Next Article in Journal
Microwave-Enhanced Crystalline Properties of Zinc Ferrite Nanoparticles
Next Article in Special Issue
Oxygen Vacancy Mediated Band-Gap Engineering via B-Doping for Enhancing Z-Scheme A-TiO2/R-TiO2 Heterojunction Photocatalytic Performance
Previous Article in Journal
Noble Metals Deposited LaMnO3 Nanocomposites for Photocatalytic H2 Production
Previous Article in Special Issue
An Electrochromic Ag-Decorated WO3−x Film with Adjustable Defect States for Electrochemical Surface-Enhanced Raman Spectroscopy
 
 
Font Type:
Arial Georgia Verdana
Font Size:
Aa Aa Aa
Line Spacing:
Column Width:
Background:
Article

Effect of Iodide-Based Organic Salts and Ionic Liquid Additives in Dye-Sensitized Solar Cell Performance

LAQV-REQUIMTE, Department of Chemistry, NOVA School of Science and Technology, FCT NOVA, Universidade NOVA de Lisboa, 2829-516 Caparica, Portugal
*
Authors to whom correspondence should be addressed.
These authors contributed equally to this work.
Nanomaterials 2022, 12(17), 2988; https://doi.org/10.3390/nano12172988
Submission received: 9 August 2022 / Revised: 23 August 2022 / Accepted: 25 August 2022 / Published: 29 August 2022

Abstract

:
The use of ionic liquid and organic salts as additives for electrolyte systems in dye-sensitized solar cells have been widely described in recent years. The tunability of their physical-chemical properties according to the cation–anion selection contributes toward their high efficiencies. For this purpose, several iodide-based organic salts including imidazolium, picolinium, guanidinium and alkylammonium cations were tested using acetonitrile/valeronitrile electrolytes and their photovoltaic parameters were compared. A best efficiency of 4.48% (4.15% for the reference) was found for 1-ethyl-2,3-dimethylimidazolium iodide ([C2DMIM]I) containing electrolyte, reaffirming the effectiveness of these additives. 4-tertbutylpyridine was included into the formulation to further improve the performance while determining which iodide salts demonstrate the highest synergy with this additive. [C2DMIM]I once again proved to be the superior additive, achieving an efficiency of 6.48% (6% for the reference). Electrochemical impedance spectroscopy was employed to elucidate the effects of the various additives, demonstrating the relevance of the counter electrode resistance on device performance. Finally, several computational descriptors for the cationic structures were calculated and correlated with the photovoltaic and resistance parameters, showing that properties related to polarity, namely relative positive charge, molecular polarizability and partition coefficient are in good agreement with the counter-electrode resistance.

1. Introduction

Dye-Sensitized Solar Cells (DSSCs) have proven themselves as a viable and sustainable alternative to conventional photovoltaic technologies, particularly for indoor [1,2] and window integration applications [3], given their ease of processing, lower cost as well as high substrate and color flexibility.
These devices operate based on small-molecule photosensitizers adsorbed on the surface of a highly porous semiconducting material, typically TiO2 (Figure 1), a mediating electrolyte and a counter electrode. Upon light absorption (1), the excited valence electrons of the dye are quickly injected into the conduction band (CB) of the semiconductor (2) and transported to the anode (3). The electric current then crosses an external circuit (4) and arrives at the cathode, where a catalytically active material such as Pt reduces the redox pair acting as the charge-carrier present in the electrolyte (5). Finally, after diffusing across the electrolyte, the charge-carrier regenerates the photo-oxidized dye (6), closing the electrochemical cycle of the device.
Given this operating architecture, it comes as no surprise that the judicious choice of electrolyte constitutes one of the most important aspects in achieving high efficiency DSSCs. This can vary from the choice of redox mediator, such as cobalt (II/III) [4,5] or copper (I/II) [6,7] complexes in place of I/I3, the use of gel-based quasi-solid state electrolytes [8,9,10] or even hole transport materials [11,12]. Despite this, the highest DSSC efficiency reported to date is that of a device employing a liquid electrolyte [13], and as such the further optimization of this configuration is a pressing concern.
One of the key disadvantages of liquid electrolytes is related to solvent evaporation or leakage, which significantly reduces the efficiency of the DSSC device [14]. To circumvent this issue, several higher boiling point solvents such as 3-methoxyproprionitrile (MPN) [15], N-methyl-2-pirrolidone (NMP) [16], ethylene or propylene carbonate [17,18], as well as mixtures with the more typically used acetonitrile (ACN) have been tested [19,20].
One class of solvents that seems promissory as alternative electrolytes are ionic liquids (ILs), given their non-flammability, exceedingly low vapor-pressure and high chemical and thermal stability. In addition to these favorable characteristics, the wide array of available cationic and anionic structures allows for simple fine-tuning of solvent properties. ILs have in fact been widely employed in DSSCs [21,22,23,24] (Table 1, top), with one of the very first reported stable devices possessing 1-methyl-3-hexylimidazolium iodide as the electrolyte [25].
Despite the excellent long stability results, ILs generally demonstrate lower performance when compared with typical organic solvents. This fact is mostly justified with the much higher viscosities of pure ILs, leading to significantly lower diffusion coefficients of the redox mediators and, consequently, lower regeneration of the photo-oxidized dye [29]. One countermeasure for this mass transport limitation is the use of binary or even ternary mixtures of ILs. A successful example of this approach is a report by Bai et al. [22], using a low viscosity IL 1-ethyl-3-methylimidazolium tetracyanoborate ([EMIM][TCB]) as well as a eutectic mixture of 1,3-dimethylimidazolium iodide ([DMIM]I) and 1-methyl-3-propylimidazolium iodide ([C3MIM]I) to achieve an efficiency of 8.2%. By comparison, the same eutectic system employing 1-allyl-3-methylimidazolium iodide ([AMI]I) only reached 7.1%, further underlining the importance of electrolyte viscosity.
Regardless of this improvement, the most efficient devices still correspond to electrolytes containing optimized concentrations of IL as an additive or alternative iodide source (Table 1, bottom) [26,27,28]. One of the first and most successful instances of this type of electrolyte mixture was employed by Nazeeruddin et al. [30], where 0.6 M 1-butyl-3-methylimidazolium iodide ([C4MIM]I) in ACN/valeronitrile (VCN) (85/15 v/v%) was used to achieve a very impressive efficiency of 11.2%. In a separate work by Gao et al. [26], a direct comparison between electrolyte mixtures containing ILs as mixed solvents or as additives was described, where the former achieved an efficiency of 7.4% and the latter 11.0%. This difference was found by electrochemical impedance spectroscopy (EIS) to be a consequence of the much lower diffusion coefficient of the IL-based electrolyte when compared to the organic solvent mixture. Additionally, transient photoelectrochemical measurements indicate a higher recombination rate for the former, presumably because of higher triiodide concentration on the photoanode surface. Both phenomena can be attributed to the previously addressed higher viscosities, which despite being lower for the [EMIM] [TCB] containing mixtures than pure IL, still cannot compete with organic solvent systems.
Currently, the presence of IL additives, particularly [DMIM]I or [C3MIM]I, in electrolyte formulations is near ubiquitous for the most efficient I/I3 based systems [31,32,33], and even in small concentrations (0.01 M) in the Co(II/III)-based electrolyte of the highest efficiency reported to date [13]. Given their prevalence, it is important to ascertain which ILs result in the most significant improvements in conversion efficiency, and how their structure directly affects the photovoltaic parameters. As such, several iodide-based organic salts, including alkylimidazolium, picolinium, guanidinium and tetra-alkylammonium possessing various substituents have been prepared and employed as electrolyte additives in order to evaluate their comparative performance. In addition, the effect of 4-tertbutylpyridine (4-TBP) addition was also investigated and clarified by EIS, where the resulting parameters can be correlated with various structural descriptors.

2. Materials and Methods

2.1. General Information and Instruments

All of the employed solvents and reagents were obtained commercially and used without further purification. Drying of the solvents was achieved as described by Bradley et al. [34], by using with M2A molecular sieves. The 1H and 13C-NMR spectra were acquired at 400 and 101 MHz, respectively, with a Bruker Avance III 400. ESI-MS spectra were obtained with a MS Agilent 6130B Single Quadrupole mass spectrometer after liquid chromatography purification with an LC Agilent 1200 Series system, with H2O/MeOH eluent and a 0.4 mL/min flow.

2.2. DSSC Fabrication and Photovoltaic Characterization

The preparation procedure has been previously described [35]. The conductive FTO glass (TEC7, Greatcell Solar, Queanbeyan, Australia) used was cleaned with detergent water, followed by water and then ethanol. For the preparation of anodes, a blocking layer was first prepared by immersing washed plates with an area of 15 cm × 4 cm in a 40 mM TiCl4/water solution at 70 °C for 30 min, followed by washing with water and ethanol. These were then sintered at 500 °C for 30 min. This layer improves adherence of subsequent TiO2 layers and serves to prevent recombination of electrons in the FTO with the redox mediator. Afterwards, transparent TiO2 layers were deposited on the previously prepared FTO plates by screen-printing a commercially available titania paste (18NR-T, Greatcell Solar, Queanbeyan, Australia) by employing a 43.80 mesh per cm2 polyester fiber frame. After coating, the films were dried at 125 °C on a hot plate, and the coating/dried step was repeated one more time. The coated plates then underwent several gradual steps: 325 °C over the course of 20 min, then 375 °C in 5 min and finally 500 °C over 30 min, remaining at this temperature for 15 min, after which they were slowly cooled to room temperature. Once again, a TiCl4/water solution treatment was performed as mentioned above, to increase the roughness of the TiO2 surface for better dye adsorption. The final step in the anode preparation involved screen-printing deposition of a commercially available reflective TiO2 paste (WER2-O, Greatcell Solar, Queanbeyan, Australia), followed by the same step-wise heating/sintering step. The inclusion of this scattering layer helps further improve photocurrent by scattering photons and allowing their absorption. The large 15 cm × 4 cm plates were then cut into 2 cm × 1.5 cm pieces with a circular anodearea of 0.196 cm2 and a thickness of 15 μm. These individual anodes were then soaked in the dark at room temperature for 2 h in a 0.5 mM ethanolic solution of N719 dye. Excess dye was rinsed off the photoanodes with absolute ethanol.
The counter-electrodes consisted of FTO glass plates with an area of 2 cm × 2 cm in which a hole was drilled. These were then cleaned with water and ethanol to wash away any glass or contaminants. A transparent Pt layer (PT1, Greatcell Solar, Queanbeyan, Australia) was then deposited on the conductive side of the FTO plate by doctor blade: approximately 0.5 cm of the glass edge was covered with adhesive tape (3 M Magic) to control the thickness of the deposited film and to mask an electric contact strip. The paste was then spread on the substrate uniformly by sliding a glass rod along the tape spacer. After removing the strip of tape, the plates were gradually heated over the course of 30 min to a temperature of 550 °C, where they remained for 30 min. The cathode and the previously prepared photoanode were assembled vertically with a hot melt gasket made of Surlyn ionomer (Meltonix 1170–25, Solaronix SA, Aubonne, Switzerland) into a sandwich-type arrangement and sealed with a thermopress. For the preparation of the electrolyte, the redox couple (I/I3) as LiI (0.5 M), IL (0.5 M) and I2 (0.05 M) was dissolved in a can/VCN (85:15, % v/v) mixture. The inclusion of a percentage of VCN as opposed to the exclusive use of ACN reduces the volatility of the electrolyte. In the case of the cells employing 4-TBP, a concentration of 0.5 M was included in addition to the previous components. For the reference cells, the IL was omitted and 1 M LiI was used instead. The drill present in the cathode allowed the injection of the electrolyte into the cell via backfilling under vacuum. Finally, the hole was sealed with adhesive tape.
Two cells were assembled for each compound under identical conditions, with the efficiencies being measured 5 times for each cell for a total of 10 measurements per compound.
A digital Keithley SourceMeter multimeter (PVIV-1A) connected to a PC was used to record the current density-voltage curves under simulated sunlight irradiation from an Oriel solar simulator (Model LCS-100 Small Area Sol1A, 300 W Xe Arc lamp equipped with AM 1.5 filter, 100 mW/cm2). The thickness of the TiO2 photoanode films was measured with an Alpha-Step D600 Stylus Profiler (KLA-Tencor, Milpitas, CA, USA).

2.3. Electrochemical Impedance Spectroscopy

EIS was performed in the DSSC in the dark using an Autolab PGSTAT 12 potentiostat/galvanostat, controlled with GPES/FRA2 software version 4.9 (Eco-Chemie, B.V. Software, Utrecht, The Netherlands) by applying a controlled potential open circuit potential and other potentials with a step potential of 0.1 V and in a frequency range from 10−2 to 106 Hz for the characterization of the material. The obtained response can be represented as Nyquist plots, where the imaginary part of the impedance is plotted vs. the real part over the range of frequencies (0.01 Hz–106 Hz). The resulting impedance spectra were analyzed with Z-view software (v2.8b, Scribner Associates Inc., Connecticut, NC, USA).

2.4. Descriptor Analysis

The 3D structures of the employed cations were generated via ChemAxon standardizer [36] from the SMILES notation available for each compound, and stored in SDF format. From these files, descriptors were generated using Mordred [37] and then processed using Weka 3.8.5 in order to select the most relevant descriptors based on their correlation with the photovoltaic or resistance parameters.

3. Results and Discussion

3.1. Preparation of Iodide Salts

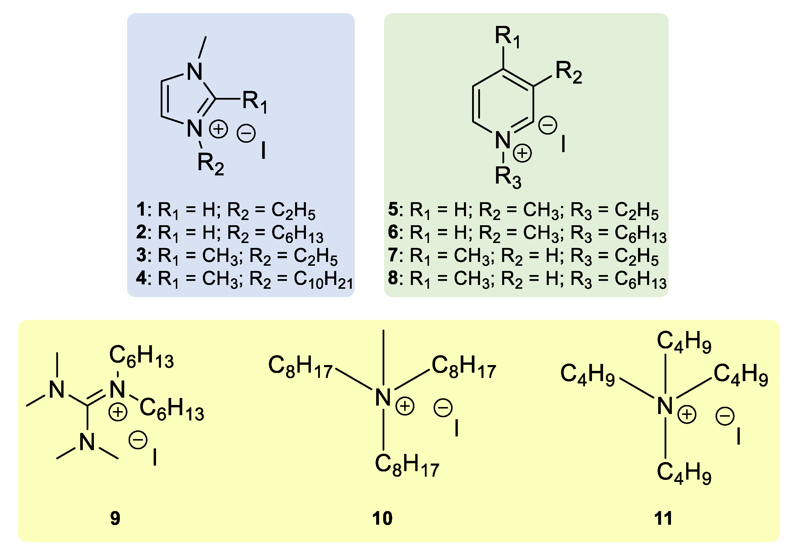
Figure 2 illustrates the chemical structures of all the iodide-based organic salts employed in this study, which can be roughly divided into three categories: Alkylimidazolium (blue), picolinium (green) and tetra-alkylammonium and guanidinium (yellow). The imidazolium salts were prepared as described by Roma-Rodrigues et al. [38], through the simple alkylation with the corresponding alkyl iodide, to directly afford the iodide salt. The picolinium iodides were obtained through a similar method, albeit with the use of microwave heating, as described in the Supplementary Material. Guanidinium salt 9 was prepared as described by Huang et al. [39], while 10 was obtained through the ionic exchange of commercially available Aliquat® 336 with NaI [40]. Tetrabutylammonium iodide (TBAI, 11) is commercially available.

3.2. Photovoltaic Performance

The various iodide-based organic salts were employed as additives in prototype devices, by adding 0.5 M of the respective IL to an electrolyte composition of 0.5 M LiI and 0.05 M I2 in a mixture of ACN/VCN (85:15% v/v). A reference device was used (in non-optimized conditions) for comparison purposes, which did not contain ILs in its composition, using 1 M LiI instead. In all devices, conventional ruthenium dye N719 was employed as photosensitizer. The obtained current density-voltage (J-V) curve and its respective photovoltaic parameters are presented in Table 2 and Figure 3, respectively.
Overall, the addition of the ILs in the electrolyte composition did not result in a substantial change in the overall efficiency when comparing to the reference. The most notable exceptions to this trend are E3 and E6, which show a more significant improvement. For most of the employed salts, the specific shift of the photovoltaic parameters is observed to be a slight gain in open circuit voltage (Voc) as well as fill factor (FF), which generally results from an increase in resistance parameters associated with electron recombination.
A trend of reduction in Voc, Jsc and FF with increase in chain length can be seen for both the MIM and DMIM cation structures, albeit to a lesser extent in the latter case while the opposite trend regarding Voc can be observed for the 3-picolinium family. This latter tendency might be a consequence of the 3-substituted pyridiniums’ hindered lateral assembly on the TiO2 surface, which in turn means that the alkyl chain size has a more pronounced effect on the spatial arrangement of the IL cations, consequently, the Voc. Inversely, the symmetrical 4-substituted pyridinium equivalents can more efficiently assemble laterally, with the charged polar head of the pyridinium lying closer to the photoanode surface. This is in agreement with previously reported results from Jeon et al. [41], where they found that extending the length of the alkyl chain of alkylpyridinium iodides did not result in a significant change in Voc. Meanwhile, the shift in Jsc follows the same trend as the first family, showing a decrease in both parameters with the increase in chain length. This trade-off is consistent with a more efficient blocking of the TiO2 layer by the bulkier picoliniums, which will more effectively restrict the adsorption of the Li+ ions. The adsorption of small cations, such as Li+, on the TiO2 surface possesses a well-known effect on the energy level of its conduction band edge [42]. The shift to more positive energy levels leads to an increase of the injection driving force, which directly translates in a gain in photocurrent.
E10 and E11 showed a very different behavior from all other employed salts. Despite showing two of the highest values for Voc, they also presented the lowest FF values by a wide margin. Additionally, they possess the lowest and highest photocurrent values of the entire set, respectively, which results in the relative worst efficiency for E10, and a very slight gain over the reference for E11. This stark difference from the other groups might result from the different type of steric hindrance possessed by these salts, which unlike the linear alkyl chains of the imidazoliums or picoliniums, possess a wider and bulkier steric effect.
Given the promising photovoltage, and photocurrent in the case of E11, the inclusion of the additive 4-TBP in the electrolyte mixture was considered as a potential solution for the underwhelming FF values. When included in the electrolyte composition, a significant gain in photovoltage and FF can be observed, which translates to a noticeably higher efficiency. This effect, as extensively reported in the literature [43,44,45], can be ascribed to 4-TBP adsorption on the TiO2 surface, causing a shift of the conduction band of TiO2 to more negative values, as well as an effective suppression of recombination from the injected electrons with the redox mediator. Consequently, this will also result in a reduction of the injection driving force, which will be negatively reflected in the photocurrent value.
As such, a second set of test devices, employing a similar composition of 0.5 M LiI, 0.5 M IL and 0.05 M I2 in ACN/VCN (85:15% v/v), with an additional 0.5 M 4-TBP, was prepared and analyzed. A cell employing 1M LiI (with no IL addition), but with the same 0.05 M I2 in ACN/VCN (85:15% v/v) and additional 0.5 M 4-TBP, was used as reference. The J-V curves and the resulting photovoltaic parameters are presented in Table 3 and Figure 4, respectively.
Inclusion of 4-TBP within the electrolyte causes, as anticipated, a significant increase in photovoltage parameters and FF, as well as an expected trade-off in photocurrent, leading to an average efficiency increase of 1.7%. Compared to the reference, all employed electrolytes either matched or improved upon the gain in photovoltage, with the sole exception of E8. Additionally, most of them did not result in a further decrease of Jsc (except E5, E7 and E10).
The imidazolium family showed the most significant enhancement in the presence of 4-TBP, showing an average improvement of 213 mV in Voc and 0.08 in FF, which translates to an average gain of efficiency of 2.13%. The significant improvement over the exclusive use of 4-TBP is reminiscent of the synergistic effect often observed when combining it with another additive, guanidinium thiocyanate (GuNCS) [46,47]. The guanidinium cations reportedly adsorb onto TiO2 and shift the conduction band to more positive values as a consequence of the accumulation of positive charge [48], similarly to Li cations. However, this additive also possesses the property of passivating the semiconductor surface and preventing recombination, which mitigates the photovoltage loss associated with cation adsorption [49]. When combined, these two components can lead to gains in both photovoltage and photocurrent, resulting in overall higher efficiencies.
The picolinium scaffolds constitute an interesting case, where the ethyl substituted salts (E5 and E7), despite showing a noticeable increase in Voc of roughly 219 mV, suffer the most pronounced loss of Jsc, resulting in a comparatively lessened gain of efficiency. Curiously, the hexyl picoliniums show somewhat of an inverse behavior, showing the lowest gain of Voc and some of the lowest loss of Jsc. The increased bulk of these cations might lead to competition with 4-TBP for the available adsorption sites on the TiO2 surface [41], hindering the additives’ effect, while allowing the much smaller Li+ to pass through and adsorb.
As intended, E11 improved significantly regarding its FF value upon addition of 4-TBP, showing the most pronounced increase of 0.11. Despite this, the observed gain of Voc, and consequently efficiency, was underwhelming when compared with the remaining iodides. In contrast, E10 showed no improvement of FF while also suffering a severe loss in photocurrent parameters, resulting in the lowest efficiency increase of 0.55%, less than a third of the average of the tested electrolytes. This unusual interaction warranted further study, which prompted us to analyze the test devices with electrochemical impedance spectroscopy, in order to investigate their interfacial processes [50,51].

3.3. Electrochemical Impedance Measurements

EIS allows the analysis of the interfacial photoelectrochemistry at the various regions of the photovoltaic device, clarifying the effects of the electrolyte components on these processes. The measurements were performed in dark conditions under a forward bias depending on the open circuit potential (OCP) of the cell. In the obtained Nyquist plots (Supplementary Material), two semicircles can be observed: a small semicircle within the high-frequency region, which can be attributed to the charge transfer between the Pt counter-electrode and the electrolyte (RPt), and a larger circle at the middle frequency region, which represents the electron transfer at the TiO2 surface, including the electron diffusion in the semiconductor and the electron back reaction to the oxidized redox species (Rct). Consequently, Rct can be interpreted as the recombination resistance. The equivalent circuit model used for fitting the data is shown in Figure 5 and is composed of a series resistance (Rs), the charge transfer resistances at the Pt (RPt) and TiO2 (Rct) anodes, as well as constant phase elements (CPE1 and CPE2), representing the interfacial capacitance.
The electron lifetime can also be obtained from the Bode phase plots (Supplementary Material), where two distinguishing frequency peaks can be detected. The peak at roughly 10 Hz can be attributed to the charge transfer processes present in the TiO2/electrolyte interface, while the peak in the 103–104 Hz region is indicative of the charge transfer at the Pt counter-electrode [52,53,54]. From the peak at 10 Hz, the frequency corresponding to the maximum angular frequency (ωm), the electron lifetimes (τe) can be obtained according to Equation (1) [55]:
τ = 1 f p
Table 4 shows the impedance parameters obtained for both sets of electrolytes with and without 0.5 M of 4-TBP, respectively.
By comparing the obtained results, the superiority of the imidazoliums in comparison to the remaining electrolytes becomes more apparent. They present, on average, higher values of Rct and τe, indicative of suppressed electron recombination between the injected electrons and the electrolyte, which will reflect positively on the Voc value and, consequently, the conversion efficiency. Additionally, they generally possess the lowest RPt values, a necessary property to ensure effective reduction of the redox-shuttle present in the electrolyte, and in turn regeneration of the photo-oxidized dye [56]. E10 and E11 readily exemplify this, as their high RPt values appear to be a likely cause for their subpar FF values. Interestingly, both electrolytes show near identical FF, despite the former having roughly twice the RPt of the latter, suggesting an upper limit of resistance above which the FF parameter is no longer diminished. A trend of increasing Rct, RPt and τe with increasing chain length can be observed for both the imidazolium and picolinium cations, consistent with a more effective passivation of the electrode surfaces by the bulkier cations.
The inclusion of 4-TBP has the readily apparent effect of increasing both the platinum counter-electrode resistance, the TiO2 diffusion/recombination resistance and the electron lifetime, a result not only of the previously mentioned adsorption/passivation of the semiconductor surface, but also of the platinum cathode [57]. The only exceptions to this increase are E11, which experiences a decrease across all parameters, and E6, which displays a decrease of Rct. Despite the picoliniums showing a greater overall increase in Rct and τe, the imidazoliums are the ones that demonstrate the best balance between the beneficial increase in these two parameters, versus the deleterious increase in RPt, consequently achieving a higher gain in efficiency.
The case of E11 is particularly interesting, given how Rct and τe are halved in the presence of 4-TBP. Once again, this might result from competition between both additives for the photoanode surface, as reported by Zhang et al. [58], leading to an decrease of the presence of the bulkier TBA cation on this interface and, consequently, lower Rct and τe [59].

3.4. Descriptor Analysis

To further rationalize the obtained results, several descriptors were calculated with Mordred [37] based on the 3D structure of the employed cations. Using Weka 3.8.5, descriptors were selected based on their correlation with photovoltaic and resistance parameters, which resulted in the selection of three main descriptors: Relative positive charge (RPCG) [60,61], molecular polarizability (apol) [62] and partition coefficient (logP) [63]. The clear connection between all the descriptors and the polarity of the cation structure underlines the importance of this property on the electrolyte’s performance.
The descriptors showed moderate to good exponential correlations with the counter-electrode resistance (RPt) in the absence of 4-TBP, as can be seen in Figure 6. The inverse relationship between counter electrode resistance and the cation charge density is consistent with findings from Wang et al. [64], where the use of varying inorganic iodides resulted in a similar trend. Given the previously mentioned importance of this resistance parameter, the ability to roughly estimate its magnitude from a molecular descriptor is a valuable tool in the design of future electrolyte mixtures.
It was also possible to observe a general trend of decreasing Voc with increasing molecular polarizability in the 4-TBP set (Figure 7). This decrease curiously plateaus at roughly 650 mV (excluding E8), which corresponds to the photovoltage value of the reference mixture. This once again might be suggestive of a synergistic effect between the salts and 4-TBP, particularly for cations with low polarizability, which is in agreement with the known synergy between 4-TBP and GuNCS [46], another small cation with low polarizability.
The use of organic salts and ILs as electrolytes or redox mediators for application in DSSCs [65,66] is an interesting topic for academia as well as industry and further investigation is mainly required.

4. Conclusions

Iodide-based organic salts of various classes, including methyl and dimethylimidazolium, 3- and 4-picolinium, hexa-alkylguanidinium and tetra-alkylamonium, were prepared and employed as alternative iodide sources in electrolyte mixtures for DSSC devices. In general, a reduction in Voc, Jsc and FF was observed with the increase of the chain length of imidazolium-based electrolytes. Regarding Voc, the opposite trend was observed for the 3-picolinium electrolytes, while in the case of 4-picolinium essentially no change was present. The addition of 4-TBP to the electrolyte formulation is beneficial in order to increase the photovoltage and FF parameters. The reason for this improvement can be related to a synergistic effect between this addtive and the imidazolium species. Inversely, the picolinium salts showed two clearly distinct behaviours depending on the presence of an ethyl or hexyl chain with the latter showing noticeably lower increases in Voc and decreases in Jsc, suggesting competitive behavior between this group of bulkier cations and 4-TBP. Electrochemical impedance (EIS) of the prepared devices allowed us to highlight the key role of the counter electrode resistance (RPt) on device performance, namely its inverse relationship with the FF parameter. It is important to emphasize that the correlation between this parameter and the molecular structure of the employed cations was then clarified through the use of various molecular descriptors, namely RPCG, apol and LogP, where it was found that RPt decreases with increasing charge density. Further exploration of chemoinformatic and machine-learning methods for the purpose of structure-performance clarification of electrolyte formulations is a promising research avenue for the further increase of DSSC efficiency.
The discovery of stable and sustainable electrolyte formulations is crucial for higher performances in DSSCs and in this context it is clear that organic salts and ILs can be useful as efficient additives.

Supplementary Materials

The following supporting information can be downloaded at: https://www.mdpi.com/article/10.3390/nano12172988/s1, the detailed synthetic procedures for the picolinium iodides, the NMR spectral data and the Nyquist and Bode plots of the EIS measurements for the various employed electrolytes [39].

Author Contributions

Conceptualization, L.C.B. and J.C.L.; methodology, L.C.B., J.C.L. and P.S.B.; validation, L.C.B., J.C.L. and P.S.B.; formal analysis, A.L.P., J.S. and H.C.; investigation, J.S., A.L.P., H.C., G.M. and N.J.; resources, L.C.B., J.C.L. and P.S.B.; data curation, L.C.B., J.C.L. and P.S.B.; writing—original draft preparation, J.S., A.L.P. and H.C.; writing—review and editing, L.C.B., J.C.L. and P.S.B.; visualization, J.S., A.L.P. and H.C.; supervision, L.C.B., J.C.L. and P.S.B.; project administration, L.C.B. and P.S.B.; funding acquisition, L.C.B. and P.S.B. All authors have read and agreed to the published version of the manuscript.

Funding

This work was performed under the project PTDC/QUI-QOR/7450/2020 “Organic Redox Mediators For Energy Conversion” through Fundação para a Ciência e a Tecnologia I. P.-FCT. Additional support includes the Associate Laboratory for Green Chemistry–LAQV, financed by national funds from FCT/MCTES (UIDB/50006/2020 and UIDP/50006/2020). FCT/MCTES is also acknowledged for the National NMR Facility (RECI/BBB-BQB/0230/2012 and RECI/BBB-BEP/0124/2012,) and Ph.D. grants 2020.09047.BD (J.S.), PD/BD/135087/2017 (A.L.P.) and PD/BD/145324/2019/ (G.M.).

Institutional Review Board Statement

Not applicable.

Informed Consent Statement

Not applicable.

Data Availability Statement

The data provided in this study are available in the article and Supplementary Material file submitted.

Acknowledgments

The authors acknowledge their respective current institutions of affiliation: Universidade NOVA de Lisboa.

Conflicts of Interest

The authors declare no conflict of interest.

References

  1. Devadiga, D.; Selvakumar, M.; Shetty, P.; Santosh, M.S. Dye-Sensitized Solar Cell for Indoor Applications: A Mini-Review. J. Electron. Mater. 2021, 50, 3187–3206. [Google Scholar] [CrossRef]
  2. Aslam, A.; Mehmood, U.; Arshad, M.H.; Ishfaq, A.; Zaheer, J.; Khan, A.U.; Sufyan, M. Dye-sensitized solar cells (DSSCs) as a potential photovoltaic technology for the self-powered internet of things (IoTs) applications. Sol. Energy 2020, 207, 874–892. [Google Scholar] [CrossRef]
  3. Kim, J.H.; Han, S.H. Energy Generation Performance of Window-Type Dye-Sensitized Solar Cells by Color and Transmittance. Sustainability 2020, 12, 8961. [Google Scholar] [CrossRef]
  4. Bella, F.; Galliano, S.; Gerbaldi, C.; Viscardi, G. Cobalt-Based Electrolytes for Dye-Sensitized Solar Cells: Recent Advances towards Stable Devices. Energies 2016, 9, 384. [Google Scholar] [CrossRef]
  5. Hao, Y.; Yang, W.X.; Zhang, L.; Jiang, R.; Mijangos, E.; Saygili, Y.; Hammarstrom, L.; Hagfeldt, A.; Boschloo, G. A small electron donor in cobalt complex electrolyte significantly improves efficiency in dye-sensitized solar cells. Nat. Commun. 2016, 7, 13934. [Google Scholar] [CrossRef]
  6. Saygili, Y.; Soderberg, M.; Pellet, N.; Giordano, F.; Cao, Y.M.; Munoz-Garcia, A.B.; Zakeeruddin, S.M.; Vlachopoulos, N.; Pavone, M.; Boschloo, G.; et al. Copper Bipyridyl Redox Mediators for Dye-Sensitized Solar Cells with High Photovoltage. J. Am. Chem. Soc. 2016, 138, 15087–15096. [Google Scholar] [CrossRef]
  7. Zhang, D.; Stojanovic, M.; Ren, Y.M.; Cao, Y.M.; Eickemeyer, F.T.; Socie, E.; Vlachopoulos, N.; Moser, J.E.; Zakeeruddin, S.M.; Hagfeldt, A.; et al. A molecular photosensitizer achieves a V-oc of 1.24V enabling highly efficient and stable dye-sensitized solar cells with copper(II/I)-based electrolyte. Nat. Commun. 2021, 12, 1777. [Google Scholar] [CrossRef]
  8. Xiang, W.C.; Huang, W.C.; Bach, U.; Spiccia, L. Stable high efficiency dye-sensitized solar cells based on a cobalt polymer gel electrolyte. Chem. Commun. 2013, 49, 8997–8999. [Google Scholar] [CrossRef]
  9. Hwang, D.K.; Nam, J.E.; Jo, H.J.; Sung, S.J. Quasi-solid state electrolyte for semi-transparent bifacial dye-sensitized solar cell with over 10% power conversion efficiency. J. Power Sources 2017, 361, 87–95. [Google Scholar] [CrossRef]
  10. Buraidah, M.H.; Shah, S.; Teo, L.P.; Chowdhury, F.I.; Careem, M.A.; Albinsson, I.; Mellander, B.E.; Arof, A.K. High efficient dye sensitized solar cells using phthaloylchitosan based gel polymer electrolytes. Electrochim. Acta 2017, 245, 846–853. [Google Scholar] [CrossRef]
  11. Li, X.; Xu, B.; Liu, P.; Hu, Y.; Kloo, L.; Hua, J.L.; Sun, L.C.; Tian, H. Molecular engineering of D-A-pi-A sensitizers for highly efficient solid-state dye-sensitized solar cells. J. Mater. Chem. A 2017, 5, 3157–3166. [Google Scholar] [CrossRef]
  12. Cao, Y.M.; Saygili, Y.; Ummadisingu, A.; Teuscher, J.; Luo, J.S.; Pellet, N.; Giordano, F.; Zakeeruddin, S.M.; Moser, J.E.; Freitag, M.; et al. 11% efficiency solid-state dye-sensitized solar cells with copper(II/I) hole transport materials. Nat. Commun. 2017, 8, 15390. [Google Scholar] [CrossRef] [PubMed]
  13. Kakiage, K.; Aoyama, Y.; Yano, T.; Oya, K.; Fujisawa, J.; Hanaya, M. Highly-efficient dye-sensitized solar cells with collaborative sensitization by silyl-anchor and carboxy-anchor dyes. Chem. Commun. 2015, 51, 15894–15897. [Google Scholar] [CrossRef]
  14. Harikisun, R.; Desilvestro, H. Long-term stability of dye solar cells. Sol. Energy 2011, 85, 1179–1188. [Google Scholar] [CrossRef]
  15. Venkatesan, S.; Lin, W.H.; Teng, H.S.; Lee, Y.L. High-Efficiency Bifacial Dye-Sensitized Solar Cells for Application under Indoor Light Conditions. ACS Appl. Mater. Interfaces 2019, 11, 42780–42789. [Google Scholar] [CrossRef]
  16. Mohanty, S.P.; Bhargava, P. Impact of Electrolytes Based on Different Solvents on the Long Term Stability of Dye Sensitized Solar Cells. Electrochim. Acta 2015, 168, 111–115. [Google Scholar] [CrossRef]
  17. Lee, H.S.; Bae, S.H.; Jo, Y.; Kim, K.J.; Jun, Y.; Han, C.H. A high temperature stable electrolyte system for dye-sensitized solar cells. Electrochim. Acta 2010, 55, 7159–7165. [Google Scholar] [CrossRef]
  18. Subramania, A.; Vijayakumar, E.; Sivasankar, N.; Priya, A.R.S.; Kim, K.J. Effect of different compositions of ethylene carbonate and propylene carbonate containing iodide/triiodide redox electrolyte on the photovoltaic performance of DSSC. Ionics 2013, 19, 1649–1653. [Google Scholar] [CrossRef]
  19. Tedla, A.; Tai, Y.A. Influence of binary solvent system on the stability and efficiency of liquid dye sensitized solar cells. J. Photochem. Photobiol. A-Chem. 2018, 358, 70–75. [Google Scholar] [CrossRef]
  20. Belessiotis, G.V.; Antoniadou, M.; Ibrahim, I.; Karagianni, C.S.; Falaras, P. Universal electrolyte for DSSC operation under both simulated solar and indoor fluorescent lighting. Mater. Chem. Phys. 2022, 277, 125543. [Google Scholar] [CrossRef]
  21. Abu Talip, R.A.; Yahya, W.Z.N.; Bustam, M.A. Ionic Liquids Roles and Perspectives in Electrolyte for Dye-Sensitized Solar Cells. Sustainability 2020, 12, 7598. [Google Scholar] [CrossRef]
  22. Bai, Y.; Cao, Y.M.; Zhang, J.; Wang, M.; Li, R.Z.; Wang, P.; Zakeeruddin, S.M.; Gratzel, M. High-performance dye-sensitized solar cells based on solvent-free electrolytes produced from eutectic melts. Nat. Mater. 2008, 7, 626–630. [Google Scholar] [CrossRef] [PubMed]
  23. Wang, P.; Wenger, B.; Humphry-Baker, R.; Moser, J.E.; Teuscher, J.; Kantlehner, W.; Mezger, J.; Stoyanov, E.V.; Zakeeruddin, S.M.; Gratzel, M. Charge separation and efficient light energy conversion in sensitized mesoscopic solar cells based on binary ionic liquids. J. Am. Chem. Soc. 2005, 127, 6850–6856. [Google Scholar] [CrossRef] [PubMed]
  24. Fang, Y.Y.; Ma, P.; Cheng, H.B.; Tan, G.Y.; Wu, J.X.; Zheng, J.X.; Zhou, X.W.; Fang, S.B.; Dai, Y.H.; Lin, Y. Synthesis of Low-Viscosity Ionic Liquids for Application in Dye-Sensitized Solar Cells. Chem.-Asian J. 2019, 14, 4201–4206. [Google Scholar] [CrossRef]
  25. Papageorgiou, N.; Athanassov, Y.; Armand, M.; Bonhote, P.; Pettersson, H.; Azam, A.; Gratzel, M. The performance and stability of ambient temperature molten salts for solar cell applications. J. Electrochem. Soc. 1996, 143, 3099–3108. [Google Scholar] [CrossRef]
  26. Gao, F.; Wang, Y.; Shi, D.; Zhang, J.; Wang, M.; Jing, X.; Humphry-Baker, R.; Wang, P.; Zakeeruddin, S.M.; Grätzel, M. Enhance the Optical Absorptivity of Nanocrystalline TiO2 Film with High Molar Extinction Coefficient Ruthenium Sensitizers for High Performance Dye-Sensitized Solar Cells. J. Am. Chem. Soc. 2008, 130, 10720–10728. [Google Scholar] [CrossRef]
  27. Sauvage, F.; Chhor, S.; Marchioro, A.; Moser, J.E.; Graetzel, M. Butyronitrile-Based Electrolyte for Dye-Sensitized Solar Cells. J. Am. Chem. Soc. 2011, 133, 13103–13109. [Google Scholar] [CrossRef]
  28. Chen, X.J.; Xu, D.; Qiu, L.H.; Li, S.C.; Zhang, W.; Yan, F. Imidazolium functionalized TEMPO/iodide hybrid redox couple for highly efficient dye-sensitized solar cells. J. Mater. Chem. A 2013, 1, 8759–8765. [Google Scholar] [CrossRef]
  29. Yu, Z.; Gorlov, M.; Nissfolk, J.; Boschloo, G.; Kloo, L. Investigation of Iodine Concentration Effects in Electrolytes for Dye-Sensitized Solar Cells. J. Phys. Chem. C 2010, 114, 10612–10620. [Google Scholar] [CrossRef]
  30. Nazeeruddin, M.K.; De Angelis, F.; Fantacci, S.; Selloni, A.; Viscardi, G.; Liska, P.; Ito, S.; Bessho, T.; Gratzel, M. Combined experimental and DFT-TDDFT computational study of photoelectrochemical cell ruthenium sensitizers. J. Am. Chem. Soc. 2005, 127, 16835–16847. [Google Scholar] [CrossRef]
  31. Yella, A.; Mai, C.L.; Zakeeruddin, S.M.; Chang, S.N.; Hsieh, C.H.; Yeh, C.Y.; Gratzel, M. Molecular Engineering of Push-Pull Porphyrin Dyes for Highly Efficient Dye-Sensitized Solar Cells: The Role of Benzene Spacers. Angew. Chem.-Int. Edit. 2014, 53, 2973–2977. [Google Scholar] [CrossRef] [PubMed]
  32. Xie, Y.S.; Tang, Y.Y.; Wu, W.J.; Wang, Y.Q.; Liu, J.C.; Li, X.; Tian, H.; Zhu, W.H. Porphyrin Cosensitization for a Photovoltaic Efficiency of 11.5%: A Record for Non-Ruthenium Solar Cells Based on Iodine Electrolyte. J. Am. Chem. Soc. 2015, 137, 14055–14058. [Google Scholar] [CrossRef] [PubMed]
  33. Ji, J.M.; Zhou, H.R.; Eom, Y.K.; Kim, C.H.; Kim, H.K. 14.2% Efficiency Dye-Sensitized Solar Cells by Co-sensitizing Novel Thieno 3,2-b indole-Based Organic Dyes with a Promising Porphyrin Sensitizer. Adv. Energy Mater. 2020, 10, 12. [Google Scholar] [CrossRef]
  34. Bradley, D.; Williams, G.; Lawton, M. Drying of Organic Solvents: Quantitative Evaluation of the Efficiency of Several Desiccants. J. Org. Chem. 2010, 75, 8351–8354. [Google Scholar] [CrossRef]
  35. Pinto, A.L.; Oliveira, J.; Araujo, P.; Calogero, G.; de Freitas, V.; Pina, F.; Parola, A.J.; Lima, J.C. Study of the multi-equilibria of red wine colorants pyranoanthocyanins and evaluation of their potential in dye-sensitized solar cells. Sol. Energy 2019, 191, 100–108. [Google Scholar] [CrossRef]
  36. JChem 21.4.5 2021, ChemAxon. Available online: https://www.chemaxon.com/ (accessed on 13 December 2020).
  37. Moriwaki, H.; Tian, Y.S.; Kawashita, N.; Takagi, T. Mordred: A molecular descriptor calculator. J. Cheminform. 2018, 10, 1–14. [Google Scholar] [CrossRef]
  38. Roma-Rodrigues, C.; Malta, G.; Peixoto, D.; Ferreira, L.M.; Baptista, P.V.; Fernandes, A.R.; Branco, P.S. Synthesis of new hetero-arylidene-9(10H)-anthrone derivatives and their biological evaluation. Bioorg. Chem. 2020, 99, 103849. [Google Scholar] [CrossRef]
  39. Huang, J.; Riisager, A.; Wasserscheid, P.; Fehrmann, R. Reversible physical absorption of SO2 by ionic liquids. Chem. Commun. 2006, 38, 4027–4029. [Google Scholar] [CrossRef]
  40. Nguyen, V.T.; Riano, S.; Binnemans, K. Separation of precious metals by split-anion extraction using water-saturated ionic liquids. Green Chem. 2020, 22, 8375–8388. [Google Scholar] [CrossRef]
  41. Jeon, S.; Jo, Y.; Kim, K.-J.; Jun, Y.; Han, C.-H. High Performance Dye-Sensitized Solar Cells with Alkylpyridinium Iodide Salts in Electrolytes. ACS Appl. Mater. Interfaces 2011, 3, 512–516. [Google Scholar] [CrossRef]
  42. Liu, Y.; Hagfeldt, A.; Xiao, X.R.; Lindquist, S.E. Investigation of influence of redox species on the interfacial energetics of a dye-sensitized nanoporous TiO2 solar cell. Sol. Energy Mater. Sol. Cells 1998, 55, 267–281. [Google Scholar] [CrossRef]
  43. Boschloo, G.; Haggman, L.; Hagfeldt, A. Quantification of the effect of 4-tert-butylpyridine addition to I-/I-3(-) redox electrolytes in dye-sensitized nanostructured TiO2 solar cells. J. Phys. Chem. B 2006, 110, 13144–13150. [Google Scholar] [CrossRef] [PubMed]
  44. Yang, L.; Lindblad, R.; Gabrielsson, E.; Boschloo, G.; Rensmo, H.; Sun, L.C.; Hagfeldt, A.; Edvinsson, T.; Johansson, E.M.J. Experimental and Theoretical Investigation of the Function of 4-tert-Butyl Pyridine for Interface Energy Level Adjustment in Efficient Solid-State Dye-Sensitized Solar Cells. ACS Appl. Mater. Interfaces 2018, 10, 11572–11579. [Google Scholar] [CrossRef] [PubMed]
  45. Phan, T.A.P.; Nguyen, N.P.; Nguyen, L.T.; Nguyen, P.H.; Le, T.K.; Huynh, T.V.; Lund, T.; Tsai, D.H.; Wei, T.C.; Nguyen, P.T. Direct experimental evidence for the adsorption of 4-tert-butylpyridine and 2,2′-bipyridine on TiO2 surface and their influence on dye-sensitized solar cells’ performance. Appl. Surf. Sci. 2020, 509, 144878. [Google Scholar] [CrossRef]
  46. Stergiopoulos, T.; Rozi, E.; Karagianni, C.S.; Falaras, P. Influence of electrolyte co-additives on the performance of dye-sensitized solar cells. Nanoscale Res. Lett. 2011, 6, 307. [Google Scholar] [CrossRef] [PubMed]
  47. Wang, Y.Q.; Lu, J.; Yin, J.; Lu, G.; Cui, Y.M.; Wang, S.S.; Deng, S.Y.; Shan, D.; Tao, H.L.; Sun, Y.M. Influence of 4-tert-butylpyridine/guanidinium thiocyanate co-additives on band edge shift and recombination of dye-sensitized solar cells: Experimental and theoretical aspects. Electrochim. Acta 2015, 185, 69–75. [Google Scholar] [CrossRef]
  48. Zhang, C.N.; Huang, Y.; Huo, Z.P.; Chen, S.H.; Dai, S.Y. Photoelectrochemical Effects of Guanidinium Thiocyanate on Dye-Sensitized Solar Cell Performance and Stability. J. Phys. Chem. C 2009, 113, 21779–21783. [Google Scholar] [CrossRef]
  49. Kopidakis, N.; Neale, N.R.; Frank, A.J. Effect of an adsorbent on recombination and band-edge movement in dye-sensitized TiO2 solar cells: Evidence for surface passivation. J. Phys. Chem. B 2006, 110, 12485–12489. [Google Scholar] [CrossRef]
  50. Pan, M.M.; Huang, N.; Zhao, X.Z.; Fu, J.; Zhong, X.L. Enhanced Efficiency of Dye-Sensitized Solar Cell by High Surface Area Anatase-TiO2-Modified P25 Paste. J. Nanomater. 2013, 2013, 3. [Google Scholar] [CrossRef]
  51. Dissanayake, M.; Umair, K.; Senadeera, G.K.R.; Kumari, J. Effect of electrolyte conductivity, co-additives and mixed cation iodide salts on efficiency enhancement in dye sensitized solar cells with acetonitrile-free electrolyte. J. Photochem. Photobiol. A-Chem. 2021, 415, 113308. [Google Scholar] [CrossRef]
  52. Longo, C.; Nogueira, A.F.; De Paoli, M.A.; Cachet, H. Solid-state and flexible dye-sensitized TiO2 solar cells: A study by electrochemical impedance spectroscopy. J. Phys. Chem. B 2002, 106, 5925–5930. [Google Scholar] [CrossRef]
  53. Tian, H.J.; Hu, L.H.; Zhang, C.N.; Chen, S.H.; Sheng, J.A.; Mo, L.; Liu, W.Q.; Dai, S.Y. Enhanced photovoltaic performance of dye-sensitized solar cells using a highly crystallized mesoporous TiO2 electrode modified by boron doping. J. Mater. Chem. 2011, 21, 863–868. [Google Scholar] [CrossRef]
  54. Subramanian, A.; Wang, H.W. Effect of hydroxyl group attachment on TiO2 films for dye-sensitized solar cells. Appl. Surf. Sci. 2012, 258, 7833–7838. [Google Scholar] [CrossRef]
  55. Mingsukang, M.A.; Buraidah, M.H.; Careem, M.A. Development of gel polymer electrolytes for application in quantum dot-sensitized solar cells. Ionics 2017, 23, 347–355. [Google Scholar] [CrossRef]
  56. Yun, S.N.; Hagfeldt, A.; Ma, T.L. Pt-Free Counter Electrode for Dye-Sensitized Solar Cells with High Efficiency. Adv. Mater. 2014, 26, 6210–6237. [Google Scholar] [CrossRef] [PubMed]
  57. Kim, J.Y.; Kim, J.Y.; Lee, D.K.; Kim, B.; Kim, H.; Ko, M.J. Importance of 4-tert-Butylpyridine in Electrolyte for Dye-Sensitized Solar Cells Employing SnO2 Electrode. J. Phys. Chem. C 2012, 116, 22759–22766. [Google Scholar] [CrossRef]
  58. Zhang, S.F.; Yang, X.D.; Zhang, K.; Chen, H.; Yanagida, M.; Han, L.Y. Effects of 4-tert-butylpyridine on the quasi-Fermi levels of TiO2 films in the presence of different cations in dye-sensitized solar cells. Phys. Chem. Chem. Phys. 2011, 13, 19310–19313. [Google Scholar] [CrossRef]
  59. Nakade, S.; Kanzaki, T.; Kubo, W.; Kitamura, T.; Wada, Y.; Yanagida, S. Role of electrolytes on charge recombination in dye-sensitized TiO2 solar cell (1): The case of solar cells using the I-/I3(-) redox couple. J. Phys. Chem. B 2005, 109, 3480–3487. [Google Scholar] [CrossRef]
  60. Stanton, D.T.; Jurs, P.C. Development and use of charged partial surface-area structural descriptors in computer-assisted quantitative structure property relationship studies. Anal. Chem. 1990, 62, 2323–2329. [Google Scholar] [CrossRef]
  61. Stanton, D.T.; Egolf, L.M.; Jurs, P.C.; Hicks, M.G. Computer-assidted prediction of normal boiling points of pyrans and pyrroles. J. Chem. Inf. Comput. Sci. 1992, 32, 306–316. [Google Scholar] [CrossRef]
  62. Atkins, P.W.; Atkins, P.C.F.L.C.P.; Press, O.U.; Atkins, P.C.U.O.F.P.W. Quanta: A Handbook of Concepts; Oxford University Press: Oxford, UK, 1991. [Google Scholar]
  63. Sangster, J.M. Octanol-Water Partition Coefficients: Fundamentals and Physical Chemistry; Wiley: Hoboken, NJ, USA, 1997. [Google Scholar]
  64. Wang, H.X.; Bell, J.; Desilvestro, J.; Bertoz, M.; Evans, G. Effect of inorganic iodides on performance of dye-sensitized solar cells. J. Phys. Chem. C 2007, 111, 15125–15131. [Google Scholar] [CrossRef]
  65. Son, K.M.; Kang, M.G.; Vittal, R.; Lee, J.; Kim, K.J. Effects of substituents of imidazolium cations on the performance of dye-sensitized TiO2 solar cells. J. Appl. Electrochem. 2008, 38, 1647–1652. [Google Scholar] [CrossRef]
  66. Denizalti, S.; Ali, A.K.; Ela, C.; Ekmekci, M.; Erten-Ela, S. Dye-sensitized solar cells using ionic liquids as redox mediator. Chem. Phys. Lett. 2018, 691, 373–378. [Google Scholar] [CrossRef]
Figure 1. Schematic representation of the operating principles of a DSSC device.
Figure 1. Schematic representation of the operating principles of a DSSC device.
Nanomaterials 12 02988 g001
Figure 2. Chemical structures of the iodide-based organic salts synthesized and employed as additives in this work.
Figure 2. Chemical structures of the iodide-based organic salts synthesized and employed as additives in this work.
Nanomaterials 12 02988 g002
Figure 3. J-V curves of the test cells employing the various the iodide-based organic salts as additives under 100 mW cm−2 simulated AM 1.5G illumination. The above results correspond to the best performing cell.
Figure 3. J-V curves of the test cells employing the various the iodide-based organic salts as additives under 100 mW cm−2 simulated AM 1.5G illumination. The above results correspond to the best performing cell.
Nanomaterials 12 02988 g003
Figure 4. J-V curves of the test cells employing the various iodide-based organic salts and 0.5 M 4-TBP as additives, under 100 mW cm−2 simulated AM 1.5G illumination. The above results correspond to the best performing cell.
Figure 4. J-V curves of the test cells employing the various iodide-based organic salts and 0.5 M 4-TBP as additives, under 100 mW cm−2 simulated AM 1.5G illumination. The above results correspond to the best performing cell.
Nanomaterials 12 02988 g004
Figure 5. Representation of the equivalent circuit used to fit the EIS data.
Figure 5. Representation of the equivalent circuit used to fit the EIS data.
Nanomaterials 12 02988 g005
Figure 6. Exponential correlations between the counter-electrode resistance (RPt) and the relative positive charge (RPCG), molecular polarizability (apol) and partition coefficient (logP) descriptors for the 4-TBP free set.
Figure 6. Exponential correlations between the counter-electrode resistance (RPt) and the relative positive charge (RPCG), molecular polarizability (apol) and partition coefficient (logP) descriptors for the 4-TBP free set.
Nanomaterials 12 02988 g006
Figure 7. Exponential correlations between the counter-electrode resistance (RPt) and the relative positive charge (RPCG), molecular polarizability (apol) and partition coefficient (logP) descriptors for the 4-TBP free set.
Figure 7. Exponential correlations between the counter-electrode resistance (RPt) and the relative positive charge (RPCG), molecular polarizability (apol) and partition coefficient (logP) descriptors for the 4-TBP free set.
Nanomaterials 12 02988 g007
Table 1. Photovoltaic parameters of several examples of IL electrolytes as pure solvents (top) and as additives in other organic solvents (bottom).
Table 1. Photovoltaic parameters of several examples of IL electrolytes as pure solvents (top) and as additives in other organic solvents (bottom).
Electrolyte MixtureDyeVoc (V)Jsc (mA/cm2)FFη (%)Ref.
Solvent
I2/NBB/GuNCS in [DMIM]I/[C3MIM]I/[EMIM][TCB]Z907Na0.74114.260.778.20[22]
I2/NBB in [C3MIM]I/EMImTCMZ907Na0.75212.810.767.40[23]
I2/NMBI/LiI/GuNCS in HeMImIN30.72513.520.706.82[24]
Additive
[DMIM]I/I2/GuNCS/4-TBP/LiI in ACN/VN (85/15)C1010.77817.940.7911.0[26]
[DMIM]I/I2/NBB/GuNCS/NaI in BNC1060.73317.900.7610.0[27]
[C3MIM]I/[MIm-TEMPO][TFSI]/NOBF4/LiTFSI/NBB in MPND2050.72918.40.618.2[28]
Note: NBB = N-Butylbenzimidazole; GuNCS = guanidinium thiocyanate; EMImTCM = 1-ethyl-3-methylimidazolium tricyanomethanide; NMBI = N-methylbenzimidazole; HeMImI = 1-(3-hexenyl)-3-methyl imidazoliums; BMTrI = 1-methyl-3-butyl-1,2,3-triazolium iodide; BN = butyronitrile [MIm-TEMPO] [TFSI] = 1-methyl-3-(2-oxo-2-(2,2,6,6-tetramethyl-1-oxyl-4-piperidoxyl) butyl)imidazolium bis(trifluoromethanesulfonyl)imide.
Table 2. Performance values of the test cells employing the various iodide-based organic salts as additives under 100 mW cm−2 AM 1.5G illumination. The results correspond to the average of five measurements of two cells per electrolyte mixture.
Table 2. Performance values of the test cells employing the various iodide-based organic salts as additives under 100 mW cm−2 AM 1.5G illumination. The results correspond to the average of five measurements of two cells per electrolyte mixture.
NameCationVoc (V)Jsc (mA/cm2)FFη (%)
E1[C2MIM]0.465 ± 0.00814.35 ± 0.240.64 ± 0.0134.27 ± 0.04
E2[C6MIM]0.454 ± 0.02214.00 ± 0.890.61 ± 0.0103.85 ± 0.05
E3[C2DMIM]0.483 ± 0.00814.78 ± 0.130.63 ± 0.0114.48 ± 0.03
E4[C10DMIM]0.464 ± 0.00514.57 ± 0.070.62 ± 0.0074.20 ± 0.02
E5[C2-3PIC]0.461 ± 0.00714.52 ± 0.090.64 ± 0.0104.25 ± 0.03
E6[C6-3PIC]0.493 ± 0.01114.13 ± 0.340.64 ± 0.0094.45 ± 0.18
E7[C2-4PIC]0.470 ± 0.01413.92 ± 0.270.65 ± 0.0064.27 ± 0.19
E8[C6-4PIC]0.475 ± 0.00613.89 ± 0.640.63 ± 0.0204.16 ± 0.28
E9[C6-TMG]0.472 ± 0.00713.81 ± 0.080.63 ± 0.0064.13 ± 0.09
E10[ALIQUAT]0.492 ± 0.01313.75 ± 0.210.56 ± 0.0223.78 ± 0.11
E11[TBA]0.493 ± 0.00815.08 ± 0.030.57 ± 0.0044.21 ± 0.10
Ref---0.470 ± 0.00514.55 ± 0.550.61 ± 0.0214.15 ± 0.12
Table 3. Performance values of the test cells employing the various iodide-based organic salts as additives in combination with 4-TBP under 100 mW cm−2 AM 1.5G illumination. The results correspond to the average of five measurements of two cells per electrolyte mixture.
Table 3. Performance values of the test cells employing the various iodide-based organic salts as additives in combination with 4-TBP under 100 mW cm−2 AM 1.5G illumination. The results correspond to the average of five measurements of two cells per electrolyte mixture.
NameCationVoc (mV)Jsc (mA/cm2)FFη (%)
E1[C2MIM]0.688 ± 0.01313.06 ± 0.150.71 ± 0.0056.37 ± 0.06
E2[C6MIM]0.679 ± 0.01013.41 ± 0.100.70 ± 0.0076.39 ± 0.05
E3[C2DMIM]0.690 ± 0.00813.05 ± 0.130.72 ± 0.0056.48 ± 0.09
E4[C10DMIM]0.661 ± 0.00813.26 ± 0.200.69 ± 0.0096.08 ± 0.14
E5[C2-3PIC]0.672 ± 0.00411.19 ± 0.250.70 ± 0.0065.28 ± 0.14
E6[C6-3PIC]0.657 ± 0.00913.36 ± 0.310.69 ± 0.0126.07 ± 0.14
E7[C2-4PIC]0.696 ± 0.00712.02 ± 0.040.69 ± 0.0185.75 ± 0.10
E8[C6-4PIC]0.633 ± 0.00713.94 ± 0.110.69 ± 0.0106.13 ± 0.11
E9[C6-TMG]0.657 ± 0.00913.40 ± 0.070.69 ± 0.0186.09 ± 0.10
E10[ALIQUAT]0.676 ± 0.01311.71 ± 0.260.55 ± 0.0334.33 ± 0.27
E11[TBA]0.663 ± 0.01313.08 ± 0.220.68 ± 0.0165.90 ± 0.09
Ref---0.655 ± 0.00813.07 ± 0.180.70 ± 0.0056.00 ± 0.05
Table 4. EIS parameters for the test cells employing the various iodide-based organic salts as additives, with (*) and without 4-TBP, obtained from the Nyquist plots.
Table 4. EIS parameters for the test cells employing the various iodide-based organic salts as additives, with (*) and without 4-TBP, obtained from the Nyquist plots.
NameCationRs (Ω/cm2)RPt (Ω/cm2)Rct (Ω/cm2)τe (ms)
E1/E1 *[C2MIM]1.363/1.1400.855/1.4868.581/12.0464.57/7.88
E2/E2 *[C6MIM]1.380/1.2241.152/1.74012.154/16.1586.03/9.54
E3/E3 *[C2DMIM]1.312/1.4590.975/1.13711.323/15.5317.14/9.70
E4/E4 *[C10DMIM]1.014/1.5942.080/2.49516.523/17.27310.27/10.87
E5/E5 *[C2-3PIC]1.636/1.3081.318/2.4836.860/16.6543.05/8.36
E6/E6 *[C6-3PIC]1.479/1.1351.554/2.25810.684/9.8295.24/5.90
E7/E7 *[C2-4PIC]0.965/1.6751.019/2.7687.462/9.6243.72/5.55
E8/E8 *[C6-4PIC]1.611/1.5112.297/3.26910.016/13.5085.30/7.99
E9/E9 *[C6-TMG]1.085/1.3982.146/2.4368.291/17.8855.46/10.86
E10/E10 *[ALIQUAT]1.443/1.4577.244/12.1238.942/15.4157.77/11.70
E11/E11 *[TBA]1.030/1.3733.702/3.48924.912/17.77521.79/11.24
Ref/Ref *---1.483/1.4341.076/1.5017.338/7.566.09/5.54
Publisher’s Note: MDPI stays neutral with regard to jurisdictional claims in published maps and institutional affiliations.

Share and Cite

MDPI and ACS Style

Sarrato, J.; Pinto, A.L.; Cruz, H.; Jordão, N.; Malta, G.; Branco, P.S.; Lima, J.C.; Branco, L.C. Effect of Iodide-Based Organic Salts and Ionic Liquid Additives in Dye-Sensitized Solar Cell Performance. Nanomaterials 2022, 12, 2988. https://doi.org/10.3390/nano12172988

AMA Style

Sarrato J, Pinto AL, Cruz H, Jordão N, Malta G, Branco PS, Lima JC, Branco LC. Effect of Iodide-Based Organic Salts and Ionic Liquid Additives in Dye-Sensitized Solar Cell Performance. Nanomaterials. 2022; 12(17):2988. https://doi.org/10.3390/nano12172988

Chicago/Turabian Style

Sarrato, João, Ana Lucia Pinto, Hugo Cruz, Noémi Jordão, Gabriela Malta, Paula S. Branco, J. Carlos Lima, and Luis C. Branco. 2022. "Effect of Iodide-Based Organic Salts and Ionic Liquid Additives in Dye-Sensitized Solar Cell Performance" Nanomaterials 12, no. 17: 2988. https://doi.org/10.3390/nano12172988

APA Style

Sarrato, J., Pinto, A. L., Cruz, H., Jordão, N., Malta, G., Branco, P. S., Lima, J. C., & Branco, L. C. (2022). Effect of Iodide-Based Organic Salts and Ionic Liquid Additives in Dye-Sensitized Solar Cell Performance. Nanomaterials, 12(17), 2988. https://doi.org/10.3390/nano12172988

Note that from the first issue of 2016, this journal uses article numbers instead of page numbers. See further details here.

Article Metrics

Back to TopTop