Actively Controllable Terahertz Metal–Graphene Metamaterial Based on Electromagnetically Induced Transparency Effect
Abstract
1. Introduction
2. Device Design and Frequency Tuning
3. Group Delay
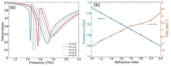
4. Sensing
5. Conclusions
Supplementary Materials
Author Contributions
Funding
Institutional Review Board Statement
Informed Consent Statement
Data Availability Statement
Conflicts of Interest
References
- Tonouchi, M. Cutting-edge terahertz technology. Nat. Photonics 2007, 1, 97–105. [Google Scholar] [CrossRef]
- Dhillon, S.; Vitiello, M.; Linfield, E.; Davies, A.; Hoffmann, M.C.; Booske, J.; Paoloni, C.; Gensch, M.; Weightman, P.; Williams, G.; et al. The 2017 terahertz science and technology roadmap. J. Phys. D Appl. Phys. 2017, 50, 043001. [Google Scholar] [CrossRef]
- Williams, B.S. Terahertz quantum-cascade lasers. Nat. Photonics 2007, 1, 517. [Google Scholar] [CrossRef]
- Vitiello, M.S.; Scalari, G.; Williams, B.; Natale, P.D. Quantum cascade lasers: 20 years of challenges. Opt. Express 2015, 23, 5167. [Google Scholar] [CrossRef] [PubMed]
- Guo, X.G.; Cao, J.C.; Zhang, R.; Tan, Z.Y.; Liu, H.C. Recent Progress in Terahertz Quantum-Well Photodetectors. IEEE J. Sel. Top. Quantum Electron. 2013, 19, 8500508. [Google Scholar] [CrossRef]
- Ferguson, B.; Zhang, X.C. Materials for terahertz science and technology. Nat. Mater. 2006, 1, 26–33. [Google Scholar] [CrossRef]
- Pendry, J.B.; Holden, A.J.; Stewart, W.J.; Youngs, I.I. Extremely Low Frequency Plasmons in Metallic Mesostructures. Phys. Rev. Lett. 1996, 76, 4773–4776. [Google Scholar] [CrossRef]
- Smith, D.R.; Pendry, J.B.; Wiltshire, M.C. Metamaterials and Negative Refractive Index. Science 2004, 305, 788–792. [Google Scholar] [CrossRef]
- Gollub, J.N.; Smith, D.R.; Vier, D.C.; Perram, T.; Mock, J.J. Experimental characterization of magnetic surface plasmons on metamaterials with negative permeability. Phys. Rev. B 2005, 71, 195402.1–195402.7. [Google Scholar] [CrossRef]
- Schurig, D.; Mock, J.J.; Justice, B.J.; Cummer, S.A.; Pendry, J.B.; Starr, A.F.; Smith, D.R. Metamaterial Electromagnetic Cloak at Microwave Frequencies. Science 2006, 314, 977–980. [Google Scholar] [CrossRef]
- Danila, O. Polyvinylidene Fluoride-Based Metasurface for High-Quality Active Switching and Spectrum Shaping in the Terahertz G-Band. Polymers 2021, 13, 1860. [Google Scholar] [CrossRef]
- Danila, O.; Manaila-Maximean, D.; Arar, A.; Loiko, V.A. Non-Layered Gold-Silicon and All-Silicon Frequency-Selective Metasurfaces for Potential Mid-Infrared Sensing Applications. Sensors 2021, 21, 5600. [Google Scholar] [CrossRef]
- Estakhri, N.M.; Edwards, B.; Engheta, N. Inverse-designed metastructures that solve equations. Science 2019, 363, 1333–1338. [Google Scholar] [CrossRef]
- Spada, L.L.; Vegni, L. Near-zero-index wires. Opt. Express 2017, 25, 23699–23708. [Google Scholar] [CrossRef]
- Greybush, N.J.; Pacheco-Peña, V.; Engheta, N.; Murray, C.B.; Kagan, C.R. Plasmonic Optical and Chiroptical Response of Self-Assembled Au Nanorod Equilateral Trimers. ACS Nano 2019, 13 2, 1617–1624. [Google Scholar] [CrossRef]
- Lalegani, Z.; Ebrahimi, S.A.S.; Hamawandi, B.; Spada, L.L.; Batili, H.; Toprak, M.S. Targeted dielectric coating of silver nanoparticles with silica to manipulate optical properties for metasurface applications. Mater. Chem. Phys. 2022, 287, 126250. [Google Scholar] [CrossRef]
- Donnelly, E.; Spada, L.L. Electromagnetic and thermal nanostructures: From waves to circuits. Eng. Res. Express 2020, 2, 015045. [Google Scholar] [CrossRef]
- Padilla, W.J.; Taylor, A.J.; Highstrete, C.; Lee, M.; Averitt, R.D. Dynamical electric and magnetic metamaterial response at terahertz frequencies. Phys. Rev. Lett. 2006, 96, 107401. [Google Scholar] [CrossRef]
- Miao, Z.; Wu, Q.; Xin, L.; He, Q.; Lei, Z. Widely Tunable Terahertz Phase Modulation with Gate-Controlled Graphene Metasurfaces. Phys. Rev. X 2015, 5, 041027. [Google Scholar] [CrossRef]
- Luo, L.; Wang, K.; Guo, K.; Shen, F.; Zhang, X.; Yin, Z.; Guo, Z. Tunable manipulation of terahertz wavefront based on graphene metasurfaces. J. Opt. 2017, 19, 115104. [Google Scholar] [CrossRef]
- Degl’Innocenti, R.; Jessop, D.S.; Shah, Y.D.; Sibik, J.; Zeitler, J.A.; Kidambi, P.R.; Hofmann, S.; Beere, H.E.; Ritchie, D.A. Low-bias terahertz amplitude modulator based on split-ring resonators and graphene. ACS Nano 2014, 8, 2548–2554. [Google Scholar] [CrossRef]
- Jessop, D.; Kindness, S.; Xiao, L.; Braeuninger-Weimer, P.; Lin, H.; Ren, Y.; Ren, C.; Hofmann, S.; Zeitler, J.; Beere, H.; et al. Graphene based plasmonic terahertz amplitude modulator operating above 100 MHz. Appl. Phys. Lett. 2016, 108, 171101. [Google Scholar] [CrossRef]
- Tong, S.; Fyffe, A.; Xiao, B.; Shi, Z. Tunable electromagnetically induced transparency based on graphene metamaterials. Opt. Express 2020, 28, 4048–4057. [Google Scholar]
- Kindness, S.J.; Jessop, D.S.; Wei, B.; Wallis, R.; Kamboj, V.S.; Xiao, L.; Ren, Y.; Braeuninger-Weimer, P.; Aria, A.I.; Hofmann, S. External amplitude and frequency modulation of a terahertz quantum cascade laser using metamaterial/graphene devices. Sci. Rep. 2017, 7, 1–10. [Google Scholar] [CrossRef] [PubMed]
- Efetov, D.K.; Kim, P. Controlling Electron-Phonon Interactions in Graphene at Ultrahigh Carrier Densities. Phys. Rev. Lett. 2010, 105, 256805. [Google Scholar] [CrossRef] [PubMed]
- Nikitin, A.Y.; Guinea, F.; Garcia-Vidal, F.J.; Martin-Moreno, L. Edge and waveguide THz surface plasmon modes in graphene micro-ribbons. Phys. Rev. B 2011, 84, 1401–1408. [Google Scholar] [CrossRef]
- Liu, P.Q.; Luxmoore, I.J.; Mikhailov, S.A.; Savostianova, N.A.; Valmorra, F.; Faist, J.; Nash, G.R. Highly tunable hybrid metamaterials employing split-ring resonators strongly coupled to graphene surface plasmons. Nat. Commun. 2015, 6, 1–7. [Google Scholar] [CrossRef]
- Xiao, S.; Wang, T.; Jiang, X.; Yan, X.; Cheng, L.; Wang, B.; Xu, C. Strong interaction between graphene layer and Fano resonance in terahertz metamaterials. J. Phys. D Appl. Phys. 2017, 50, 195101. [Google Scholar] [CrossRef]
- Yan, X.; Wang, T.; Xiao, S.; Liu, T.; Hou, H.; Cheng, L.; Jiang, X. Dynamically controllable plasmon induced transparency based on hybrid metal–graphene metamaterials. Sci. Rep. 2017, 7, 13917. [Google Scholar] [CrossRef]
- Chen, M.; Xiao, Z.; Lv, F.; Cui, Z.; Xu, Q. Dynamically tunable electromagnetically induced transparency-like effect in terahertz metamaterial based on graphene cross structures. IEEE J. Sel. Top. Quantum Electron. 2021, 28, 1–9. [Google Scholar] [CrossRef]
- Chiam, S.Y.; Singh, R.; Rockstuhl, C.; Lederer, F.; Zhang, W.; Bettiol, A.A. Analogue of Electromagnetically Induced Transparency in a Terahertz Metamaterial. Phys. Rev. B 2009, 80, 153103. [Google Scholar] [CrossRef]
- Singh, R.; Rockstuhl, C.; Lederer, F.; Zhang, W. Coupling between a dark and a bright eigenmode in a terahertz metamaterial. Phys. Rev. 2009, 79, 144–147. [Google Scholar] [CrossRef]
- Kekatpure, R.D.; Barnard, E.S.; Cai, W.; Brongersma, M.L. Phase-coupled plasmon-induced transparency. Phys. Rev. Lett. 2010, 104, 243902. [Google Scholar] [CrossRef]
- Wu, Y.; Saldana, J.; Zhu, Y. Large enhancement of four-wave mixing by suppression of photon absorption from electromagnetically induced transparency. Phys. Rev. A 2005, 67, 013811. [Google Scholar] [CrossRef]
- Liu, N.; Weiss, T.; Mesch, M.; Langguth, L.; Eigenthaler, U.; Hirscher, M.; Sonnichsen, C.; Giessen, H. Planar metamaterial analogue of electromagnetically induced transparency for plasmonic sensing. Nano Lett. 2010, 10, 1103–1107. [Google Scholar] [CrossRef]
- Liu, G.D.; Zhai, X.; Wang, L.L.; Lin, Q.; Xia, S.X.; Luo, X.; Zhao, C.J. A High-Performance Refractive Index Sensor Based on Fano Resonance in Si Split-Ring Metasurface. Plasmonics 2017, 13, 15–19. [Google Scholar] [CrossRef]
- Winnerl, S.; Orlita, M.; Plochocka, P.; Kossacki, P.; Potemski, M.; Winzer, T.; Malic, E.; Knorr, A.; Sprinkle, M.; Berger, C. Carrier relaxation in epitaxial graphene photoexcited near the Dirac point. Phys. Rev. Lett. 2011, 107, 237401. [Google Scholar] [CrossRef]
- Dawlaty, J.M.; Shivaraman, S.; Strait, J.; George, P.; Chandrashekhar, M.; Rana, F.; Spencer, M.G.; Veksler, D.; Chen, Y. Measurement of the Optical Absorption Spectra of Epitaxial Graphene from Terahertz to Visible. Appl. Phys. Lett. 2008, 93, 131905. [Google Scholar] [CrossRef]
- Tan, Y.; Zhang, Y.; Bolotin, K.; Zhao, Y.; Adam, S.; Hwang, E.H.; Sarma, S.D.; Stormer, H.L.; Kim, P. Measurement of scattering rate and minimum conductivity in graphene. Phys. Rev. Lett. 2007, 99, 246803. [Google Scholar] [CrossRef]
- Ordal, M.A.; Bell, R.J.; Alexander, R.W.; Long, L.L.; Querry, M.R. Optical properties of fourteen metals in the infrared and far infrared: Al, Co, Cu, Au, Fe, Pb, Mo, Ni, Pd, Pt, Ag, Ti, V, and W. Appl. Opt. 1985, 24, 4493–4499. [Google Scholar] [CrossRef]
- Meyrath, T.P.; Zentgraf, T.; Giessen, H. Lorentz model for metamaterials: Optical frequency resonance circuits. Physical Review B 2007, 75, 205102. [Google Scholar] [CrossRef]
- García-Vigueras, M.; Mesa, F.; Medina, F.; Rodríguez-Berral, R.; Gómez-Tornero, J.L. Simplified Circuit Model for Arrays of Metallic Dipoles Sandwiched Between Dielectric Slabs Under Arbitrary Incidence. IEEE Trans. Antennas Propag. 2012, 60, 4637–4649. [Google Scholar] [CrossRef]
- Amin, M.; Farhat, M.; Bagci, H. A dynamically reconfigurable Fano metamaterial through graphene tuning for switching and sensing applications. Sci. Rep. 2013, 3, 2105. [Google Scholar] [CrossRef] [PubMed]
- Smith, D.R.; Vier, D.C.; Koschny, T.; Soukoulis, C.M. Electromagnetic parameters retrieval from inhomogeneous metamaterials. Phys. Rev. E 2005, 71, 036617. [Google Scholar] [CrossRef] [PubMed]
- Smith, D.R.; Schultz, S.; Markos, P.; Soukoulis, C.M. Determination of Effective Permittivity and Permeability of Metamaterials from Reflection and Transmission Coefficients. Phys. Rev. B 2001, 65, 195104. [Google Scholar] [CrossRef]
- Yang, M.; Liang, L.; Zhang, Z.; Xin, Y.; Yao, J. Electromagnetically induced transparency-like metamaterials for detection of lung cancer cells. Opt. Express 2019, 27, 19520. [Google Scholar] [CrossRef] [PubMed]





Publisher’s Note: MDPI stays neutral with regard to jurisdictional claims in published maps and institutional affiliations. |
© 2022 by the authors. Licensee MDPI, Basel, Switzerland. This article is an open access article distributed under the terms and conditions of the Creative Commons Attribution (CC BY) license (https://creativecommons.org/licenses/by/4.0/).
Share and Cite
Gao, L.; Feng, C.; Li, Y.; Chen, X.; Wang, Q.; Zhao, X. Actively Controllable Terahertz Metal–Graphene Metamaterial Based on Electromagnetically Induced Transparency Effect. Nanomaterials 2022, 12, 3672. https://doi.org/10.3390/nano12203672
Gao L, Feng C, Li Y, Chen X, Wang Q, Zhao X. Actively Controllable Terahertz Metal–Graphene Metamaterial Based on Electromagnetically Induced Transparency Effect. Nanomaterials. 2022; 12(20):3672. https://doi.org/10.3390/nano12203672
Chicago/Turabian StyleGao, Liang, Chao Feng, Yongfu Li, Xiaohan Chen, Qingpu Wang, and Xian Zhao. 2022. "Actively Controllable Terahertz Metal–Graphene Metamaterial Based on Electromagnetically Induced Transparency Effect" Nanomaterials 12, no. 20: 3672. https://doi.org/10.3390/nano12203672
APA StyleGao, L., Feng, C., Li, Y., Chen, X., Wang, Q., & Zhao, X. (2022). Actively Controllable Terahertz Metal–Graphene Metamaterial Based on Electromagnetically Induced Transparency Effect. Nanomaterials, 12(20), 3672. https://doi.org/10.3390/nano12203672

