Comparison of Carbon-Nanoparticle-Filled Poly(Butylene Succinate-co-Adipate) Nanocomposites for Electromagnetic Applications
Abstract
1. Introduction
2. Materials and Methods
2.1. Materials
2.2. Sample Preparation
2.3. Characterization
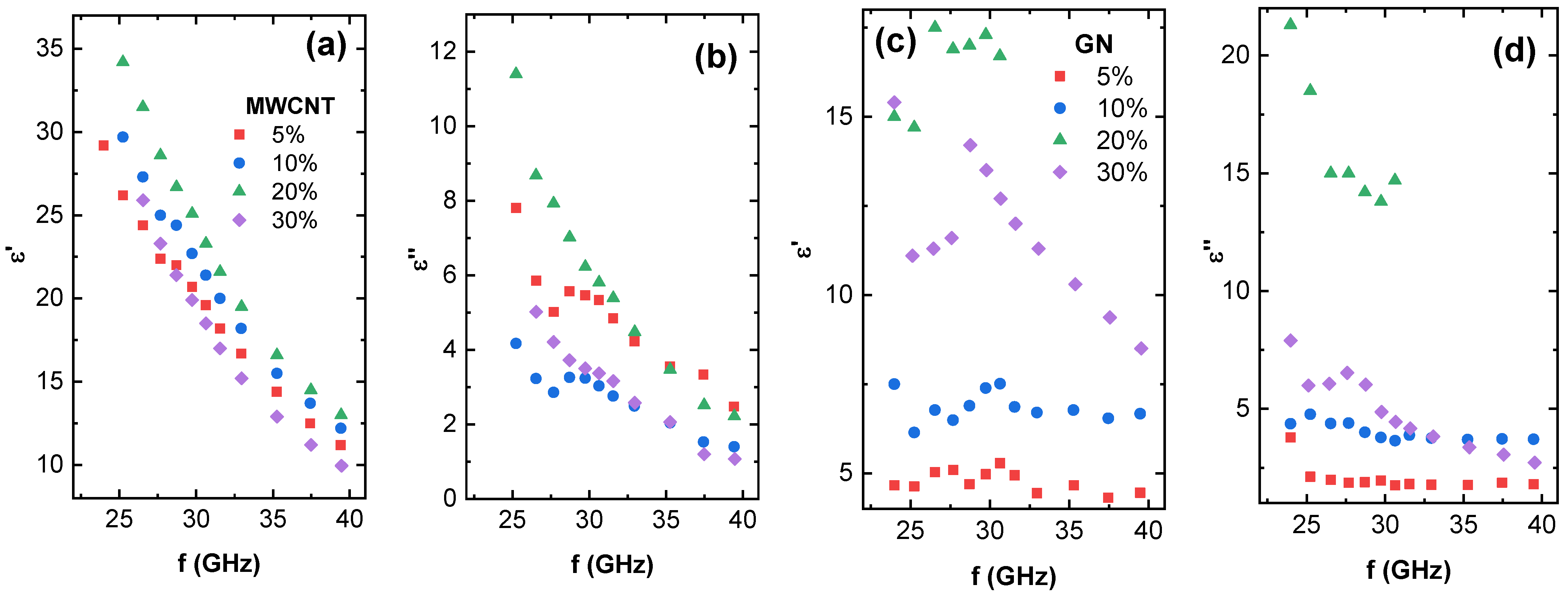
3. Results and Discussion
3.1. Tensile Properties
3.2. Electrical Conductivity

3.3. Surface Resistivity
3.4. Thermal Conductivity
3.5. Thermal Conductivity Activation Energy
3.6. Microwave Spectroscopy and Terahertz Transmittance
4. Conclusions
Supplementary Materials
Author Contributions
Funding
Data Availability Statement
Conflicts of Interest
References
- Su, Z.P.; Yang, Y.; Huang, Q.B.; Chen, R.W.; Ge, W.J.; Fang, Z.Q.; Huang, F.; Wang, X.H. Designed biomass materials for “green” electronics: A review of materials, fabrications, devices, and perspectives. Prog. Mater. Sci. 2022, 125, 100917. [Google Scholar] [CrossRef]
- Ravi, V. Analysis of interactions among barriers of eco-efficiency in the electronics packaging industry. J. Clean. Prod. 2015, 101, 16–25. [Google Scholar] [CrossRef]
- Sahajwalla, V.; Gaikwad, V. The present and future of e-waste plastics recycling. Curr. Opin. Green Sustain. Chem. 2018, 13, 102–107. [Google Scholar] [CrossRef]
- Misra, N.R.; Kumar, S.; Jain, A. A Review on E-waste: Fostering the Need for Green Electronics. In Proceedings of the 2021 International Conference on Computing, Communication, and Intelligent Systems (ICCCIS), Greater Noida, India, 19–20 February 2021; pp. 1032–1036. [Google Scholar]
- Chawla, S.; Varghese, B.S.; Chithra, A.; Hussain, C.G.; Kecili, R.; Hussain, C.M. Environmental impacts of post-consumer plastic wastes: Treatment technologies towards eco-sustainability and circular economy. Chemosphere 2022, 308, 135867. [Google Scholar] [CrossRef]
- Jacobsen, L.F.; Pedersen, S.; Thogersen, J. Drivers of and barriers to consumers’ plastic packaging waste avoidance and recycling—A systematic literature review. Waste Manag. 2022, 141, 63–78. [Google Scholar] [CrossRef] [PubMed]
- Maximize Market Research Pvt Ltd. Global Active Electronic Components Market: Industry Analysis and Forecast 2019–2026 by Product, By Application and By Region. December 2020. Available online: https://www.maximizemarketresearch.com/market-report/global-active-electronic-components-market/16528/ (accessed on 26 September 2022).
- Rosner, R.B. Conductive materials for ESD applications: An overview. IEEE Trans. Device Mater. Reliab. 2001, 1, 9–16. [Google Scholar] [CrossRef]
- Yuan, J.K. Percolation of carbon nanomaterials for high-k polymer nanocomposites. Chin. Chem. Lett. 2017, 28, 2036–2044. [Google Scholar] [CrossRef]
- Arigbabowo, O.K.; Tate, J.S. Additive manufacturing of polyamide nanocomposites for electrostatic charge dissipation applications. Mater. Sci. Eng. B Solid-State Mater. Adv. Technol. 2021, 271, 115251. [Google Scholar] [CrossRef]
- Braga, N.F.; LaChance, A.M.; Liu, B.; Sun, L.; Passador, F.R. Influence of compatibilizer and carbon nanotubes on mechanical, electrical, and barrier properties of PTT/ABS blends. Adv. Ind. Eng. Polym. Res. 2019, 2, 121–125. [Google Scholar] [CrossRef]
- Chen, C.H.; Li, H.C.; Teng, C.C.; Yang, C.H. Fusion, electrical conductivity, thermal, and mechanical properties of rigid poly(vinyl chloride) (PVC)/carbon black (CB) composites. J. Appl. Polym. Sci. 2006, 99, 2167–2173. [Google Scholar] [CrossRef]
- Silva, L.N.; dos Anjos, E.G.R.; Morgado, G.F.d.M.; Marini, J.; Backes, E.H.; Montagna, L.S.; Passador, F.R. Development of antistatic packaging of polyamide 6/linear low-density polyethylene blends-based carbon black composites. Polym. Bull. 2019, 77, 3389–3409. [Google Scholar] [CrossRef]
- Mitsubishi Chemical Europe GmbH. BIOPBSTM PRODUCT RANGE. Available online: https://www.mcpp-global.com/en/mcpp-europe/products/product/biopbsTM-general-properties/ (accessed on 26 September 2022).
- Arif, Z.U.; Khalid, M.Y.; Sheikh, M.F.; Zolfagharian, A.; Bodaghi, M. Biopolymeric sustainable materials and their emerging applications. J. Environ. Chem. Eng. 2022, 10, 108159. [Google Scholar] [CrossRef]
- Ohki, Y.; Hirai, N. Electrical conduction and breakdown properties of several biodegradable polymers. IEEE Trans. Dielectr. Electr. Insul. 2007, 14, 1559–1566. [Google Scholar] [CrossRef]
- Fionov, A.; Kraev, I.; Yurkov, G.; Solodilov, V.; Zhukov, A.; Surgay, A.; Kuznetsova, I.; Kolesov, V. Radio-Absorbing Materials Based on Polymer Composites and Their Application to Solving the Problems of Electromagnetic Compatibility. Polymers 2022, 14, 3026. [Google Scholar] [CrossRef]
- da Silva, T.F.; Menezes, F.; Montagna, L.S.; Lemes, A.P.; Passador, F.R. Preparation and characterization of antistatic packaging for electronic components based on poly(lactic acid)/carbon black composites. J. Appl. Polym. Sci. 2019, 136, 47273. [Google Scholar] [CrossRef]
- Bhagavatheswaran, E.S.; Parsekar, M.; Das, A.; Le, H.H.; Wiessner, S.; Stockelhuber, K.W.; Schmaucks, G.; Heinrich, G. Construction of an Interconnected Nanostructured Carbon Black Network: Development of Highly Stretchable and Robust Elastomeric Conductors. J. Phys. Chem. C 2015, 119, 21723–21731. [Google Scholar] [CrossRef]
- Pingot, T.; Pingot, M.; Zaborski, M. The Effect of Carbon Fillers on Elastomer Composite Properties. Polym. Compos. Mater. Macro Micro Nanoscale 2012, 714, 159–166. [Google Scholar] [CrossRef]
- Ali Raza, M.; Westwood, A.; Stirling, C.; Brydson, R.; Hondow, N. Effect of nanosized carbon black on the morphology, transport, and mechanical properties of rubbery epoxy and silicone composites. J. Appl. Polym. Sci. 2012, 126, 641–652. [Google Scholar] [CrossRef]
- Al-Hartomy, O.A.; Al-Solamy, F.; Al-Ghamdi, A.; Dishovsky, N.; Ivanov, M.; Mihaylov, M.; El-Tantawy, F. Influence of Carbon Black Structure and Specific Surface Area on the Mechanical and Dielectric Properties of Filled Rubber Composites. Int. J. Polym. Sci. 2011, 2011, 521985. [Google Scholar] [CrossRef]
- Yuan, Q.; Wu, D.Y. Low Percolation Threshold and High Conductivity in Carbon Black Filled Polyethylene and Polypropylene Composites. J. Appl. Polym. Sci. 2010, 115, 3527–3534. [Google Scholar] [CrossRef]
- Wang, L.J.; Qiu, J.H.; Sakai, E.; Wei, X.W. The relationship between microstructure and mechanical properties of carbon nanotubes/polylactic acid nanocomposites prepared by twin-screw extrusion. Compos. Part A Appl. Sci. Manuf. 2016, 89, 18–25. [Google Scholar] [CrossRef]
- Müller, M.T.; Krause, B.; Kretzschmar, B.; Pötschke, P. Influence of feeding conditions in twin-screw extrusion of PP/MWCNT composites on electrical and mechanical properties. Compos. Sci. Technol. 2011, 71, 1535–1542. [Google Scholar] [CrossRef]
- Socher, R.; Krause, B.; Boldt, R.; Hermasch, S.; Wursche, R.; Potschke, P. Melt mixed nano composites of PA12 with MWNTs: Influence of MWNT and matrix properties on macrodispersion and electrical properties. Compos. Sci. Technol. 2011, 71, 306–314. [Google Scholar] [CrossRef]
- Shahil, K.M.F.; Balandin, A.A. Thermal properties of graphene and multilayer graphene: Applications in thermal interface materials. Solid State Commun. 2012, 152, 1331–1340. [Google Scholar] [CrossRef]
- Shahil, K.M.F.; Balandin, A.A. Graphene-Multilayer Graphene Nanocomposites as Highly Efficient Thermal Interface Materials. Nano Lett. 2012, 12, 861–867. [Google Scholar] [CrossRef] [PubMed]
- Shtein, M.; Nadiv, R.; Buzaglo, M.; Kahil, K.; Regev, O. Thermally Conductive Graphene-Polymer Composites: Size, Percolation, and Synergy Effects. Chem. Mater. 2015, 27, 2100–2106. [Google Scholar] [CrossRef]
- Platnieks, O.; Gaidukovs, S.; Neibolts, N.; Barkane, A.; Gaidukova, G.; Thakur, V.K. Poly(butylene succinate) and graphene nanoplatelet-based sustainable functional nanocomposite materials: Structure-properties relationship. Mater. Today Chem. 2020, 18, 100351. [Google Scholar] [CrossRef]
- Shih, Y.F.; Chen, L.S.; Jeng, R.J. Preparation and properties of biodegradable PBS/multi-walled carbon nanotube nanocomposites. Polymer 2008, 49, 4602–4611. [Google Scholar] [CrossRef]
- Lin, C.S.; Shih, Y.F.; Jeng, R.J.; Dai, S.H.A.; Lin, J.J.; Lee, C.C. Nanocomposites with enhanced electrical properties based on biodegradable poly(butylene succinate) and polyetheramine modified carbon nanotube. J. Taiwan Inst. Chem. Eng. 2012, 43, 322–328. [Google Scholar] [CrossRef]
- Shi, Y.D.; He, L.; Chen, D.Y.; Wang, Q.W.; Shen, J.B.; Guo, S.Y. Simultaneously improved electromagnetic interference shielding and flame retarding properties of poly (butylene succinate)/thermoplastic polyurethane blends by constructing segregated flame retardants and multi-walled carbon nanotubes double network. Compos. Part A Appl. Sci. Manuf. 2020, 137, 106037. [Google Scholar] [CrossRef]
- Wang, X.; Yang, H.Y.; Song, L.; Hu, Y.; Xing, W.Y.; Lu, H.D. Morphology, mechanical and thermal properties of graphene-reinforced poly(butylene succinate) nanocomposites. Compos. Sci. Technol. 2011, 72, 1–6. [Google Scholar] [CrossRef]
- Arrhenius, S. Über die Dissociationswärme und den Einfluss der Temperatur auf den Dissociationsgrad der Elektrolyte. Z. Phys. Chem. 1889, 4U, 96–116. [Google Scholar] [CrossRef]
- Macutkevic, J.; Kranauskaite, I.; Banys, J.; Moseenkov, S.; Kuznetsov, V.; Shenderova, O. Metal-insulator transition and size dependent electrical percolation in onion-like carbon/polydimethylsiloxane composites. J. Appl. Phys. 2014, 115, 213702. [Google Scholar] [CrossRef]
- Gao, H.; Rice, J.R. A First-Order Perturbation Analysis of Crack Trapping by Arrays of Obstacles. J. Appl. Mech. 1989, 56, 828–836. [Google Scholar] [CrossRef]
- Trotignon, J.P.; Tcharkhtchi, A. Fatigue behaviour of filled polymers. Macromol. Symp. 1996, 108, 231–245. [Google Scholar] [CrossRef]
- El-Eskandarany, M.S. Ball milling as a superior nanotechnological fabrication’s tool. In Mechanical Alloying; William Andrew Publishing: Oxford, UK, 2020; pp. 93–127. ISBN 978-0-12-818180-5. [Google Scholar]
- Gorga, R.E.; Cohen, R.E. Toughness enhancements in poly(methyl methacrylate) by addition of oriented multiwall carbon nanotubes. J. Polym. Sci. B Polym. Phys. 2004, 42, 2690–2702. [Google Scholar] [CrossRef]
- Ivanov, E.; Kotsilkova, R.; Xia, H.S.; Chen, Y.H.; Donato, R.K.; Donato, K.; Godoy, A.P.; Di Maio, R.; Silvestre, C.; Cimmino, S.; et al. PLA/Graphene/MWCNT Composites with Improved Electrical and Thermal Properties Suitable for FDM 3D Printing Applications. Appl. Sci. 2019, 9, 1209. [Google Scholar] [CrossRef]
- Seligra, P.G.; Lamanna, M.; Fama, L. Promising PLA-Functionalized MWCNT Composites to Use in Nanotechnology. Polym. Compos. 2016, 37, 3066–3072. [Google Scholar] [CrossRef]
- Wang, S.W.; Wu, R.G.; Zhang, J.M.; Leng, Y.T.; Li, Q. PLA/PEG/MWCNT composites with improved processability and mechanical properties. Polym.-Plast. Technol. Mater. 2021, 60, 430–439. [Google Scholar] [CrossRef]
- Wang, G.; Wang, L.; Mark, L.H.; Shaayegan, V.; Wang, G.; Li, H.; Zhao, G.; Park, C.B. Ultralow-Threshold and Lightweight Biodegradable Porous PLA/MWCNT with Segregated Conductive Networks for High-Performance Thermal Insulation and Electromagnetic Interference Shielding Applications. ACS Appl. Mater. Interfaces 2018, 10, 1195–1203. [Google Scholar] [CrossRef]
- Katti, S.R.; Achutha, M.V.; Sridhara, B.K. Tensile behaviour of MWCNT and CNP filled polypropylene thermoplastic composites. Mater. Today Proc. 2021, 43, 1678–1683. [Google Scholar] [CrossRef]
- Jung, C.H.; Lee, D.H.; Hwang, I.T.; Im, D.S.; Shin, J.; Kang, P.H.; Choi, J.H. Fabrication and characterization of radiation-resistant LDPE/MWCNT nanocomposites. J. Nucl. Mater. 2013, 438, 41–45. [Google Scholar] [CrossRef]
- Yuan, Q.A.; Bateman, S.A.; Wu, D.Y. Mechanical and Conductive Properties of Carbon Black-filled High-density Polyethylene, Low-density Polyethylene, and Linear Low-density Polyethylene. J. Thermoplast. Compos. Mater. 2010, 23, 459–471. [Google Scholar] [CrossRef]
- Chopra, S.; Deshmukh, K.A.; Deshmukh, A.D.; Gogte, C.L.; Peshwe, D. Prediction, evaluation and mechanism governing interphase strength in tensile fractured PA-6/MWCNT nanocomposites. Compos. Part A Appl. Sci. Manuf. 2018, 112, 255–262. [Google Scholar] [CrossRef]
- Yusrizal, A.A.; Abdullah, T.K.; Ali, E.S.; Ahmad, S.; Zubir, S.A. Enhanced thermal and tensile behaviour of MWCNT reinforced palm oil polyol based shape memory polyurethane. Arab. J. Chem. 2022, 15, 103860. [Google Scholar] [CrossRef]
- Alruwail, I.B.; Saeed, U.; Ahmad, I.; Al-Turaif, H.; Aboalkhair, H.; Alsaiar, I.A. Development of Multi-walled Carbon Nanotube-Reinforced Biodegradable Polylactic Acid/Polybutylene Succinate Blend Membrane. Membranes 2021, 11, 760. [Google Scholar] [CrossRef] [PubMed]
- Snowdon, M.; Mohanty, A.K.; Misra, M. Melt Processing and Characterization of Bionanocomposites Made from Poly(butylene succinate) Bioplastic and Carbon Black. Macromol. Mater. Eng. 2015, 300, 118–126. [Google Scholar] [CrossRef]
- Seretis, G.V.; Manolakos, D.E.; Provatidis, C.G. On the graphene nanoplatelets reinforcement of extruded high density polyethylene. Compos. Part B. Eng. 2018, 145, 81–89. [Google Scholar] [CrossRef]
- Wang, G.X.; Yu, Q.Z.; Hu, Y.M.; Zhao, G.Y.; Chen, J.W.; Li, H.; Jiang, N.; Hu, D.W.; Xu, Y.Q.; Zhu, Y.T.; et al. Influence of the filler dimensionality on the electrical, mechanical and electromagnetic shielding properties of isoprene rubber-based flexible conductive composites. Compos. Commun. 2020, 21, 100417. [Google Scholar] [CrossRef]
- Szadkowski, B.; Marzec, A.; Zaborski, M. Use of carbon black as a reinforcing nano-filler in conductivity-reversible elastomer composites. Polym. Test. 2020, 81, 106222. [Google Scholar] [CrossRef]
- Witt, N.; Tang, Y.H.; Ye, L.; Fang, L.M. Silicone rubber nanocomposites containing a small amount of hybrid fillers with enhanced electrical sensitivity. Mater. Des. 2013, 45, 548–554. [Google Scholar] [CrossRef]
- Liu, Z.W.; Ling, F.W.; Diao, X.Y.; Fu, M.R.; Bai, H.W.; Zhang, Q.; Fu, Q. Stereocomplex-type polylactide with remarkably enhanced melt-processability and electrical performance via incorporating multifunctional carbon black. Polymer 2020, 188, 122136. [Google Scholar] [CrossRef]
- Nilsson, F.; Karlsson, M.; Pallon, L.; Giacinti, M.; Olsson, R.T.; Venturi, D.; Gedde, U.W.; Hedenqvist, M.S. Influence of water uptake on the electrical DC-conductivity of insulating LDPE/MgO nanocomposites. Compos. Sci. Technol. 2017, 152, 11–19. [Google Scholar] [CrossRef]
- Tibbetts, G.G.; Finegan, I.C.; Kwag, C. Mechanical and electrical properties of vapor-grown carbon fiber thermoplastic composites. Mol. Cryst. Liq. Cryst. 2010, 387, 129–133. [Google Scholar] [CrossRef]
- Essam, J.W. Percolation theory. Rep. Prog. Phys. 1980, 43, 833–912. [Google Scholar] [CrossRef]
- Pötschke, P.; Dudkin, S.M.; Alig, I. Dielectric spectroscopy on melt processed polycarbonate—Multi-walled carbon nanotube composites. Polymer 2003, 44, 5023–5030. [Google Scholar] [CrossRef]
- Marinho, B.; Ghislandi, M.; Tkalya, E.; Koning, C.E.; de With, G. Electrical conductivity of compacts of graphene, multi-wall carbon nanotubes, carbon black, and graphite powder. Powder Technol. 2012, 221, 351–358. [Google Scholar] [CrossRef]
- Coetzee, D.; Venkataraman, M.; Militky, J.; Petru, M. Influence of Nanoparticles on Thermal and Electrical Conductivity of Composites. Polymers 2020, 12, 742. [Google Scholar] [CrossRef]
- Krause, B.; Villmow, T.; Boldt, R.; Mende, M.; Petzold, G.; Potschke, P. Influence of dry grinding in a ball mill on the length of multi-walled carbon nanotubes and their dispersion and percolation behaviour in melt mixed polycarbonate composites. Compos. Sci. Technol. 2011, 71, 1145–1153. [Google Scholar] [CrossRef]
- US Department of Defense. Military Performance Specification MIL-PRF-81705E, Barrier Materials, Flexible, Electrostatic Discharge Protective, Heat-Sealable, Revision E. August 2009. Available online: http://everyspec.com/MIL-PRF/MIL-PRF-080000-99999/MIL-PRF-81705E_21254/ (accessed on 26 September 2022).
- Jain, A.; McGaughey, A.J.H. Thermal transport by phonons and electrons in aluminum, silver, and gold from first principles. Phys. Rev. B 2016, 93, 081206. [Google Scholar] [CrossRef]
- Lu, T.; Kim, K.; Li, X.; Zhou, J.; Chen, G.; Liu, J. Thermal transport in semicrystalline polyethylene by molecular dynamics simulation. J. Appl. Phys. 2018, 123, 015107. [Google Scholar] [CrossRef]
- Lee, S.; Hong, J.Y.; Jang, J. The effect of graphene nanofiller on the crystallization behavior and mechanical properties of poly(vinyl alcohol). Polym. Int. 2013, 62, 901–908. [Google Scholar] [CrossRef]
- Balandin, A. In-plane and cross-plane thermal conductivity of graphene: Applications in thermal interface materials. Proc. SPIE 2011, 8101, 810107. [Google Scholar] [CrossRef]
- Devpura, A.; Phelan, P.E.; Prasher, R.S. Size effects on the thermal conductivity of polymers laden with highly conductive filler particles. Microscale Thermophys. Eng. 2001, 5, 177–189. [Google Scholar] [CrossRef]
- Han, X.; Kong, H.; Chen, T.; Gao, J.; Zhao, Y.; Sang, Y.; Hu, G. Effect of pi-pi Stacking Interfacial Interaction on the Properties of Graphene/Poly(styrene-b-isoprene-b-styrene) Composites. Nanomaterials 2021, 11, 2158. [Google Scholar] [CrossRef]
- Agarwal, R.; Saxena, N.S.; Sharma, K.B.; Thomas, S.; Sreekala, M.S. Temperature dependence of effective thermal conductivity and thermal diffusivity of treated and untreated polymer composites. J. Appl. Polym. Sci. 2003, 89, 1708–1714. [Google Scholar] [CrossRef]
- Jonscher, A.K. The universal dielectric response and its physical significance. IEEE Trans Dielectr. Electr. Insul. 1992, 27, 407–423. [Google Scholar] [CrossRef]
- Latko-Duralek, P.; Bertasius, P.; Macutkevic, J.; Banys, J.; Boczkowska, A. Fibers of Thermoplastic Copolyamides with Carbon Nanotubes for Electromagnetic Shielding Applications. Materials 2021, 14, 5699. [Google Scholar] [CrossRef]
- Plyushch, A.; Macutkevič, J.; Kuzhir, P.; Sokal, A.; Lapko, K.; Selskis, A.; Banys, J. Synergy Effects in Electromagnetic Properties of Phosphate Ceramics with Silicon Carbide Whiskers and Carbon Nanotubes. Appl. Sci. 2019, 9, 4388. [Google Scholar] [CrossRef]






| Nr. | Filler | vol.% | wt.% | Density (g/cm3) |
|---|---|---|---|---|
| 1 | - | - | - | 1.2272 ± 0.0014 |
| 2 | MWCNT | 5.0 | 7.3 | 1.2623 ± 0.0021 |
| 3 | 10.0 | 14.3 | 1.2894 ± 0.0109 | |
| 4 | 20.0 | 27.4 | 1.3621 ± 0.0023 | |
| 5 | 30.0 | 39.2 | 1.4136 ± 0.0096 | |
| 6 | GN | 5.0 | 8.4 | 1.2630 ± 0.0017 |
| 7 | 10.0 | 16.1 | 1.2923 ± 0.0045 | |
| 8 | 20.0 | 30.2 | 1.3681 ± 0.0175 | |
| 9 | 30.0 | 42.6 | 1.4400 ± 0.0042 | |
| 10 | NCB | 1.1 | 1.5 | 1.2321 ± 0.0017 |
| 11 | 2.2 | 3.2 | 1.2410 ± 0.0017 | |
| 12 | 5.0 | 7.2 | 1.2571 ± 0.0025 | |
| 13 | 8.3 | 11.7 | 1.2745 ± 0.0007 | |
| 14 | 17.4 | 23.6 | 1.3268 ± 0.0122 | |
| 15 | CB | 1.1 | 1.5 | 1.2198 ± 0.0010 |
| 16 | 2.2 | 3.1 | 1.2335 ± 0.0014 | |
| 17 | 4.5 | 6.5 | 1.2465 ± 0.0010 | |
| 18 | 7.2 | 10.3 | 1.2595 ± 0.0010 | |
| 19 | 17.4 | 23.6 | 1.3097 ± 0.0015 |
| Filler | Vol.% | (W/mK) | (eV) |
|---|---|---|---|
| - | - | 1.36 | 0.048 |
| MWCNT | 5.0 | 24.77 | 0.111 |
| 10.0 | 30.17 | 0.109 | |
| 20.0 | 25.36 | 0.094 | |
| 30.0 | 45.79 | 0.105 | |
| GN | 5.0 | 12.31 | 0.103 |
| 10.0 | 7.14 | 0.083 | |
| 20.0 | 5.62 | 0.069 | |
| 30.0 | 5.99 | 0.061 | |
| NCB | 1.1 | 11.90 | 0.098 |
| 2.2 | 10.65 | 0.095 | |
| 5.0 | 4.76 | 0.070 | |
| 8.3 | 4.46 | 0.064 | |
| 17.4 | 2.89 | 0.047 | |
| CB | 1.1 | 2.30 | 0.059 |
| 2.2 | 3.72 | 0.072 | |
| 4.5 | 2.26 | 0.058 | |
| 7.2 | 3.47 | 0.068 | |
| 17.4 | 7.03 | 0.081 |
Publisher’s Note: MDPI stays neutral with regard to jurisdictional claims in published maps and institutional affiliations. |
© 2022 by the authors. Licensee MDPI, Basel, Switzerland. This article is an open access article distributed under the terms and conditions of the Creative Commons Attribution (CC BY) license (https://creativecommons.org/licenses/by/4.0/).
Share and Cite
Bleija, M.; Platnieks, O.; Macutkevič, J.; Starkova, O.; Gaidukovs, S. Comparison of Carbon-Nanoparticle-Filled Poly(Butylene Succinate-co-Adipate) Nanocomposites for Electromagnetic Applications. Nanomaterials 2022, 12, 3671. https://doi.org/10.3390/nano12203671
Bleija M, Platnieks O, Macutkevič J, Starkova O, Gaidukovs S. Comparison of Carbon-Nanoparticle-Filled Poly(Butylene Succinate-co-Adipate) Nanocomposites for Electromagnetic Applications. Nanomaterials. 2022; 12(20):3671. https://doi.org/10.3390/nano12203671
Chicago/Turabian StyleBleija, Miks, Oskars Platnieks, Jan Macutkevič, Olesja Starkova, and Sergejs Gaidukovs. 2022. "Comparison of Carbon-Nanoparticle-Filled Poly(Butylene Succinate-co-Adipate) Nanocomposites for Electromagnetic Applications" Nanomaterials 12, no. 20: 3671. https://doi.org/10.3390/nano12203671
APA StyleBleija, M., Platnieks, O., Macutkevič, J., Starkova, O., & Gaidukovs, S. (2022). Comparison of Carbon-Nanoparticle-Filled Poly(Butylene Succinate-co-Adipate) Nanocomposites for Electromagnetic Applications. Nanomaterials, 12(20), 3671. https://doi.org/10.3390/nano12203671

