Preparation of Ce-MnOx Composite Oxides via Coprecipitation and Their Catalytic Performance for CO Oxidation
Abstract
1. Introduction
2. Experimental Method
2.1. Experimental Reagent
2.2. Preparation of CO Oxidation Catalyst
2.3. Catalyst Activity Test
2.4. Characterization of Catalysts
3. Results and Discussion
3.1. Catalyst Performance Evaluation
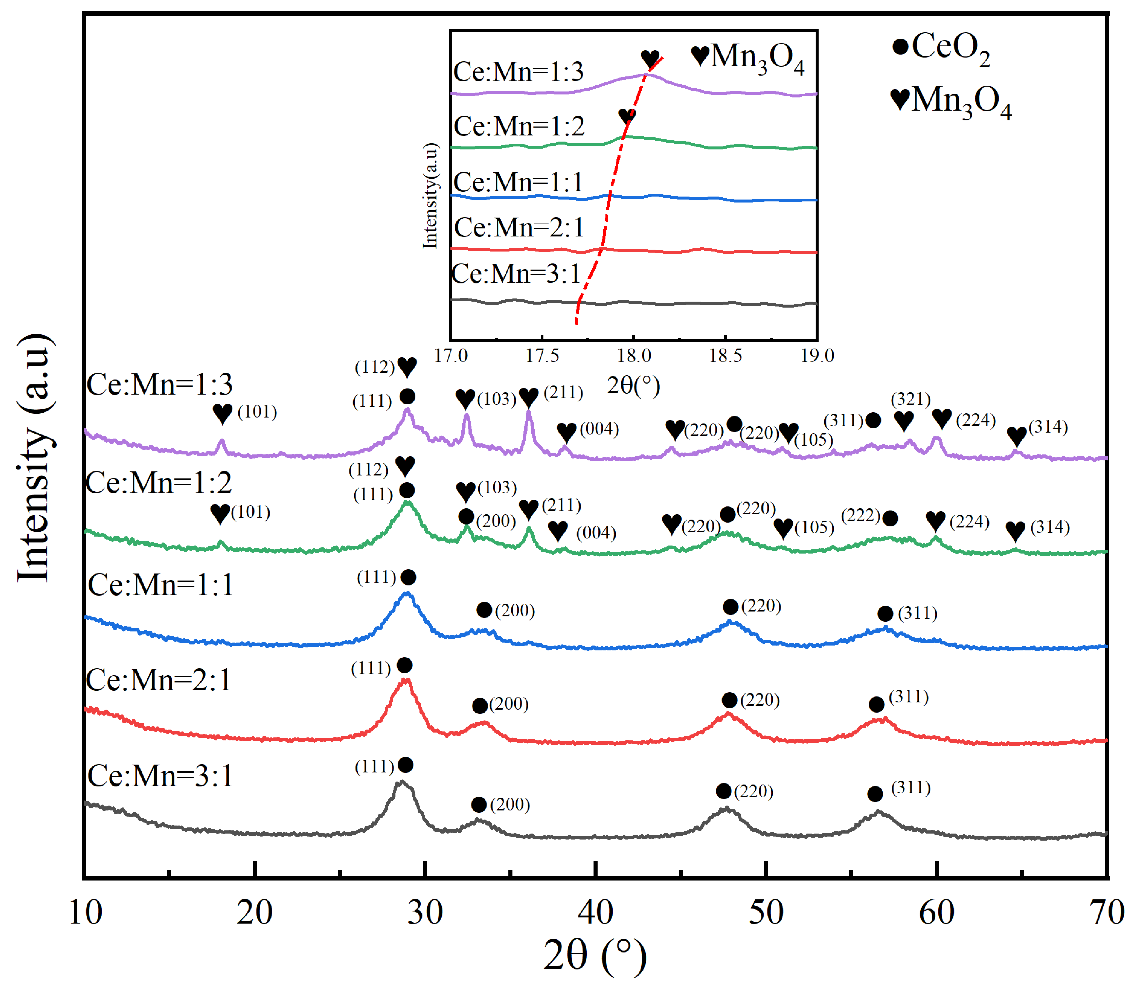
3.2. XRD and EDS Characterization Results for Catalysts
3.3. TEM Characterization of Catalyst
3.4. Analysis of the Microscopic Surface Structure of Catalyst
3.5. Characterization of Catalyst H2 Temperature Programmed Reduction (H2-TPR)
3.6. Characterization of Catalyst with CO-Temperature Programmed Desorption (CO-TPD)
3.7. In Situ Infrared Diffuse Reflection Characterization of Catalysts
4. Conclusions
- (1)
- The catalytic efficiency of pure-phase MnOx catalyst is 95.4% at 170 °C. While the performance of the Ce-doped catalyst is greatly improved, the Ce-MnOx catalyst can achieve more than 96% CO conversion rate at 140 °C. As the amount of Ce element diminishes, the catalyst performance initially rises and then falls. The best catalyst performance is achieved when the ratio of Ce to Mn is 1:1, where the CO-removal rate can reach 91.98% at 100°C and 99.96% at 140 °C.
- (2)
- The Ce-MnOx catalyst phase contains only CeO2 for Ce:Mn ≥ 1, and MnOx exists in an amorphous form; when Ce:Mn < 1, the Mn element mainly exists in the form of Mn3O4, and the secondary phase is CeO2. For Ce:Mn = 1:1, the Ce-MnOx catalyst has numerous amorphous MnOx. When Ce:Mn = 1:1, the Ce-MnOx catalyst has a large amount of amorphous MnOx and possesses excellent characteristics, such as low crystallinity and uniform element and pore distribution. Due to its distinguished reduction performance, CO adsorption, and desorption performance, the composite catalyst exhibits a good CO-conversion rate at lower temperatures.
- (3)
- The Ce-MnOx catalyst follows the L-H mechanism for CO catalysis. The adsorbed [CO] reacts with the adsorbed [O] to generate an active center on the surface of the catalyst and then generates the active intermediate carbonate, which is decomposed to generate CO2 subsequently.
Author Contributions
Funding
Data Availability Statement
Conflicts of Interest
References
- Zheng, B.; Chevallier, F.; Ciais, P.; Yin, Y.; Deeter, M.N.; Worden, H.M.; Wang, Y.; Zhang, Q.; He, K. Rapid decline in carbon monoxide emissions and export from East Asia between years 2005 and 2016. Environ. Res. Lett. 2018, 13, 044007. [Google Scholar] [CrossRef]
- Aslam, A.; Ibrahim, M.; Mahmood, A.; Mubashir, M.; Sipra, H.F.K.; Shahid, I.; Ramzan, S.; Latif, M.T.; Tahir, M.Y.; Show, P.L. Mitigation of particulate matters and integrated approach for carbon monoxide remediation in an urban environment. J. Environ. Chem. Eng. 2021, 9, 105546. [Google Scholar] [CrossRef]
- Royer, S.; Duprez, D. Catalytic Oxidation of Carbon Monoxide over Transition Metal Oxides. Chemcatchem 2011, 3, 24–65. [Google Scholar] [CrossRef]
- Therrien, A.J.; Hensley, A.J.R.; Marcinkowski, M.D.; Zhang, R.; Lucci, F.R.; Coughlin, B.; Schilling, A.C.; McEwen, J.-S.; Sykes, E.C.H. An atomic-scale view of single-site Pt catalysis for low-temperature CO oxidation. Nat. Catal. 2018, 1, 192–198. [Google Scholar] [CrossRef]
- Xu, G.; Wang, R.; Yang, F.; Ma, D.; Yang, Z.; Lu, Z. CO oxidation on single Pd atom embedded defect-graphene via a new termolecular Eley-Rideal mechanism. Carbon 2017, 118, 35–42. [Google Scholar] [CrossRef]
- Zhou, X.; Shen, Q.; Yuan, K.; Yang, W.; Chen, Q.; Geng, Z.; Zhang, J.; Shao, X.; Chen, W.; Xu, G.; et al. Unraveling Charge State of Supported Au Single-Atoms during CO Oxidation. J. Am. Chem. Soc. 2018, 140, 554–557. [Google Scholar] [CrossRef] [PubMed]
- Sd, A.; Nsm, B. Selection of Manganese oxide catalysts for catalytic oxidation of Carbon monoxide at ambient conditions. Resour. Environ. Sustain. 2020, 1, 100003. [Google Scholar] [CrossRef]
- Dey, S.; Dhal, G.C.; Prasad, R.; Mohan, D. Effect of nitrate metal (Ce, Cu, Mn and Co) precursors for the total oxidation of carbon monoxide. Resour.-Effic. Technol. 2017, 3, 293–302. [Google Scholar] [CrossRef]
- Lykaki, M.; Pachatouridou, E.; Carabineiro, S.A.C.; Iliopoulou, E.; Andriopoulou, C.; Kallithrakas-Kontos, N.; Boghosian, S.; Konsolakis, M. Ceria nanoparticles shape effects on the structural defects and surface chemistry: Implications in CO oxidation by Cu/CeO2 catalysts. Appl. Catal. B Environ. 2018, 230, 18–28. [Google Scholar] [CrossRef]
- Sun, L.; Cao, Q.; Hu, B.; Li, J.; Hao, J.; Jing, G.; Tang, X. Synthesis, characterization and catalytic activities of vanadium–cryptomelane manganese oxides in low-temperature NO reduction with NH3. Appl. Catal. A Gen. 2011, 393, 323–330. [Google Scholar] [CrossRef]
- Yang, S.; Wang, C.; Li, J.; Yan, N.; Ma, L.; Chang, H. Low temperature selective catalytic reduction of NO with NH3 over Mn–Fe spinel: Performance, mechanism and kinetic study. Appl. Catal. B Environ. 2011, 110, 71–80. [Google Scholar] [CrossRef]
- Kim, Y.J.; Kwon, H.J.; Heo, I.; Nam, I.S.; Cho, B.K.; Jin, W.C.; Cha, M.S.; Yeo, G.K. Mn–Fe/ZSM5 as a low-temperature SCR catalyst to remove NOx from diesel engine exhaust. Appl. Catal. B Environ. 2012, 126, 9–21. [Google Scholar] [CrossRef]
- Mobini, S.; Meshkani, F.; Rezaei, M. Supported Mn catalysts and the role of different supports in the catalytic oxidation of carbon monoxide. Chem. Eng. Sci. 2019, 197, 37–51. [Google Scholar] [CrossRef]
- Ghiasi, M.; Malekzadeh, A. Structural Features of (Ce, La or Sr)(Mn or Co)O3 Nano-Perovskites as a Catalyst for Carbon Monoxide Oxidation. Acta Metall. Sin. (Engl. Lett.) 2014, 27, 635–641. [Google Scholar] [CrossRef]
- Nhiem, D.N.; Dai, L.M.; Van, N.D.; Lim, D.T. Catalytic oxidation of carbon monoxide over nanostructured CeO2–Al2O3 prepared by combustion method using polyvinyl alcohol. Ceram. Int. 2013, 39, 3381–3385. [Google Scholar] [CrossRef]
- Venkataswamy, P.; Jampaiah, D.; Mukherjee, D.; Aniz, C.U.; Reddy, B.M. Mn-doped Ceria Solid Solutions for CO Oxidation at Lower Temperatures. Catal. Lett. 2016, 146, 2105–2118. [Google Scholar] [CrossRef]
- Ye, Z.; Liu, Y.; Nikiforov, A.; Ji, J.; Zhao, B.; Wang, J. The research on CO oxidation over Ce-Mn oxides: The preparation method effects and oxidation mechanism. Chemosphere 2023, 336, 139130. [Google Scholar] [CrossRef] [PubMed]
- Zhang, X.Y.; Wei, J.J.; Yang, H.X.; Liu, X.F.; Liu, W.; Zhang, C.; Yang, Y.Z. One-Pot Synthesis of Mn-Doped CeO2 Nanospheres for CO Oxidation. Eur. J. Inorg. Chem. 2013, 2013, 4443–4449. [Google Scholar] [CrossRef]
- Chen, J.; Fu, P.; Lv, D.; Chen, Y.; Fan, M.; Wu, J.; Meshram, A.; Mu, B.; Li, X.; Xia, Q. Unusual positive effect of SO2 on Mn-Ce mixed-oxide catalyst for the SCR reaction of NOx with NH3. Chem. Eng. J. 2021, 407, 127071. [Google Scholar] [CrossRef]
- Jiang, L.; Liu, Q.; Ran, G.; Kong, M.; Ren, S.; Yang, J.; Li, J. V2O5-modified Mn-Ce/AC catalyst with high SO2 tolerance for low-temperature NH3-SCR of NO. Chem. Eng. J. 2019, 370, 810–821. [Google Scholar] [CrossRef]
- Thirupathi, B.; Smirniotis, P.G. Co-doping a metal (Cr, Fe, Co, Ni, Cu, Zn, Ce, and Zr) on Mn/TiO2 catalyst and its effect on the selective reduction of NO with NH3 at low-temperatures. Appl. Catal. B Environ. 2011, 110, 195–206. [Google Scholar] [CrossRef]
- Sang, M.L.; Park, K.H.; Hong, S.C. MnOx/CeO2–TiO2 mixed oxide catalysts for the selective catalytic reduction of NO with NH3 at low temperature. Chem. Eng. J. 2012, 195–196, 323–331. [Google Scholar] [CrossRef]
- Li, Q.; Li, X.; Li, W.; Zhong, L.; Zhang, C.; Fang, Q.; Chen, G. Effect of preferential exposure of anatase TiO2 {0 0 1} facets on the performance of Mn-Ce/TiO2 catalysts for low-temperature selective catalytic reduction of NOx with NH3. Chem. Eng. J. 2019, 369, 26–34. [Google Scholar] [CrossRef]
- Li, W.; Zhang, C.; Li, X.; Tan, P.; Zhou, A.L.; Fang, Q.Y.; Chen, G. Ho-modified Mn-Ce/TiO2 for low-temperature SCR of NOx with NH3: Evaluation and characterization. Chin. J. Catal. 2018, 39, 1653–1663. [Google Scholar] [CrossRef]
- Ma, X.Y.; Tian, G.L.; Cui, S.P.; Wang, Y.L. Different Precipitant Preparation of Nickel-Doped Mn/TiO2 Catalysts for Low-Temperature SCR of NO with NH3. In Materials Science Forum; Trans Tech Publications Ltd.: Bäch, Switzerland, 2018; pp. 976–984. [Google Scholar]
- Twigg, M.V.; Spencer, M.S. Deactivation of copper metal catalysts for methanol decomposition, methanol steam reforming and methanol synthesis. Top. Catal. 2003, 22, 191–203. [Google Scholar] [CrossRef]
- Minakshi, M.; Mitchell, D.R.G.; Carter, M.L.; Appadoo, D.; Nallathamby, K. Microstructural and spectroscopic investigations into the effect of CeO2 additions on the performance of a MnO2 aqueous rechargeable battery. Electrochim. Acta 2009, 54, 3244–3249. [Google Scholar] [CrossRef]
- Wu, X.; Liu, S.; Weng, D.; Lin, F.; Ran, R. MnOx-CeO2-Al2O3 mixed oxides for soot oxidation: Activity and thermal stability. J. Hazard. Mater. 2011, 187, 283–290. [Google Scholar] [CrossRef]
- Zhu, Y.; Wang, Q.; Lan, L.; Chen, S.H.; Zhang, J.J. Effect of surface manganese oxide species on soot catalytic combustion of Ce-Mn-O catalyst. J. Rare Earth 2022, 40, 1238–1246. [Google Scholar] [CrossRef]
- Li, H.F.; Lu, G.Z.; Dai, Q.G.; Wang, Y.Q.; Guo, Y.; Guo, Y.L. Efficient low-temperature catalytic combustion of trichloroethylene over flower-like mesoporous Mn-doped CeO2 microspheres. Appl. Catal. B Environ. 2011, 102, 475–483. [Google Scholar] [CrossRef]
- Li, J.; Lu, G.Z.; Wu, G.S.; Mao, D.S.; Guo, Y.L.; Wanga, Y.Q.; Yun, G.A. Effect of TiO2 crystal structure on the catalytic performance of Co3O4/TiO2 catalyst for low-temperature CO oxidation. Catal. Sci. Technol. 2014, 4, 1268–1275. [Google Scholar] [CrossRef]
- Wang, H.; Mao, D.; Qi, J.; Zhang, Q.H.; Ma, X.H.; Song, S.Y.; Gu, L.; Yu, R.B.; Wang, D. Hollow Multishelled Structure of Heterogeneous Co3O4-CeO2-x Nanocomposite for CO Catalytic Oxidation. Adv. Funct. Mater. 2019, 29, 1806588. [Google Scholar] [CrossRef]
- Binet, C.; Badri, A.; Lavalley, J.-C. A Spectroscopic Characterization of the Reduction of Ceria from Electronic Transitions of Intrinsic Point Defects. J. Phys. Chem. 2002, 98, 6392–6398. [Google Scholar] [CrossRef]
- Binet, C.; Daturi, M.; Lavalley, J.-C. IR study of polycrystalline ceria properties in oxidised and reduced states. Catal. Today 1999, 50, 207–225. [Google Scholar] [CrossRef]
- Dong, N.; Ye, Q.; Chen, M.; Cheng, S.; Dai, H. Sodium-treated sepiolite-supported transition metal (Cu, Fe, Ni, Mn, or Co) catalysts for HCHO oxidation. Chin. J. Catal. 2020, 41, 1734–1744. [Google Scholar] [CrossRef]
- Wang, S.R.; Wang, Y.J.; Jiang, J.Q.; Liu, R.; Li, M.Y.; Wang, Y.M.; Su, Y.; Zhu, B.L.; Zhang, S.M.; Huang, W.P.; et al. A DRIFTS study of low-temperature CO oxidation over Au/SnO2 catalyst prepared by co-precipitation method. Catal. Commun. 2009, 10, 640–644. [Google Scholar] [CrossRef]
- Gong, L.; Liu, C.; Liu, Q.; Dai, R.; Nie, X.; Lu, L.; Liu, G.; Hu, X. CuO/CeO2–MnO2 Catalyst Prepared by Redox Method for Preferential Oxidation of CO in H2-Rich Gases. Catal. Surv. Asia 2019, 23, 1–9. [Google Scholar] [CrossRef]
- Zhang, Y.; Zhao, L.; Duan, J.; Bi, S. Insights into deNOx processing over Ce-modified Cu-BTC catalysts for the CO-SCR reaction at low temperature by in situ DRIFTS. Sep. Purif. Technol. 2020, 234, 116081. [Google Scholar] [CrossRef]
- Arena, F.; Di Chio, R.; Fazio, B.; Espro, C.; Spiccia, L.; Palella, A.; Spadaro, L. Probing the functionality of nanostructured MnCeOx catalysts in the carbon monoxide oxidation. Appl. Catal. B Environ. 2017, 210, 14–22. [Google Scholar] [CrossRef]
- Arena, F.; di Chio, R.; Espro, C.; Palella, A.; Spadaro, L. A definitive assessment of the CO oxidation pattern of a nanocomposite MnCeOx catalyst. React. Chem. Eng. 2018, 3, 293–300. [Google Scholar] [CrossRef]








| Ce:Mn | The Average Grain Size/nm | |
|---|---|---|
| CeO2 | Mn3O4 | |
| 3:1 | 6.5 | 0 |
| 2:1 | 4.7 | 0 |
| 1:1 | 4.3 | 0 |
| 1:2 | 5.0 | 17.1 |
| 1:3 | 6.3 | 20.5 |
Disclaimer/Publisher’s Note: The statements, opinions and data contained in all publications are solely those of the individual author(s) and contributor(s) and not of MDPI and/or the editor(s). MDPI and/or the editor(s) disclaim responsibility for any injury to people or property resulting from any ideas, methods, instructions or products referred to in the content. |
© 2023 by the authors. Licensee MDPI, Basel, Switzerland. This article is an open access article distributed under the terms and conditions of the Creative Commons Attribution (CC BY) license (https://creativecommons.org/licenses/by/4.0/).
Share and Cite
Yang, J.; Li, J.; Kang, J.; Liu, W.; Kuang, Y.; Tan, H.; Yu, Z.; Yang, L.; Yang, X.; Yu, K.; et al. Preparation of Ce-MnOx Composite Oxides via Coprecipitation and Their Catalytic Performance for CO Oxidation. Nanomaterials 2023, 13, 2158. https://doi.org/10.3390/nano13152158
Yang J, Li J, Kang J, Liu W, Kuang Y, Tan H, Yu Z, Yang L, Yang X, Yu K, et al. Preparation of Ce-MnOx Composite Oxides via Coprecipitation and Their Catalytic Performance for CO Oxidation. Nanomaterials. 2023; 13(15):2158. https://doi.org/10.3390/nano13152158
Chicago/Turabian StyleYang, Junsheng, Jie Li, Jiangang Kang, Wenkang Liu, Yijian Kuang, Hua Tan, Zhensen Yu, Liu Yang, Xuejin Yang, Kui Yu, and et al. 2023. "Preparation of Ce-MnOx Composite Oxides via Coprecipitation and Their Catalytic Performance for CO Oxidation" Nanomaterials 13, no. 15: 2158. https://doi.org/10.3390/nano13152158
APA StyleYang, J., Li, J., Kang, J., Liu, W., Kuang, Y., Tan, H., Yu, Z., Yang, L., Yang, X., Yu, K., & Fan, Y. (2023). Preparation of Ce-MnOx Composite Oxides via Coprecipitation and Their Catalytic Performance for CO Oxidation. Nanomaterials, 13(15), 2158. https://doi.org/10.3390/nano13152158
