Effect of Surface Wettability on Nanoparticle Deposition during Pool Boiling on Laser-Textured Copper Surfaces
Abstract
1. Introduction
2. Materials and Methods
2.1. Surface Preparation and Analysis
2.2. Nanofluid Preparation
2.3. Experimental Setup
2.4. Data Reduction and Measurement Uncertainty
2.5. Measurement Procedure
3. Results
3.1. Pool Boiling Heat Transfer in Water
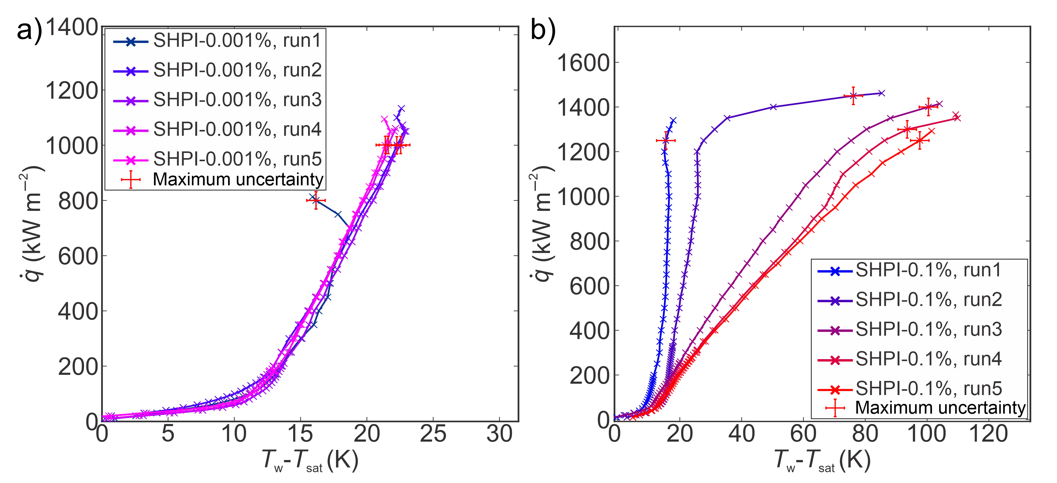
3.2. Boiling Heat Transfer on Superhydrophilic Surfaces with TiO2–Water Nanofluid
3.3. Boiling Heat Transfer on Superhydrophobic Surfaces with TiO2–Water Nanofluid
3.4. Nanoparticle Deposition and Its Influence on Boiling Heat Transfer
4. Conclusions
- Superhydrophobic and superhydrophilic laser-engineered surfaces exhibited an HTC enhancement of up to 120% over the reference surface due to fabricated microcavities that led to increased nucleation site density.
- The boiling of nanofluids on functionalized (i.e., superhydrophilic and superhydrophobic laser-engineered) surfaces failed to provide an additional improvement in the HTC compared to boiling pure water.
- At a low nanoparticle concentration, the influence of nanofluid on boiling performance is minimal, with CHF values comparable to those obtained using pure water on both the untreated, superhydrophilic and superhydrophobic laser-textured surfaces. On the other hand, at a high nanoparticle concentration, superhydrophobic and superhydrophilic laser-textured surfaces exhibited CHF enhancement up to 30% over their counterparts tested with pure water.
- Boiling performance changes can be connected to nanoparticle deposition on the surface, where the superhydrophobic surface outperforms its non-hydrophobized counterpart at high concentrations. The influence of deposit-induced added thermal resistance is smaller at low nanofluid concentrations, and instead, the changes appear to be governed by a deposit-induced wettability transition.
Author Contributions
Funding
Data Availability Statement
Conflicts of Interest
References
- Liang, G.; Chen, Y.; Yang, H.; Li, D.; Shen, S. Nucleate Boiling Heat Transfer and Critical Heat Flux (CHF) from Micro-Pit Surfaces. Int. J. Heat Mass Transf. 2020, 152, 119510. [Google Scholar] [CrossRef]
- Rahimian, A.; Kazeminejad, H.; Khalafi, H.; Akhavan, A.; Mirvakili, S.M. Boiling Heat Transfer and Critical Heat Flux Enhancement Using Electrophoretic Deposition of SiO2 Nanofluid. Sci. Technol. Nucl. Install. 2019, 2019, 1272156. [Google Scholar] [CrossRef]
- Hernandez, R.; Folsom, C.P.; Woolstenhulme, N.E.; Jensen, C.B.; Bess, J.D.; Gorton, J.P.; Brown, N.R. Review of Pool Boiling Critical Heat Flux (CHF) and Heater Rod Design for CHF Experiments in TREAT. Prog. Nucl. Energy 2020, 123, 103303. [Google Scholar] [CrossRef]
- Ahn, H.S.; Sathyamurthi, V.; Banerjee, D. Pool Boiling Experiments on a Nano-Structured Surface. IEEE Trans. Components Packag. Technol. 2009, 32, 156–165. [Google Scholar] [CrossRef]
- Rahman, M.M.; McCarthy, M. Boiling Enhancement on Nanostructured Surfaces with Engineered Variations in Wettability and Thermal Conductivity. Heat Transf. Eng. 2017, 38, 1285–1295. [Google Scholar] [CrossRef]
- Barber, J.; Brutin, D.; Tadrist, L. A Review on Boiling Heat Transfer Enhancement with Nanofluids. Nanoscale Res. Lett. 2011, 6, 280. [Google Scholar] [CrossRef] [PubMed]
- Song, S.L.; Lee, J.H.; Chang, S.H. CHF Enhancement of SiC Nanofluid in Pool Boiling Experiment. Exp. Therm. Fluid Sci. 2014, 52, 12–18. [Google Scholar] [CrossRef]
- Hu, H.; Xu, C.; Zhao, Y.; Shaeffer, R.; Ziegler, K.J.; Chung, J.N. Modification and Enhancement of Cryogenic Quenching Heat Transfer by a Nanoporous Surface. Int. J. Heat Mass Transf. 2015, 80, 636–643. [Google Scholar] [CrossRef]
- Cai, Z.; Wang, B.; Liu, S.; Li, H.; Luo, S.; Dong, Z.; Wang, Y. Enhancing Boiling Heat Transfer on a Superheated Surface by Surfactant-Laden Droplets. Langmuir 2022, 38, 10375–10384. [Google Scholar] [CrossRef]
- Kong, D.; Kang, M.; Kim, K.Y.; Jang, J.; Cho, J.; In, J.B.; Lee, H. Hierarchically Structured Laser-Induced Graphene for Enhanced Boiling on Flexible Substrates. ACS Appl. Mater. Interfaces 2020, 12, 37784–37792. [Google Scholar] [CrossRef]
- Gouda, R.K.; Pathak, M.; Khan, M.K. Pool Boiling Heat Transfer Enhancement with Segmented Finned Microchannels Structured Surface. Int. J. Heat Mass Transf. 2018, 127, 39–50. [Google Scholar] [CrossRef]
- Song, Y.; Gong, S.; Vaartstra, G.; Wang, E.N. Microtube Surfaces for the Simultaneous Enhancement of Efficiency and Critical Heat Flux during Pool Boiling. ACS Appl. Mater. Interfaces 2021, 13, 12629–12635. [Google Scholar] [CrossRef]
- Mudawar, I. Recent Advances in High-Flux, Two-Phase Thermal Managment. J. Therm. Sci. Eng. Appl. 2013, 5, 021012. [Google Scholar] [CrossRef]
- Smakulski, P.; Pietrowicz, S. A Review of the Capabilities of High Heat Flux Removal by Porous Materials, Microchannels and Spray Cooling Techniques. Appl. Therm. Eng. 2016, 104, 636–646. [Google Scholar] [CrossRef]
- Liang, G.; Mudawar, I. Review of Pool Boiling Enhancement with Additives and Nanofluids. Int. J. Heat Mass Transf. 2018, 124, 423–453. [Google Scholar] [CrossRef]
- Taylor, R.A.; Phelan, P.E. Pool Boiling of Nanofluids: Comprehensive Review of Existing Data and Limited New Data. Int. J. Heat Mass Transf. 2009, 52, 5339–5347. [Google Scholar] [CrossRef]
- Kim, H. Enhancement of Critical Heat Flux in Nucleate Boiling of Nanofluids: A State-of-Art Review. Nanoscale Res. Lett. 2011, 6, 415. [Google Scholar] [CrossRef]
- Berce, J.; Zupančič, M.; Može, M.; Golobič, I. Infrared Thermography Observations of Crystallization Fouling in a Plate Heat Exchanger. Appl. Therm. Eng. 2023, 224, 120116. [Google Scholar] [CrossRef]
- Peyghambarzadeh, S.M.; Vatani, A.; Jamialahmadi, M. Influences of Bubble Formation on Different Types of Heat Exchanger Fouling. Appl. Therm. Eng. 2013, 50, 848–856. [Google Scholar] [CrossRef]
- Ciloglu, D.; Bolukbasi, A. A Comprehensive Review on Pool Boiling of Nanofluids. Appl. Therm. Eng. 2015, 84, 45–63. [Google Scholar] [CrossRef]
- Manetti, L.L.; Stephen, M.T.; Beck, P.A.; Cardoso, E.M. Evaluation of the Heat Transfer Enhancement during Pool Boiling Using Low Concentrations of Al2O3-Water Based Nanofluid. Exp. Therm. Fluid Sci. 2017, 87, 191–200. [Google Scholar] [CrossRef]
- Suriyawong, A.; Wongwises, S. Nucleate Pool Boiling Heat Transfer Characteristics of TiO2-Water Nanofluids at Very Low Concentrations. Exp. Therm. Fluid Sci. 2010, 34, 992–999. [Google Scholar] [CrossRef]
- Santos, R.; Moita, A.S.; Ribeiro, A.P.C.; Moreira, A.L.N. The Impact of Alumina Nanofluids on Pool Boiling Performance on Biphilic Surfaces for Cooling Applications. Energies 2022, 15, 372. [Google Scholar] [CrossRef]
- Peng, H.; Ding, G.; Hu, H.; Jiang, W. Effect of Nanoparticle Size on Nucleate Pool Boiling Heat Transfer of Refrigerant/Oil Mixture with Nanoparticles. Int. J. Heat Mass Transf. 2011, 54, 1839–1850. [Google Scholar] [CrossRef]
- Kiyomura, I.S.; Manetti, L.L.; da Cunha, A.P.; Ribatski, G.; Cardoso, E.M. An Analysis of the Effects of Nanoparticles Deposition on Characteristics of the Heating Surface and ON Pool Boiling of Water. Int. J. Heat Mass Transf. 2017, 106, 666–674. [Google Scholar] [CrossRef]
- Kim, H.; Buongiorno, J.; Hu, L.W.; McKrell, T. Nanoparticle Deposition Effects on the Minimum Heat Flux Point and Quench Front Speed during Quenching in Water-Based Alumina Nanofluids. Int. J. Heat Mass Transf. 2010, 53, 1542–1553. [Google Scholar] [CrossRef]
- Huang, C.K.; Lee, C.W.; Wang, C.K. Boiling Enhancement by TiO2 Nanoparticle Deposition. Int. J. Heat Mass Transf. 2011, 54, 4895–4903. [Google Scholar] [CrossRef]
- Fang, X.; Chen, Y.; Zhang, H.; Chen, W.; Dong, A.; Wang, R. Heat Transfer and Critical Heat Flux of Nanofluid Boiling: A Comprehensive Review. Renew. Sustain. Energy Rev. 2016, 62, 924–940. [Google Scholar] [CrossRef]
- Hadžić, A.; Može, M.; Arhar, K.; Zupančič, M.; Golobič, I. Effect of Nanoparticle Size and Concentration on Pool Boiling Heat Transfer with TiO2 Nanofluids on Laser-Textured Copper Surfaces. Nanomaterials 2022, 12, 2611. [Google Scholar] [CrossRef] [PubMed]
- Dadhich, M.; Prajapati, O.S. A Brief Review on Factors Affecting Flow and Pool Boiling. Renew. Sustain. Energy Rev. 2019, 112, 607–625. [Google Scholar] [CrossRef]
- Rishi, A.M.; Gupta, A.; Kandlikar, S.G. Improving Aging Performance of Electrodeposited Copper Coatings during Pool Boiling. Appl. Therm. Eng. 2018, 140, 406–414. [Google Scholar] [CrossRef]
- Patil, C.M.; Santhanam, K.S.V.; Kandlikar, S.G. Development of a Two-Step Electrodeposition Process for Enhancing Pool Boiling. Int. J. Heat Mass Transf. 2014, 79, 989–1001. [Google Scholar] [CrossRef]
- Može, M.; Hadžić, A.; Zupančič, M.; Golobič, I. Boiling Heat Transfer Enhancement on Titanium through Nucleation-Promoting Morphology and Tailored Wettability. Int. J. Heat Mass Transf. 2022, 195, 123161. [Google Scholar] [CrossRef]
- Serdyukov, V.; Starinskiy, S.; Malakhov, I.; Safonov, A.; Surtaev, A. Laser Texturing of Silicon Surface to Enhance Nucleate Pool Boiling Heat Transfer. Appl. Therm. Eng. 2021, 194, 117102. [Google Scholar] [CrossRef]
- Ta, D.V.; Dunn, A.; Wasley, T.J.; Kay, R.W.; Stringer, J.; Smith, P.J.; Connaughton, C.; Shephard, J.D. Nanosecond Laser Textured Superhydrophobic Metallic Surfaces and Their Chemical Sensing Applications. Appl. Surf. Sci. 2015, 357, 248–254. [Google Scholar] [CrossRef]
- Liang, G.; Mudawar, I. Review of Pool Boiling Enhancement by Surface Modification. Int. J. Heat Mass Transf. 2019, 128, 892–933. [Google Scholar] [CrossRef]
- Ranjan, A.; Ahmad, I.; Gouda, R.K.; Pathak, M.; Khan, M.K. Enhancement of Critical Heat Flux (CHF) in Pool Boiling with Anodized Copper Surfaces. Int. J. Therm. Sci. 2022, 172, 107338. [Google Scholar] [CrossRef]
- Ranjan, A.; Priy, A.; Ahmad, I.; Pathak, M.; Khan, M.K. Pool Boiling Heat Transfer Characteristics of a Stepped Microchannel Structured Heating Surface. Int. J. Multiph. Flow 2023, 160, 104351. [Google Scholar] [CrossRef]
- Sujith Kumar, C.S.; Udaya Kumar, G.; Mata Arenales, M.R.; Hsu, C.C.; Suresh, S.; Chen, P.H. Elucidating the Mechanisms behind the Boiling Heat Transfer Enhancement Using Nano-Structured Surface Coatings. Appl. Therm. Eng. 2018, 137, 868–891. [Google Scholar] [CrossRef]
- Može, M.; Senegačnik, M.; Gregorčič, P.; Hočevar, M.; Zupančič, M.; Golobič, I. Laser-Engineered Microcavity Surfaces with a Nanoscale Superhydrophobic Coating for Extreme Boiling Performance. ACS Appl. Mater. Interfaces 2020, 12, 24419–24431. [Google Scholar] [CrossRef] [PubMed]
- Allred, T.P.; Weibel, J.A.; Garimella, S.V. Enabling Highly Effective Boiling from Superhydrophobic Surfaces. Phys. Rev. Lett. 2018, 120, 174501. [Google Scholar] [CrossRef]
- Motezakker, A.R.; Sadaghiani, A.K.; Çelik, S.; Larsen, T.; Villanueva, L.G.; Koşar, A. Optimum Ratio of Hydrophobic to Hydrophilic Areas of Biphilic Surfaces in Thermal Fluid Systems Involving Boiling. Int. J. Heat Mass Transf. 2019, 135, 164–174. [Google Scholar] [CrossRef]
- Hadžić, A.; Može, M.; Zupančič, M.; Golobič, I. Superbiphilic Laser-Microengineered Surfaces with A Self-Assembled Monolayer Coating for Exceptional Boiling Performance. Adv. Funct. Mater. 2023, 2310662, 1–14. [Google Scholar] [CrossRef]
- Serdyukov, V.; Patrin, G.; Malakhov, I.; Surtaev, A. Biphilic Surface to Improve and Stabilize Pool Boiling in Vacuum. Appl. Therm. Eng. 2022, 209, 118298. [Google Scholar] [CrossRef]
- Teodori, E.; Palma, T.; Valente, T.; Moita, A.S.; Moreira, A.L.N. Bubble Dynamics and Heat Transfer for Pool Boiling on Hydrophilic, Superhydrophobic and Biphilic Surfaces. J. Phys. Conf. Ser. 2016, 745, 032132. [Google Scholar] [CrossRef]
- Coursey, J.S.; Kim, J. Nanofluid Boiling: The Effect of Surface Wettability. Int. J. Heat Fluid Flow 2008, 29, 1577–1585. [Google Scholar] [CrossRef]
- Freitas, E.; Pontes, P.; Cautela, R.; Bahadur, V.; Miranda, J.; Ribeiro, A.P.C.; Souza, R.R.; Oliveira, J.D.; Copetti, J.B.; Lima, R.; et al. Article Pool Boiling of Nanofluids on Biphilic Surfaces: An Experimental and Numerical Study. Nanomaterials 2021, 11, 125. [Google Scholar] [CrossRef] [PubMed]
- Ji, W.-T.; Zhao, P.-F.; Zhao, C.-Y.; Ding, J.; Tao, W.-Q. Pool Boiling Heat Transfer of Water and Nanofluid Outside the Surface with Higher Roughness and Different Wettability. Nanoscale Microscale Thermophys. Eng. 2018, 22, 296–323. [Google Scholar] [CrossRef]
- Može, M.; Vajc, V.; Zupančič, M.; Golobič, I. Hydrophilic and Hydrophobic Nanostructured Copper Surfaces for Efficient Pool Boiling Heat Transfer with Water, Water/Butanol Mixtures and Novec 649. Nanomaterials 2021, 11, 3216. [Google Scholar] [CrossRef] [PubMed]
- Može, M.; Zupančič, M.; Golobič, I. Investigation of the Scatter in Reported Pool Boiling CHF Measurements Including Analysis of Heat Flux and Measurement Uncertainty Evaluation Methodology. Appl. Therm. Eng. 2020, 169, 114938. [Google Scholar] [CrossRef]
- Mahamudur Rahman, M.; Pollack, J.; Mccarthy, M. Increasing Boiling Heat Transfer Using Low Conductivity Materials. Sci. Rep. 2015, 5, 12–14. [Google Scholar] [CrossRef]
- Kruse, C.M.; Anderson, T.; Wilson, C.; Zuhlke, C.; Alexander, D.; Gogos, G.; Ndao, S. Enhanced Pool-Boiling Heat Transfer and Critical Heat Flux on Femtosecond Laser Processed Stainless Steel Surfaces. Int. J. Heat Mass Transf. 2015, 82, 109–116. [Google Scholar] [CrossRef]
- Može, M.; Zupančič, M.; Hočevar, M.; Golobič, I.; Gregorčič, P. Surface Chemistry and Morphology Transition Induced by Critical Heat Flux Incipience on Laser-Textured Copper Surfaces. Appl. Surf. Sci. 2019, 490, 220–230. [Google Scholar] [CrossRef]
- Truong, B.H. Determination of Pool Boiling Critical Heat Flux Enhancement in Nanofluids. In Proceedings of the ASME International Mechanical Engineering Congress and Exposition, Seattle, WA, USA, 11–15 November 2007; pp. 289–299. [Google Scholar]
- Park, S.D.; Moon, S.B.; Bang, I.C. Effects of Thickness of Boiling-Induced Nanoparticle Deposition on the Saturation of Critical Heat Flux Enhancement. Int. J. Heat Mass Transf. 2014, 78, 506–514. [Google Scholar] [CrossRef]
- Khan, A.; Ali, H.M. A Comprehensive Review Pool Boiling Using Nanofluids. Therm. Sci. 2019, 23, 3209–3237. [Google Scholar] [CrossRef]
- Mori, S.; Mt Aznam, S.; Okuyama, K. Enhancement of the Critical Heat Flux in Saturated Pool Boiling of Water by Nanoparticle-Coating and a Honeycomb Porous Plate. Int. J. Heat Mass Transf. 2015, 80, 1–6. [Google Scholar] [CrossRef]
- Li, J.; Fu, W.; Zhang, B.; Zhu, G.; Miljkovic, N. Ultrascalable Three-Tier Hierarchical Nanoengineered Surfaces for Optimized Boiling. ACS Nano 2019, 13, 14080–14093. [Google Scholar] [CrossRef] [PubMed]
- Betz, A.R.; Jenkins, J.; Kim, C.J.; Attinger, D. Boiling Heat Transfer on Superhydrophilic, Superhydrophobic, and Superbiphilic Surfaces. Int. J. Heat Mass Transf. 2013, 57, 733–741. [Google Scholar] [CrossRef]
- Pontes, P.; Cautela, R.; Teodori, E.; Moita, A.S.; Moreira, A.L.N. Experimental Description of Bubble Dynamics and Heat Transfer Processes Occurring on the Pool Boiling of Water on Biphilic Surfaces. Appl. Therm. Eng. 2020, 178, 115507. [Google Scholar] [CrossRef]
- Cole, R. Boiling Nucleation. Adv. Heat Transf. 1974, 10, 85–166. [Google Scholar]













| Sample Name | Working Fluid | Concentration (wt.%) | Static Contact Angle (°) | |
|---|---|---|---|---|
| Before Boiling | After Boiling | |||
| REF | Water | / | 61 | 93 |
| SHPI | Water | / | 0 | 110 |
| SHPO | Water | / | 164 | 148 |
| SHPI-0.001% | TiO2–water | 0.001 | 0 | 17 |
| SHPI-0.1% | TiO2–water | 0.1 | 0 | 0 |
| SHPO-0.001% | TiO2–water | 0.001 | 164 | 79 |
| SHPO-0.1% | TiO2–water | 0.1 | 164 | 20 |
| Heat Flux Level (kW m−2) | Heat Flux (%) | Heat Transfer Coefficient (%) | Surface Superheat (K) |
|---|---|---|---|
| 250 | 9–11 | 10–13 | 0.4 |
| 1000 | 5 | 12–16 | 0.8 |
Disclaimer/Publisher’s Note: The statements, opinions and data contained in all publications are solely those of the individual author(s) and contributor(s) and not of MDPI and/or the editor(s). MDPI and/or the editor(s) disclaim responsibility for any injury to people or property resulting from any ideas, methods, instructions or products referred to in the content. |
© 2024 by the authors. Licensee MDPI, Basel, Switzerland. This article is an open access article distributed under the terms and conditions of the Creative Commons Attribution (CC BY) license (https://creativecommons.org/licenses/by/4.0/).
Share and Cite
Berce, J.; Hadžić, A.; Može, M.; Arhar, K.; Gjerkeš, H.; Zupančič, M.; Golobič, I. Effect of Surface Wettability on Nanoparticle Deposition during Pool Boiling on Laser-Textured Copper Surfaces. Nanomaterials 2024, 14, 311. https://doi.org/10.3390/nano14030311
Berce J, Hadžić A, Može M, Arhar K, Gjerkeš H, Zupančič M, Golobič I. Effect of Surface Wettability on Nanoparticle Deposition during Pool Boiling on Laser-Textured Copper Surfaces. Nanomaterials. 2024; 14(3):311. https://doi.org/10.3390/nano14030311
Chicago/Turabian StyleBerce, Jure, Armin Hadžić, Matic Može, Klara Arhar, Henrik Gjerkeš, Matevž Zupančič, and Iztok Golobič. 2024. "Effect of Surface Wettability on Nanoparticle Deposition during Pool Boiling on Laser-Textured Copper Surfaces" Nanomaterials 14, no. 3: 311. https://doi.org/10.3390/nano14030311
APA StyleBerce, J., Hadžić, A., Može, M., Arhar, K., Gjerkeš, H., Zupančič, M., & Golobič, I. (2024). Effect of Surface Wettability on Nanoparticle Deposition during Pool Boiling on Laser-Textured Copper Surfaces. Nanomaterials, 14(3), 311. https://doi.org/10.3390/nano14030311

