechanical Properties of iPP-Based Nanocomposites Crystallized under High Pressure
Abstract
1. Introduction
2. Materials and Methods
2.1. Materials
2.2. Nanocomposite Preparation
2.3. Crystallization
2.4. Characterization
3. Results and Discussion
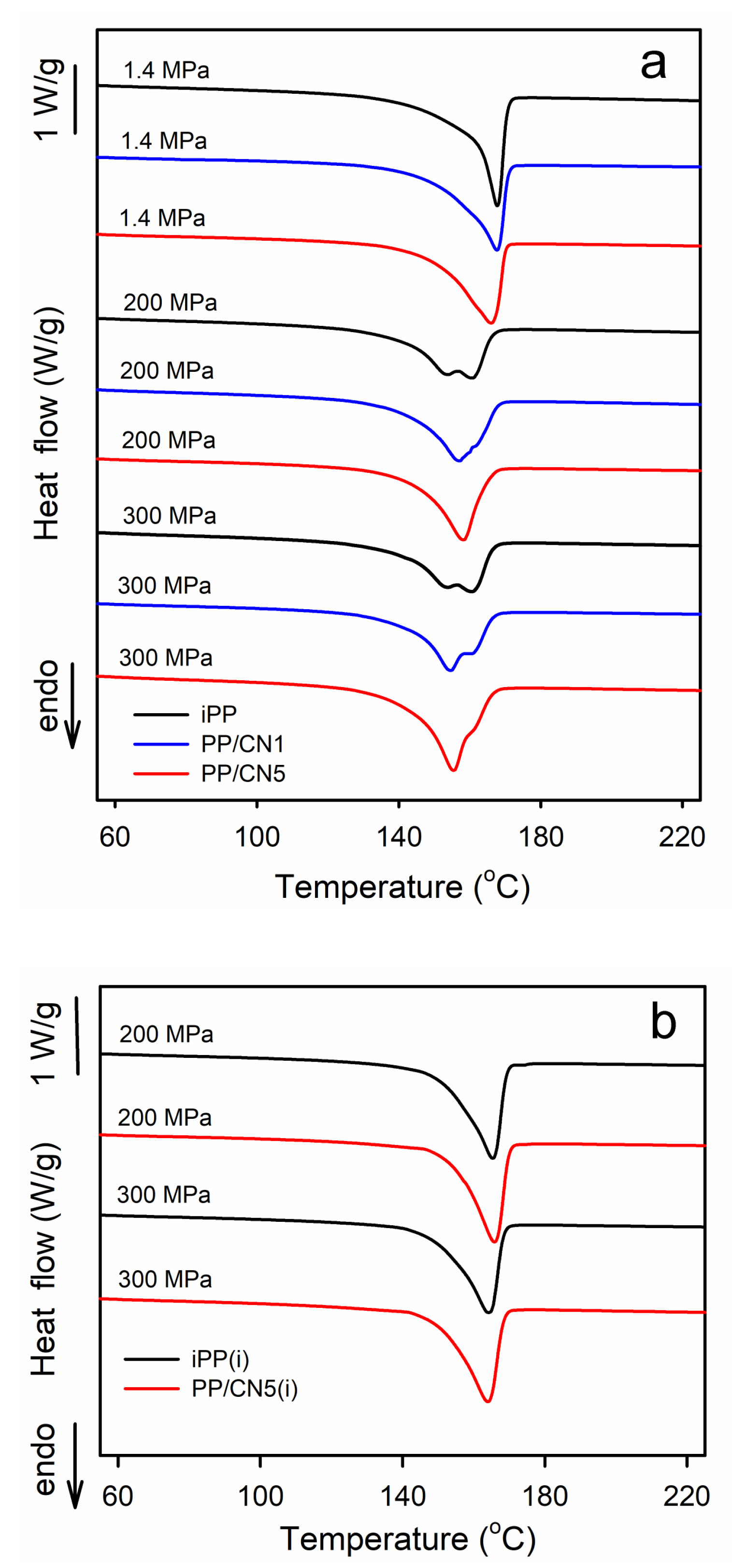
3.1. Structure
3.2. Mechanical Behavior
4. Conclusions
Supplementary Materials
Author Contributions
Funding
Data Availability Statement
Acknowledgments
Conflicts of Interest
References
- Lovinger, A.J.; Chua, J.O.; Gryte, C.C. Studies on the α and β forms of isotactic polypropylene by crystallization in a temperature gradient. J. Polym. Sci. Polym. Phys. Ed. 1977, 15, 641–656. [Google Scholar] [CrossRef]
- Mollova, A.; Androsch, R.; Mileva, D.; Gahleitner, M.; Funari, S.S. Crystallization of isotactic polypropylene containing beta-phase nucleating agent at rapid cooling. Eur. Polym. J. 2013, 49, 1057–1065. [Google Scholar] [CrossRef]
- Varga, J. β-modification of isotactic polypropylene: Preparation, structure, processing, properties, and application. J. Macromol. Sci. Part B Phys. 2002, B41, 1121–1171. [Google Scholar] [CrossRef]
- Kardos, J.L.; Christiansen, A.W.; Baer, E. Structure of pressure-crystallized polypropylene. J. Polym. Sci. Part A2 Polym. Phys. 1966, 4, 777–788. [Google Scholar] [CrossRef]
- Mezghani, K.; Phillips, P.J. The γ-phase of high molecular weight isotactic polypropylene. II: The morphology of the γ-form crystallized at 200 MPa. Polymer 1997, 38, 5725–5733. [Google Scholar] [CrossRef]
- Turner-Jones, A. Development of the γ-crystal form in random copolymers of propylene and their analysis by DSC and X-ray methods. Polymer 1971, 12, 487–508. [Google Scholar] [CrossRef]
- Guidetti, G.P.; Busi, P.; Giulianelli, I.; Zannetti, R. Structure-properties relationships in some random co-polymers of propylene. Eur. Polym. J. 1983, 19, 757–759. [Google Scholar] [CrossRef]
- Avella, M.; Martuscelli, E.; Della Volpe, G.; Segre, A.; Rossi, E.; Simonazzi, T. Composition-properties relationships in propene-ethene random copolymers obtained with high-yield Ziegler-Natta supported catalysts. Makromol. Chem. 1986, 187, 1927–1943. [Google Scholar] [CrossRef]
- Marigo, A.; Marega, C.; Zannetti, R.; Paganetto, G.; Canossa, E.; Coletta, F.; Gottardi, F. Crystallization of the γ-form of isotactic poly(propylene). Makromol. Chem. 1989, 190, 2805–2813. [Google Scholar] [CrossRef]
- Fischer, D.; Mulhaupt, R. The influence of regio- and stereoirregularities on the crystallization behavior of isotactic poly(propylene) prepared with homogeneous group IVa metallocene/methylaluminoxane Ziegler-Natta catalysts. Macromol. Chem. Phys. 1994, 195, 1433–1441. [Google Scholar] [CrossRef]
- De Rosa, C.; Auriemma, F.; Paolillo, M.; Resconi, L.; Camurati, I. Crystallization behavior and mechanical properties of regiodefective, highly stereoregular isotactic polypropylene: Effect of regiodefects versus stereodefects and influence of the molecular mass. Macromolecules 2005, 38, 9143–9154. [Google Scholar] [CrossRef]
- Thomann, R.; Semke, H.; Maier, R.D.; Thomann, Y.; Scherble, J.; Mulhaupt, R.; Kressler, J. Influence of stereoirregularities on the formation of the γ-phase in isotactic polypropene. Polymer 2001, 42, 4597–4603. [Google Scholar] [CrossRef]
- Lotz, B.; Graff, S.; Wittmann, J.C. Crystal morphology of the γ-(triclinic) phase of isotactic polypropylene and its relation to the α-phase. J. Polym. Sci. Part B Polym. Phys. 1986, 24, 2017–2032. [Google Scholar] [CrossRef]
- Morrow, D.R.; Newman, B.A. Crystallization of low-molecular-weight polypropylene fractions. J. Appl. Phys. 1968, 39, 4944–4950. [Google Scholar] [CrossRef]
- Kojima, M. Solution-grown lamellar crystals of thermally decomposed isotactic polypropylene. J. Polym. Sci. Part B Polym. Lett. 1967, 5, 245–250. [Google Scholar] [CrossRef]
- Mileva, D.; Androsch, R.; Zhuravlev, E.; Shick, C.; Wunderlich, B. Formation and reorganization of the mesophase of isotactic polypropylene. Mol. Cryst. Liq. Cryst. 2012, 556, 74–83. [Google Scholar] [CrossRef]
- Zia, Q.; Radusch, H.J.; Androsch, R. Deformation behavior of isotactic polypropylene crystallized via a mesophase. Polym. Bull. 2009, 63, 755–771. [Google Scholar] [CrossRef]
- Lotz, B.; Ruan, J.; Thierry, A.; Alfonso, G.C.; Hiltner, A.; Baer, E.; Piorkowska, E.; Galeski, A. A structure of copolymers of propene and hexene isomorphous to isotactic poly(1-butene) form I. Macromolecules 2006, 39, 5777–5781. [Google Scholar] [CrossRef]
- De Rosa, C.; Auriemma, F.; Corradini, P.; Tarallo, O.; Dello Iacono, S.; Ciaccia, E.; Resconi, L. Crystal structure of the trigonal form of isotactic polypropylene as an example of density-driven polymer structure. J. Am. Chem. Soc. 2006, 128, 80–81. [Google Scholar] [CrossRef]
- Lotz, B. A new ε crystal modification found in stereodefective isotactic polypropylene samples. Macromolecules 2014, 47, 7612–7624. [Google Scholar] [CrossRef]
- Meille, S.V.; Bruckner, S. Non-parallel chains in crystalline γ-isotactic polypropylene. Nature 1989, 340, 455–457. [Google Scholar] [CrossRef]
- Meille, S.V.; Bruckner, S.; Porzio, W. γ-Isotactic polypropylene. A structure with nonparallel chain axes. Macromolecules 1990, 23, 4114–4121. [Google Scholar] [CrossRef]
- Lotz, B.; Graff, S.; Straupe, C.; Wittmann, J.C. Single crystals of γ phase isotactic polypropylene: Combined diffraction and morphological support for a structure with non-parallel chains. Polymer 1991, 32, 2902–2910. [Google Scholar] [CrossRef]
- Lezak, E.; Bartczak, Z.; Galeski, A. Plastic deformation of the γ phase in isotactic polypropylene in plane-strain compression. Macromolecules 2006, 39, 4811–4819. [Google Scholar] [CrossRef]
- von Baeckmann, C.; Wilhelm, H.; Spieckermann, F.; Strobel, S.; Polt, G.; Sowinski, P.; Piorkowska, E.; Bismarck, A.; Zehetbauer, M. The influence of crystallization conditions on the macromolecular structure and strength of γ-polypropylene. Thermochim. Acta 2019, 677, 131–138. [Google Scholar] [CrossRef]
- Polt, G.; Spieckermann, F.; Wilhelm, H.; Kerber, M.B.; Schafler, E.; Bernstorff, S.; Zehetbauer, M. The role of dislocations in g-iPP under plastic deformation investigated by X-ray line profile analysis. Mech. Mater. 2013, 67, 126–132. [Google Scholar] [CrossRef]
- Caelers, H.J.M.; Troisi, E.M.; Govaert, L.E.; Peters, G.W.M. Deformation-induced phase transitions in iPP Polymorphs. Polymers 2017, 9, 547. [Google Scholar] [CrossRef]
- Caelers, H.J.M.; Parodi, E.; Cavallo, D.; Peters, G.W.M.; Govaert, L.E. Deformation and failure kinetics of iPP polymorphs. J. Polym. Sci. Polym. Phys. 2017, 55, 729–747. [Google Scholar] [CrossRef]
- Pluta, M.; Bartczak, Z.; Galeski, A. Changes in the morphology and orientation of bulk spherulitic polypropylene due to plane-strain compression. Polymer 2000, 41, 2271–2288. [Google Scholar] [CrossRef]
- Spoerer, Y.; Boldt, R.; Androsch, R.; Kuehnert, I. Pressure- and temperature-dependent crystallization kinetics of isotactic polypropylene under process relevant conditions. Crystals 2021, 11, 1138. [Google Scholar] [CrossRef]
- Speranza, V.; Solomone, R.; Pantani, R. Effects of pressure and cooling rates on crystallization behavior and morphology of isotactic polypropylene. Crystals 2023, 13, 922. [Google Scholar] [CrossRef]
- Mezghani, K.; Phillips, P.J. The γ-phase of high molecular weight isotactic polypropylene: III. The equilibrium melting point and the phase diagram. Polymer 1998, 39, 3735–3744. [Google Scholar] [CrossRef]
- Sowinski, P.; Piorkowska, E.; Boyer, S.A.E.; Haudin, J.M. Nucleation of crystallization of isotactic polypropylene in the gamma form under high pressure in nonisothermal conditions. Eur. Polym. J. 2016, 85, 564–574. [Google Scholar] [CrossRef]
- Sowinski, P.; Piorkowska, E.; Boyer, S.A.E.; Haudin, J.M. On the structure and nucleation mechanism in nucleated isotactic polypropylene crystallized under high pressure. Polymer 2018, 15, 179–186. [Google Scholar] [CrossRef]
- Sowinski, P.; Veluri, S.; Piorkowska, E.; Kwiecinski, K.; Boyer, S.A.E.; Haudin, J.M. High-pressure crystallization of iPP nanocomposites with montmorillonite and carbon nanotubes. Thermochim. Acta 2022, 716, 179318. [Google Scholar] [CrossRef]
- Uyor, U.O.; Popoola, P.A.; Popoola, O.M.; Aigbodion, V.S. A review of recent advances on the properties of polypropylene—Carbon nanotubes composites. J. Thermoplast. Compos. Mater. 2023, 36, 3737–3770. [Google Scholar] [CrossRef]
- Stanciu, N.V.; Stan, F.; Sandu, I.L.; Fetecau, C.; Turcanu, A.M. Thermal, rheological, mechanical, and electrical properties of polypropylene/multi-walled carbon nanotube nanocomposites. Polymers 2021, 13, 187. [Google Scholar] [CrossRef] [PubMed]
- Yetgin, S.H. Effect of multi walled carbon nanotube on mechanical, thermal and rheological properties of polypropylene. J. Mater. Res. Technol. 2019, 8, 4725–4735. [Google Scholar] [CrossRef]
- Stan, F.; Sandu, I.L.; Fetecau, C. Effect of processing parameters and strain rate on mechanical properties of carbon nanotube-filled polypropylene nanocomposites. Compos. B Eng. 2014, 59, 109–122. [Google Scholar] [CrossRef]
- Coppola, B.; Maio, L.D.; Incarnato, L.; Tulliani, J.M. Preparation and characterization of polypropylene/carbon nanotubes PP/CNTs, nanocomposites as potential strain gauges for structural health monitoring. Nanomaterials 2020, 10, 814. [Google Scholar] [CrossRef]
- Technical Data Sheet: NC7000 (2016). Available online: https://www.nanocyl.com/wp-content/uploads/2016/07/DM-TI-02-TDS-NC7000-V08.pdf (accessed on 6 February 2024).
- Kazmierczak, T.; Galeski, A. Transformation of polyethylene crystals by high-pressure annealing. J. Appl. Polym. Sci. 2002, 86, 1337–1350. [Google Scholar] [CrossRef]
- Angelloz, C.; Fulchiron, R.; Douillard, A.; Chabert, B.; Fillit, R.; Vautrin, A.; David, L. Crystallization of isotactic polypropylene under high pressure (γ phase). Macromolecules 2000, 33, 4138–4145. [Google Scholar] [CrossRef]
- Rabiej, M. Application of immune and genetic algorithms to the identification of a polymer based on its X-ray diffraction curve. J. Appl. Crystallogr. 2013, 46, 1136–1144. [Google Scholar] [CrossRef]
- Turner Jones, A.; Aizlewood, J.M.; Beckett, D.R. Crystalline forms of isotactic polypropylene. Makrom. Chem. 1964, 75, 134–158. [Google Scholar] [CrossRef]
- Brückner, S.; Phillips, P.J.; Mezghani, K.; Meille, S.V. On the crystallization of γ-isotactic polypropylene: A high pressure study. Macromol. Rapid Commun. 1997, 18, 1–7. [Google Scholar] [CrossRef]
- Hoffman, J.D. Regime III crystallization in melt-crystallized polymers: The variable cluster model of chain folding. Polymer 1983, 24, 3–26. [Google Scholar] [CrossRef]
- Crist, B.; Mirabella, F.M. Crystal thickness distributions from melting homopolymers or random copolymers. J. Polymer Sci. Part B Polym. Phys. 1999, 37, 3131–3140. [Google Scholar] [CrossRef]
- Rahmanian, V.; Galeski, A. Cavitation in strained polyethylene/nanographene nanocomposites. Polymer 2021, 232, 124158. [Google Scholar] [CrossRef]
- Bartczak, Z.; Kozanecki, M. Influence of molecular parameters on high-strain deformation of polyethylene in the plane-strain compression. Part I. Stress–strain behavior. Polymer 2005, 46, 8210–8221. [Google Scholar] [CrossRef]
- Olley, R.H.; Hodge, A.M.; Bassett, D.C. A permanganic etchant for polyolefines. J. Polym. Sci. Polym. Phys. Ed. 1979, 17, 627–643. [Google Scholar] [CrossRef]







| Sample Code | 1.4 MPa | 200 MPa | 300 MPa | |||||||||
|---|---|---|---|---|---|---|---|---|---|---|---|---|
| E [MPa] | σy [MPa] | σb [MPa] | εb | E [MPa] | σy [MPa] | σb [MPa] | εb | E [MPa] | σy [MPa] | σb [MPa] | εb | |
| iPP | 1290 | 50 | 129 | 1.20 | 1500 | 62 | 165 | 1.18 | 1430 | 59 | 185 | 1.23 |
| PP/CN1 | 1360 | 67 | 132 | 1.18 | 1530 | 77 | 176 | 1.15 | 1440 | 74 | 176 | 1.17 |
| PP/CN3 | 1430 | 72 | 156 | 1.18 | 1730 | 80 | 199 | 1.22 | 1590 | 77 | 188 | 1.19 |
| PP/CN5 | 1620 | 74 | 178 | 1.16 | 2050 | 84 | 213 | 1.21 | 1830 | 79 | 185 | 1.18 |
| PP/MT5 | 1320 | 52 | 125 | 1.17 | 1560 | 61 | 156 | 1.19 | 1370 | 60 | 174 | 1.22 |
| iPP(i) | - | - | - | - | 2100 | 86 | 69 | 0.21 | 1680 | 81 | 72 | 0.16 |
| PP/CN5(i) | - | - | - | - | 2550 | 101 | 96 | 0.15 | 2390 | 94 | 82 | 0.16 |
Disclaimer/Publisher’s Note: The statements, opinions and data contained in all publications are solely those of the individual author(s) and contributor(s) and not of MDPI and/or the editor(s). MDPI and/or the editor(s) disclaim responsibility for any injury to people or property resulting from any ideas, methods, instructions or products referred to in the content. |
© 2024 by the authors. Licensee MDPI, Basel, Switzerland. This article is an open access article distributed under the terms and conditions of the Creative Commons Attribution (CC BY) license (https://creativecommons.org/licenses/by/4.0/).
Share and Cite
Veluri, S.; Sowinski, P.; Svyntkivska, M.; Bartczak, Z.; Makowski, T.; Piorkowska, E. Structure and Mechanical Properties of iPP-Based Nanocomposites Crystallized under High Pressure. Nanomaterials 2024, 14, 629. https://doi.org/10.3390/nano14070629
Veluri S, Sowinski P, Svyntkivska M, Bartczak Z, Makowski T, Piorkowska E. Structure and Mechanical Properties of iPP-Based Nanocomposites Crystallized under High Pressure. Nanomaterials. 2024; 14(7):629. https://doi.org/10.3390/nano14070629
Chicago/Turabian StyleVeluri, Sivanjineyulu, Przemyslaw Sowinski, Mariia Svyntkivska, Zbigniew Bartczak, Tomasz Makowski, and Ewa Piorkowska. 2024. "Structure and Mechanical Properties of iPP-Based Nanocomposites Crystallized under High Pressure" Nanomaterials 14, no. 7: 629. https://doi.org/10.3390/nano14070629
APA StyleVeluri, S., Sowinski, P., Svyntkivska, M., Bartczak, Z., Makowski, T., & Piorkowska, E. (2024). Structure and Mechanical Properties of iPP-Based Nanocomposites Crystallized under High Pressure. Nanomaterials, 14(7), 629. https://doi.org/10.3390/nano14070629

