Dynamic Modulation of THz Absorption Frequency, Bandwidth, and Amplitude via Strontium Titanate and Graphene
Abstract
1. Introduction
2. Structure Design and Method
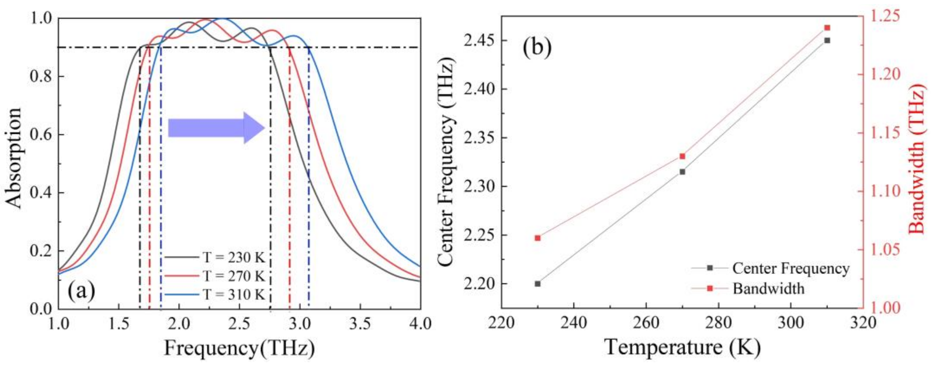
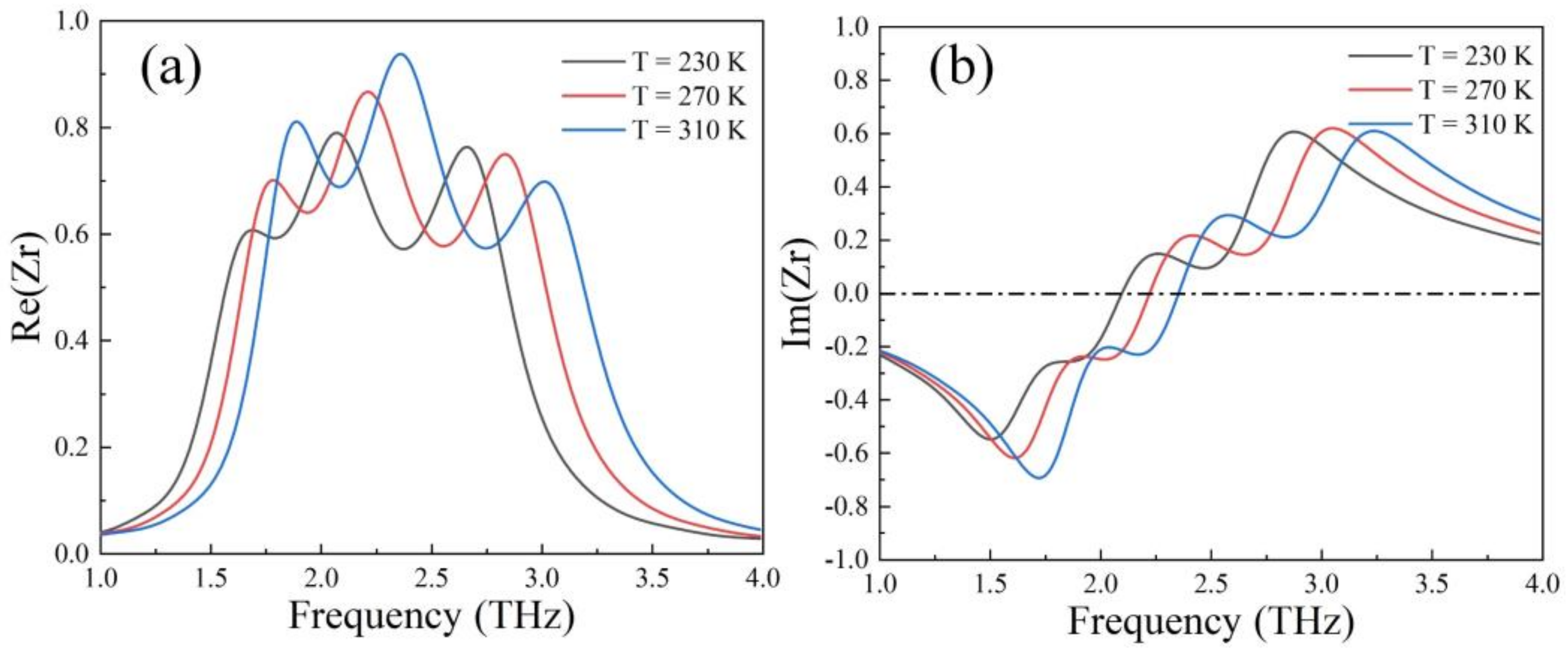
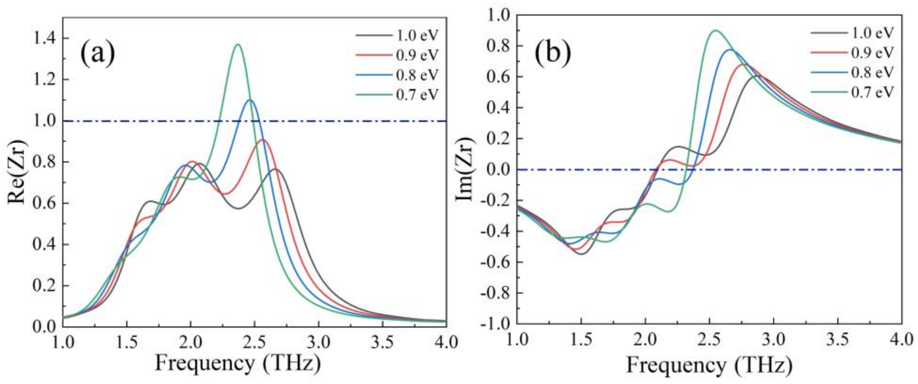
3. Results and Discussion
| References | Absorber Bandwidth Regulation | Modulation Depth | Center Frequency Regulation | Tunable Materials |
|---|---|---|---|---|
| [28] | Unrealized | 65% | 0.3–0.43 | STO and Graphene |
| [31] | 0.225–0.34 THz | 30% | 2.665–3.69 THz (Adjusting STO) and 3.265–4.82 THz (Adjusting BDS) | STO and BDS |
| [33] | 0.12–0.38 THz | Unrealized | Broadband: 0.8 to 0.97 THz; Narrowband: 0.56 to 0.84 THz | STO and Graphene |
| [45] | Broadband (1.3 THz)—narrowband | ~54.5% (broadband) and 90% (narrowband) | Unrealized | Graphene and VO2 |
| This work | 0.64–1.24 THz | 69–79% | 2.2–2.45 THz | STO and Graphene |
4. Conclusions
Author Contributions
Funding
Institutional Review Board Statement
Informed Consent Statement
Data Availability Statement
Conflicts of Interest
References
- Chen, H.-T.; Padilla, W.; Zide, J.; Gossard, A.C.; Taylor, A.J.; Averitt, R.D. Active terahertz metamaterial devices. Nature 2006, 444, 597–600. [Google Scholar] [CrossRef] [PubMed]
- Chen, H.; O’Hara, J.F.; Azad, A.K.; Taylor, A.J.; Averitt, R.D. Experimental demonstration of frequency-agile terahertz metamaterials. Nat. Photonics 2008, 2, 295–298. [Google Scholar] [CrossRef]
- Landy, N.I.; Bingham, C.M.; Tyler, T.; Jokerst, N.; Smith, D.R.; Padilla, W.J. Design, theory, and measurement of a polarization-insensitive absorber for terahertz imaging. Phys. Rev. B 2009, 79, 98–103. [Google Scholar] [CrossRef]
- Alves, F.; Grbovic, D.; Kearney, B.; Karunasiri, G. Microelectromechanical systems bimaterial terahertz sensor with integrated metamaterial absorber. Opt. Lett. 2012, 37, 1886–1888. [Google Scholar] [CrossRef] [PubMed]
- Aydin, K.; Ferry, V.E.; Briggs, R.M.; Atwater, H.A. Broadband polarization-independent resonant light absorption using ultrathin plasmonic super absorbers. Nat. Commun. 2011, 2, 517. [Google Scholar]
- Zhang, R.; Zhao, Q.; Wang, X.; Li, J.; Tam, W.Y. Circular Phase-Dichroism of Chiral Metasurface Using Birefringent Interference. Nano Lett. 2020, 20, 2681–2687. [Google Scholar] [CrossRef]
- Liu, S.; Chen, H.; Cui, T.J. A broadband terahertz absorber using multi-layer stacked bars. Appl. Phys. Lett. 2015, 106, 151601. [Google Scholar] [CrossRef]
- Arezoomand, A.S.; Zarrabi, F.B.; Heydari, S.; Gandji, N.P. Independent polarization and multi-band THz absorber base on Jerusalem cross. Opt. Commun. 2015, 352, 121–126. [Google Scholar]
- Xu, Z.C.; Gao, R.M.; Ding, C.F.; Zhang, Y.T.; Yao, J.Q. Multiband metamaterial absorber at terahertz frequencies. Chin. Phys. Lett. 2014, 31, 054205. [Google Scholar]
- Huang, L.; Chowdhury, D.R.; Ramani, S.; Reiten, M.T.; Luo, S.N.; Taylor, A.J.; Chen, H.T. Experimental demonstration of terahertz metamaterial absorbers with a broad and flat high absorption band. Opt. Lett. 2012, 37, 154–156. [Google Scholar] [CrossRef]
- Zhang, Y.; Cen, C.; Liang, C.; Yi, Z.; Chen, X.; Tang, Y.; Tang, Y.; Yi, T.; Luo, W.; Xiao, S. Five-band terahertz perfect absorber based on metal layer–coupled dielectric metamaterial. Plasmonics 2019, 14, 1621–1628. [Google Scholar] [CrossRef]
- Ju, Z.-D.; Xu, G.-Q.; Wei, Z.-H.; Li, J.; Zhao, Q.; Huang, J. An ultra-broadband terahertz metamaterial absorber based on split rings array and island-shape structures. Mod. Phys. Lett. B 2018, 32, 1850189. [Google Scholar] [CrossRef]
- Gric, T.; Nickelson, L.; Asmontas, S. Electrodynamical characteristic particularity of open metamaterial square and circular waveguides. Prog. Electromagn. Res. 2010, 109, 361–379. [Google Scholar] [CrossRef][Green Version]
- Zhang, Y.; Feng, Y.; Zhu, B.; Zhao, J.; Jiang, T. Graphene based tunable metamaterial absorber and polarization modulation in terahertz frequency. Opt. Express 2014, 22, 22743. [Google Scholar] [CrossRef]
- Islam, M.S.; Sultana, J.; Biabanifard, M.; Vafapour, Z.; Abbott, D. Tunable Localized Surface Plasmon Graphene Metasurface for Multiband Superabsorption and Terahertz Sensing. Carbon 2020, 158, 559–567. [Google Scholar] [CrossRef]
- Lin, R.; He, X.; Jiang, Z.; Liu, C.; Kong, Y. Dual-layer graphene based tunable broadband terahertz absorber relying on the coexistence of the hybridization and stacking effects. J. Phys. D Appl. Phys. 2020, 54, 145108. [Google Scholar] [CrossRef]
- Liu, L.; Liu, W.; Song, Z. Ultra-broadband terahertz absorber based on a multilayer graphene metamaterial. J. Appl. Phys. 2020, 128, 093104. [Google Scholar] [CrossRef]
- Zhang, H.; Ling, F.; Wang, H.; Zhang, Y.; Zhang, B. A water hybrid graphene metamaterial absorber with broadband absorption. Opt. Commun. 2020, 463, 125394. [Google Scholar] [CrossRef]
- Yuan, C.; Yang, R.; Wang, J.; Tian, J. Tunable enhanced bandwidth all-graphene-dielectric terahertz metamaterial absorber/reflector. Optik 2020, 224, 165517. [Google Scholar] [CrossRef]
- He, Y.N.; Zhang, B.; He, T.; Chen, T.J.; Wang, G.C.; Hou, Y.B.; Xiong, W.; Shen, J.J. Optically-controlled metamaterial absorber based on hybrid structure. Opt. Commun. 2015, 356, 595–598. [Google Scholar] [CrossRef]
- Zhang, J.; Wang, G.; Zhang, B.; He, T.; He, Y.; Shen, J. Photo-excited broadband tunable terahertz metamaterial absorber. Opt. Mater. 2016, 54, 32–36. [Google Scholar] [CrossRef]
- Matsui, T.; Takagi, R.; Takano, K.; Hangyo, M. Mechanism of optical terahertz-transmission modulation in an organic/inorganic semiconductor interface and its application to active metamaterials. Opt. Lett. 2013, 38, 4632–4635. [Google Scholar] [CrossRef] [PubMed]
- Liu, D.; Wang, W.; Xiong, L.; Ji, H.; Shen, J. High-efficiency optical terahertz modulation of organometallic halide perovskite nanoplates on silicon. Opt. Mater. 2019, 96, 109368. [Google Scholar] [CrossRef]
- Liu, M.; Hwang, H.Y.; Tao, H.; Strikwerda, A.C.; Fan, K.; Keiser, G.R.; Sternbach, A.J.; West, K.G.; Kittiwatanakul, S.; Lu, J.; et al. Terahertz-field-induced insulator-to-metal transition in vanadium dioxide metamaterial. Nature 2012, 487, 345–348. [Google Scholar] [CrossRef]
- Jeong, Y.; Bahk, Y.; Kim, D. Dynamic terahertz plasmonics enabled by phase-change materials. Adv. Opt. Mater. 2020, 8, 1900548. [Google Scholar] [CrossRef]
- Li, H.; Yu, J. Bifunctional terahertz absorber with tunable and switchable property between broadband and dual-band. Opt. Express 2020, 28, 25225–25237. [Google Scholar] [CrossRef]
- Lv, T.; Dong, G.; Qin, C.; Qu, J.; Shi, J.H. Switchable dual-band to broadband terahertz metamaterial absorber incorporating VO2 phase transition. Opt. Express 2021, 29, 5437–5447. [Google Scholar] [CrossRef]
- Huang, X.; Yang, F.; Gao, B.; Wu, J.; He, W. Metamaterial absorber with independently tunable amplitude and frequency in the terahertz regime. Opt. Express 2019, 27, 25902–25911. [Google Scholar] [CrossRef]
- Wang, T.; Zhang, Y.; Zhang, H.; Cao, M. Dual-controlled switchable broadband terahertz absorber based on graphene-vanadium dioxide metamaterial. Opt. Mater. Expres 2019, 10, 369–386. [Google Scholar] [CrossRef]
- Xiong, H.; Peng, Y.; Yang, F.; Yang, Z.; Wang, Z. Bi-tunable terahertz absorber based on strontium titanate and Dirac semimetal. Opt. Express 2020, 28, 15744–15752. [Google Scholar] [CrossRef]
- Xiong, H.; Shen, Q. A thermally and electrically dual-tunable absorber based on Dirac semimetal and strontium titanat. Nanoscale 2020, 12, 14598–14604. [Google Scholar] [CrossRef]
- Li, Z.; Wang, T.; Qu, L.; Zhang, H.; Zhang, Y. Design of bi-tunable triple-band metamaterial absorber based on Dirac semimetal and vanadium dioxide. Opt. Mater. Express 2020, 10, 1941–1950. [Google Scholar] [CrossRef]
- Liu, Y.; Huang, R.; Ouyang, Z. Numerical Investigation of Graphene and STO Based Tunable Terahertz Absorber with Switchable Bifunctionality of Broadband and Narrowband Absorption. Nanomaterials 2021, 11, 2044. [Google Scholar] [CrossRef]
- Qi, L.; Liu, C.; Shah, S.M.A. A broad dual-band switchable graphene-based terahertz metamaterial absorber. Carbon 2019, 153, 179–188. [Google Scholar] [CrossRef]
- Cheng, Y.Z.; Withayachumnankul, W.; Upadhyay, A.; Headland, D.; Abbott, D. Ultrabroadband reflective polarization convertor for terahertz waves. Appl. Phys. Lett. 2014, 105, 181111. [Google Scholar] [CrossRef]
- Hartmann, R.R.; Kono, J.; Portnoi, M.E. Terahertz science and technology of carbon nanomaterials. Nanotechnology 2014, 25, 322001. [Google Scholar] [CrossRef]
- Singh, R.; Azad, A.K.; Jia, Q.X.; Taylor, A.J.; Chen, H.T. Thermal tunability in terahertz metamaterials fabricated on strontium titanate single-crystal substrates. Opt. Lett. 2011, 36, 1230–1232. [Google Scholar] [CrossRef]
- Bian, Y.; Wu, C.; Li, H.; Zhai, J. A tunable metamaterial dependent on electric field at terahertz with barium strontium titanate thin film. Appl. Phys. Lett. 2014, 104, 042906. [Google Scholar] [CrossRef]
- Smith, D.; Vier, D.; Koschny, T.; Soukoulis, C. Electromagnetic parameter retrieval from inhomogeneous metamaterials. Phys. Rev. E 2005, 71, 036617. [Google Scholar] [CrossRef]
- Cai, Y.; Xu, K.D. Tunable broadband terahertz absorber based on multilayer graphene-sandwiched plasmonic structure. Opt. Express 2018, 26, 31693–31705. [Google Scholar] [CrossRef]
- Gao, W.; Jie, S.; Qiu, C.; Xu, Q. Excitation of Plasmonic Waves in Graphene by Guided-Mode Resonances. ACS Nano 2012, 6, 7806–7813. [Google Scholar] [CrossRef] [PubMed]
- Xiao, S.; Wang, T.; Liu, T.; Yan, X.; Li, Z.; Xu, C. Active modulation of electromagnetically induced transparency analogue in terahertz hybrid metal-graphene metamaterials. Carbon 2018, 126, 271–278. [Google Scholar] [CrossRef]
- Huang, J.; Li, J.; Yang, Y.; Li, J.; Yao, J.Q. Broadband terahertz absorber with flexibly reconfigurable performance based on hybrid-patterned vanadium dioxide metasurfaces. Opt. Express 2020, 28, 17832–17840. [Google Scholar] [CrossRef]
- Feng, H.; Xu, Z.; Li, K.; Wang, M.; Xie, W.; Luo, Q.; Chen, B.; Kong, W.; Yun, M. Tunable polarization-independent and angle-insensitive broadband terahertz absorber with graphene metamaterials. Opt. Express 2021, 29, 7158–7167. [Google Scholar] [CrossRef] [PubMed]
- Zhang, M.; Song, Z. Terahertz bifunctional absorber based on a graphene-spacer-vanadium dioxide-spacer-metal configuration. Opt. Express 2020, 28, 11780–11788. [Google Scholar] [CrossRef] [PubMed]












Publisher’s Note: MDPI stays neutral with regard to jurisdictional claims in published maps and institutional affiliations. |
© 2022 by the authors. Licensee MDPI, Basel, Switzerland. This article is an open access article distributed under the terms and conditions of the Creative Commons Attribution (CC BY) license (https://creativecommons.org/licenses/by/4.0/).
Share and Cite
Wu, T.; Wang, G.; Jia, Y.; Shao, Y.; Gao, Y.; Gao, Y. Dynamic Modulation of THz Absorption Frequency, Bandwidth, and Amplitude via Strontium Titanate and Graphene. Nanomaterials 2022, 12, 1353. https://doi.org/10.3390/nano12081353
Wu T, Wang G, Jia Y, Shao Y, Gao Y, Gao Y. Dynamic Modulation of THz Absorption Frequency, Bandwidth, and Amplitude via Strontium Titanate and Graphene. Nanomaterials. 2022; 12(8):1353. https://doi.org/10.3390/nano12081353
Chicago/Turabian StyleWu, Tong, Guan Wang, Yang Jia, Yabin Shao, Yang Gao, and Yachen Gao. 2022. "Dynamic Modulation of THz Absorption Frequency, Bandwidth, and Amplitude via Strontium Titanate and Graphene" Nanomaterials 12, no. 8: 1353. https://doi.org/10.3390/nano12081353
APA StyleWu, T., Wang, G., Jia, Y., Shao, Y., Gao, Y., & Gao, Y. (2022). Dynamic Modulation of THz Absorption Frequency, Bandwidth, and Amplitude via Strontium Titanate and Graphene. Nanomaterials, 12(8), 1353. https://doi.org/10.3390/nano12081353

