Heat Transfer Analysis of Nanofluid Flow in a Rotating System with Magnetic Field Using an Intelligent Strength Stochastic-Driven Approach
Abstract
:1. Introduction
- This study analyzes the mathematical model of heat transfer of nanofluid flow with a magnetic field by implementing and utilizing the computational strength of feed-forward artificial neural networks with a back-propagated Levenberg–Marquardt (BLM) algorithm.
- A proposed FFNN–BLM technique is exploited to examine the heat transfer, velocity, acceleration, and concentration profiles of a nanofluid by varying the magnetic parameter, Prandtl number, rotation parameter, thermophoresis, and Brownian motion parameter.
- To validate the accuracy and efficiency of the proposed technique, the results are compared with numerical solutions by the Runge–Kutta–Fehlberg method, least square method, and other machine learning algorithms, such as the non-linear autoregressive exogenous neural network model.
- Performance functions, such as MAD, TIC, and ENSE are formulated to study the errors and deviations in the solutions to assess the value of the proposed algorithm.
2. Mathematical Formulation
3. Design Methodology
3.1. Feedforward Artificial Neural Networks
3.2. Learning Procedure
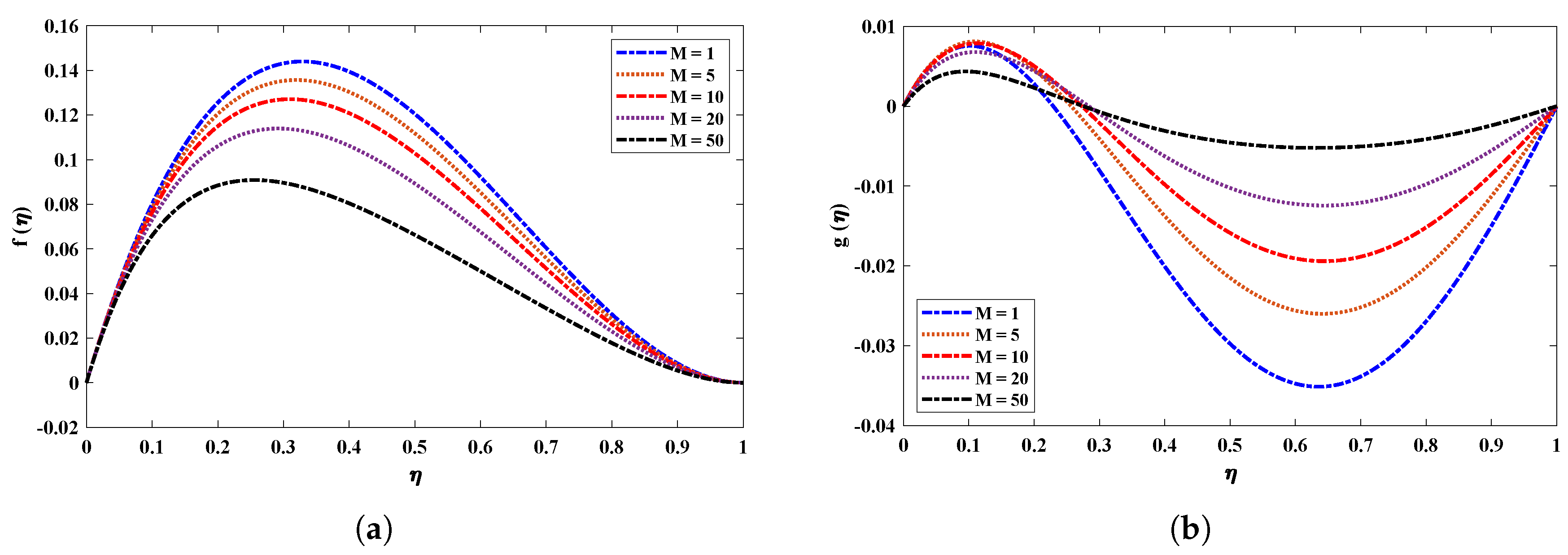
4. Numerical Experimentation and Discussion
5. Conclusions
Author Contributions
Funding
Data Availability Statement
Acknowledgments
Conflicts of Interest
References
- Choi, S.U.; Eastman, J.A. Enhancing Thermal Conductivity of Fluids with Nanoparticles; Technical Report; Argonne National Laboratory: Lemont, IL, USA, 1995.
- Sarkar, J. A critical review on convective heat transfer correlations of nanofluids. Renew. Sustain. Energy Rev. 2011, 15, 3271–3277. [Google Scholar] [CrossRef]
- Kalbande, V.P.; Walke, P.V.; Kriplani, C. Advancements in thermal energy storage system by applications of Nanofluid based solar collector: A review. Environ. Clim. Technol. 2020, 24, 310–340. [Google Scholar] [CrossRef]
- Buongiorno, J. Convective transport in nanofluids. J. Heat Transf. 2006, 128, 240–250. [Google Scholar] [CrossRef]
- Kuznetsov, A.; Nield, D. Natural convective boundary-layer flow of a nanofluid past a vertical plate: A revised model. Int. J. Therm. Sci. 2014, 77, 126–129. [Google Scholar] [CrossRef]
- Khan, W.; Uddin, M.J.; Ismail, A.M. Free convection of non-Newtonian nanofluids in porous media with gyrotactic microorganisms. Transp. Porous Media 2013, 97, 241–252. [Google Scholar] [CrossRef]
- Qi, C.; Fan, F.; Pan, Y.; Liu, M.; Yan, Y. Effects of turbulator with round hole on the thermo-hydraulic performance of nanofluids in a triangle tube. Int. J. Heat Mass Transf. 2020, 146, 118897. [Google Scholar] [CrossRef]
- Fan, F.; Qi, C.; Tang, J.; Liu, Q.; Wang, X.; Yan, Y. A novel thermal efficiency analysis on the thermo-hydraulic performance of nanofluids in an improved heat exchange system under adjustable magnetic field. Appl. Therm. Eng. 2020, 179, 115688. [Google Scholar] [CrossRef]
- Qi, C.; Liu, M.; Tang, J. Influence of triangle tube structure with twisted tape on the thermo-hydraulic performance of nanofluids in heat-exchange system based on thermal and exergy efficiency. Energy Convers. Manag. 2019, 192, 243–268. [Google Scholar] [CrossRef]
- Wang, G.; Qi, C.; Liu, M.; Li, C.; Yan, Y.; Liang, L. Effect of corrugation pitch on thermo-hydraulic performance of nanofluids in corrugated tubes of heat exchanger system based on exergy efficiency. Energy Convers. Manag. 2019, 186, 51–65. [Google Scholar] [CrossRef]
- Sheikholeslami, M.; Sadoughi, M. Mesoscopic method for MHD nanofluid flow inside a porous cavity considering various shapes of nanoparticles. Int. J. Heat Mass Transf. 2017, 113, 106–114. [Google Scholar] [CrossRef]
- Zhai, X.; Qi, C.; Yang, Y.; Wang, J. Thermo-hydraulic performance of nanofluids under adjustable magnetic field. Appl. Therm. Eng. 2021, 186, 116491. [Google Scholar] [CrossRef]
- Zhao, N.; Guo, L.; Qi, C.; Chen, T.; Cui, X. Experimental study on thermo-hydraulic performance of nanofluids in CPU heat sink with rectangular grooves and cylindrical bugles based on exergy efficiency. Energy Convers. Manag. 2019, 181, 235–246. [Google Scholar] [CrossRef]
- Abbas, S.Z.; Khan, M.I.; Kadry, S.; Khan, W.A.; Israr-Ur-Rehman, M.; Waqas, M. Fully developed entropy optimized second order velocity slip MHD nanofluid flow with activation energy. Comput. Methods Programs Biomed. 2020, 190, 105362. [Google Scholar] [CrossRef]
- Mei, S.; Qi, C.; Luo, T.; Zhai, X.; Yan, Y. Effects of magnetic field on thermo-hydraulic performance of Fe3O4-water nanofluids in a corrugated tube. Int. J. Heat Mass Transf. 2019, 128, 24–45. [Google Scholar] [CrossRef]
- Pal, D.; Mandal, G. Hydromagnetic convective–radiative boundary layer flow of nanofluids induced by a non-linear vertical stretching/shrinking sheet with viscous–Ohmic dissipation. Powder Technol. 2015, 279, 61–74. [Google Scholar] [CrossRef]
- Ghadikolaei, S.; Yassari, M.; Sadeghi, H.; Hosseinzadeh, K.; Ganji, D. Investigation on thermophysical properties of TiO2–Cu/H2O hybrid nanofluid transport dependent on shape factor in MHD stagnation point flow. Powder Technol. 2017, 322, 428–438. [Google Scholar] [CrossRef]
- Hosseinzadeh, K.; Roghani, S.; Mogharrebi, A.; Asadi, A.; Ganji, D. Optimization of hybrid nanoparticles with mixture fluid flow in an octagonal porous medium by effect of radiation and magnetic field. J. Therm. Anal. Calorim. 2021, 143, 1413–1424. [Google Scholar] [CrossRef]
- Ahmad, S.; Coban, H.H.; Khan, M.N.; Khan, U.; Shi, Q.H.; Muhammad, T.; Chinram, R.; Kadry, S. Computational analysis of the unsteady 3D chemically reacting MHD flow with the properties of temperature dependent transpose suspended Maxwell nanofluid. Case Stud. Therm. Eng. 2021, 26, 101169. [Google Scholar] [CrossRef]
- Rashidi, M.M.; Nasiri, M.; Khezerloo, M.; Laraqi, N. Numerical investigation of magnetic field effect on mixed convection heat transfer of nanofluid in a channel with sinusoidal walls. J. Magn. Magn. Mater. 2016, 401, 159–168. [Google Scholar] [CrossRef]
- Shit, G.; Haldar, R.; Mandal, S. Entropy generation on MHD flow and convective heat transfer in a porous medium of exponentially stretching surface saturated by nanofluids. Adv. Powder Technol. 2017, 28, 1519–1530. [Google Scholar] [CrossRef]
- Bhargava, R.; Kumar, L.; Takhar, H.S. Finite element solution of mixed convection micropolar flow driven by a porous stretching sheet. Int. J. Eng. Sci. 2003, 41, 2161–2178. [Google Scholar] [CrossRef]
- Kumar, A.; Pluntke, M.; Cross, B.; Baret, J.C.; Mugele, F. Finite conductivity effects and apparent contact angle saturation in AC electrowetting. MRS Online Proc. Libr. Arch. 2005, 899. [Google Scholar] [CrossRef]
- Bhatti, M.M.; Abbas, M.A.; Rashidi, M.M. A robust numerical method for solving stagnation point flow over a permeable shrinking sheet under the influence of MHD. Appl. Math. Comput. 2018, 316, 381–389. [Google Scholar] [CrossRef]
- Hassani, M.; Tabar, M.M.; Nemati, H.; Domairry, G.; Noori, F. An analytical solution for boundary layer flow of a nanofluid past a stretching sheet. Int. J. Therm. Sci. 2011, 50, 2256–2263. [Google Scholar] [CrossRef]
- Wakif, A.; Animasaun, I.; Sehaqui, R. A Brief Technical Note on the Onset of Convection in a Horizontal Nanofluid Layer of Finite Depth via Wakif-Galerkin Weighted Residuals Technique (WGWRT). In Defect and Diffusion Forum; Trans Tech Publ.: Stafa-Zurich, Switzerland, 2021; Volume 409, pp. 90–94. [Google Scholar]
- Derakhshan, R.; Shojaei, A.; Hosseinzadeh, K.; Nimafar, M.; Ganji, D. Hydrothermal analysis of magneto hydrodynamic nanofluid flow between two parallel by AGM. Case Stud. Therm. Eng. 2019, 14, 100439. [Google Scholar] [CrossRef]
- Mosayebidorcheh, S.; Sheikholeslami, M.; Hatami, M.; Ganji, D. Analysis of turbulent MHD Couette nanofluid flow and heat transfer using hybrid DTM–FDM. Particuology 2016, 26, 95–101. [Google Scholar] [CrossRef]
- Tian, Z.; Tang, Z.; Qi, C.; Chen, L.; Wang, Y. Natural convection heat transfer characteristics of sinusoidal cavities filled with nanofluids. Colloids Surf. A Physicochem. Eng. Asp. 2022, 648, 129309. [Google Scholar] [CrossRef]
- Gupta, S.; Gupta, S. MHD three dimensional flow of Oldroyd-B nanofluid over a bidirectional stretching sheet: DTM-Padé Solution. Nonlinear Eng. 2019, 8, 744–754. [Google Scholar] [CrossRef]
- Hatami, M.; Jing, D.; Song, D.; Sheikholeslami, M.; Ganji, D. Heat transfer and flow analysis of nanofluid flow between parallel plates in presence of variable magnetic field using HPM. J. Magn. Magn. Mater. 2015, 396, 275–282. [Google Scholar] [CrossRef]
- Krishna, S.G.; Shanmugapriya, M. Inquiry of MHD bioconvective non-newtonian nanofluid flow over a moving wedge using HPM. Mater. Today Proc. 2021, 38, 3297–3305. [Google Scholar] [CrossRef]
- Sobamowo, M.; Jayesimi, L.; Waheed, M. Magnetohydrodynamic squeezing flow analysis of nanofluid under the effect of slip boundary conditions using variation of parameter method. Karbala Int. J. Mod. Sci. 2018, 4, 107–118. [Google Scholar] [CrossRef]
- Haider, S.M.A.; Ali, B.; Wang, Q.; Zhao, C. Stefan Blowing Impacts on Unsteady MHD Flow of Nanofluid over a Stretching Sheet with Electric Field, Thermal Radiation and Activation Energy. Coatings 2021, 11, 1048. [Google Scholar] [CrossRef]
- Khan, N.A.; Sulaiman, M.; Aljohani, A.J.; Kumam, P.; Alrabaiah, H. Analysis of multi-phase flow through porous media for imbibition phenomena by using the LeNN-WOA-NM algorithm. IEEE Access 2020, 8, 196425–196458. [Google Scholar] [CrossRef]
- Qi, C.; Li, C.; Li, K.; Han, D. Natural convection of nanofluids in solar energy collectors based on a two-phase lattice Boltzmann model. J. Therm. Anal. Calorim. 2022, 147, 2417–2438. [Google Scholar] [CrossRef]
- Khan, N.A.; Sulaiman, M.; Kumam, P.; Aljohani, A.J. A new soft computing approach for studying the wire coating dynamics with Oldroyd 8-constant fluid. Phys. Fluids 2021, 33, 036117. [Google Scholar] [CrossRef]
- Khan, N.A.; Sulaiman, M.; Tavera Romero, C.A.; Alarfaj, F.K. Numerical Analysis of Electrohydrodynamic Flow in a Circular Cylindrical Conduit by Using Neuro Evolutionary Technique. Energies 2021, 14, 7774. [Google Scholar] [CrossRef]
- Khan, N.A.; Alshammari, F.S.; Romero, C.A.T.; Sulaiman, M.; Mirjalili, S. An Optimistic Solver for the Mathematical Model of the Flow of Johnson Segalman Fluid on the Surface of an Infinitely Long Vertical Cylinder. Materials 2021, 14, 7798. [Google Scholar] [CrossRef]
- Wang, Y.; Qi, C.; Zhao, R.; Wang, C. Study on the mechanism of modified surface and magnetic nanofluids on cooling performance of wireless charging equipment under magnetic field. Appl. Therm. Eng. 2022, 208, 118258. [Google Scholar] [CrossRef]
- Khan, N.A.; Sulaiman, M.; Aljohani, A.J.; Bakar, M.A.; Miftahuddin. Mathematical models of CBSC over wireless channels and their analysis by using the LeNN-WOA-NM algorithm. Eng. Appl. Artif. Intell. 2022, 107, 104537. [Google Scholar] [CrossRef]
- Khan, N.A.; Sulaiman, M.; Kumam, P.; Bakar, M.A. Thermal analysis of conductive-convective-radiative heat exchangers with temperature dependent thermal conductivity. IEEE Access 2021, 9, 138876–138902. [Google Scholar] [CrossRef]
- Khan, N.A.; Khalaf, O.I.; Romero, C.A.T.; Sulaiman, M.; Bakar, M.A. Application of Euler Neural Networks with Soft Computing Paradigm to Solve Nonlinear Problems Arising in Heat Transfer. Entropy 2021, 23, 1053. [Google Scholar] [CrossRef] [PubMed]
- Sheikholeslami, M.; Hatami, M.; Ganji, D. Nanofluid flow and heat transfer in a rotating system in the presence of a magnetic field. J. Mol. Liq. 2014, 190, 112–120. [Google Scholar] [CrossRef]
- Valipour, P.; Jafaryar, M.; Moradi, R.; Aski, F.S. Two phase model for nanofluid heat transfer intensification in a rotating system under the effect of magnetic field. Chem. Eng. Process. Process. Intensif. 2018, 123, 47–57. [Google Scholar] [CrossRef]
- Sheikholeslami, M.; Ganji, D. Three dimensional heat and mass transfer in a rotating system using nanofluid. Powder Technol. 2014, 253, 789–796. [Google Scholar] [CrossRef]
- McCulloch, W.S.; Pitts, W.H. A Logical Calculus of the Ideas Immanent in Nervous Activity. Embodiments Mind 2016, 19–38. [Google Scholar]
- Hornik, K. Approximation capabilities of multilayer feedforward networks. Neural Netw. 1991, 4, 251–257. [Google Scholar] [CrossRef]
- Cui, Z.; Liu, Q.; Xu, C.; Zou, R.; Zhang, J.; Zhang, W.; Guan, G.; Hu, J.; Sun, Y. A new strategy to effectively alleviate volume expansion and enhance the conductivity of hierarchical MnO@ C nanocomposites for lithium ion batteries. J. Mater. Chem. A 2017, 5, 21699–21708. [Google Scholar] [CrossRef]
- Khan, N.A.; Alshammari, F.S.; Romero, C.A.T.; Sulaiman, M.; Laouini, G. Mathematical Analysis of Reaction–Diffusion Equations Modeling the Michaelis–Menten Kinetics in a Micro-Disk Biosensor. Molecules 2021, 26, 7310. [Google Scholar] [CrossRef]
- Cui, M.; Yang, K.; Xu, X.l.; Wang, S.d.; Gao, X.w. A modified Levenberg–Marquardt algorithm for simultaneous estimation of multi-parameters of boundary heat flux by solving transient non-linear inverse heat conduction problems. Int. J. Heat Mass Transf. 2016, 97, 908–916. [Google Scholar] [CrossRef]
- Nguyen-Truong, H.T.; Le, H.M. An implementation of the Levenberg–Marquardt algorithm for simultaneous-energy-gradient fitting using two-layer feed-forward neural networks. Chem. Phys. Lett. 2015, 629, 40–45. [Google Scholar] [CrossRef]
- Xia, B.; Cui, D.; Sun, Z.; Lao, Z.; Zhang, R.; Wang, W.; Sun, W.; Lai, Y.; Wang, M. State of charge estimation of lithium-ion batteries using optimized Levenberg-Marquardt wavelet neural network. Energy 2018, 153, 694–705. [Google Scholar] [CrossRef]
- Jebur, A.A.; Atherton, W.; Al Khaddar, R.M.; Loffill, E. Settlement prediction of model piles embedded in sandy soil using the Levenberg–Marquardt (LM) training algorithm. Geotech. Geol. Eng. 2018, 36, 2893–2906. [Google Scholar] [CrossRef]
- Hatami, M.; Mosayebidorcheh, S.; Jing, D. Two-phase nanofluid condensation and heat transfer modeling using least square method (LSM) for industrial applications. Heat Mass Transf. 2017, 53, 2061–2072. [Google Scholar] [CrossRef]
- Khan, N.A.; Sulaiman, M.; Tavera Romero, C.A.; Alarfaj, F.K. Theoretical Analysis on Absorption of Carbon Dioxide (CO2) into Solutions of Phenyl Glycidyl Ether (PGE) Using Nonlinear Autoregressive Exogenous Neural Networks. Molecules 2021, 26, 6041. [Google Scholar] [CrossRef]

















| LSM [55] | RKF | FFNN-BLM | RKF | FFNN-BLM | LSM [55] | RKF | FFNN-BLM | RKF | FFNN-BLM | |
|---|---|---|---|---|---|---|---|---|---|---|
| 0.00 | 0 | 0.00000 | 0.00000 | 0.00000 | 0.00000 | 1.00000 | 1.00000 | 0.99969 | 1.00000 | 0.99992 |
| 0.05 | 0.04388 | 0.04387 | 0.04387 | 0.05051 | 0.05051 | 0.96205 | 0.96211 | 0.96211 | 0.88623 | 0.88623 |
| 0.10 | 0.07614 | 0.07655 | 0.07655 | 0.06315 | 0.06315 | 0.92299 | 0.92309 | 0.92309 | 0.77832 | 0.77832 |
| 0.15 | 0.09916 | 0.09960 | 0.09960 | 0.04846 | 0.04846 | 0.88280 | 0.88295 | 0.88295 | 0.67642 | 0.67642 |
| 0.20 | 0.11438 | 0.11453 | 0.11453 | 0.01530 | 0.01530 | 0.84148 | 0.84168 | 0.84168 | 0.58066 | 0.58066 |
| 0.25 | 0.12318 | 0.12271 | 0.12271 | −0.02900 | −0.02900 | 0.79901 | 0.79927 | 0.79927 | 0.49114 | 0.49114 |
| 0.30 | 0.12675 | 0.12540 | 0.12540 | −0.07849 | −0.07849 | 0.75537 | 0.75569 | 0.75569 | 0.40797 | 0.40797 |
| 0.35 | 0.12607 | 0.12369 | 0.12369 | −0.12847 | −0.12847 | 0.71054 | 0.71093 | 0.71093 | 0.33126 | 0.33126 |
| 0.40 | 0.12199 | 0.11850 | 0.11850 | −0.17525 | −0.17525 | 0.66448 | 0.66494 | 0.66494 | 0.26111 | 0.26111 |
| 0.45 | 0.11518 | 0.11064 | 0.11064 | −0.21599 | −0.21599 | 0.61717 | 0.61769 | 0.61769 | 0.19766 | 0.19766 |
| 0.50 | 0.10622 | 0.10077 | 0.10077 | −0.24860 | −0.24860 | 0.56856 | 0.56913 | 0.56913 | 0.14105 | 0.14105 |
| 0.55 | 0.09557 | 0.08945 | 0.08945 | −0.27153 | −0.27153 | 0.51862 | 0.51923 | 0.51923 | 0.09145 | 0.09145 |
| 0.60 | 0.08365 | 0.07718 | 0.07718 | −0.28374 | −0.28374 | 0.46730 | 0.46793 | 0.46793 | 0.04906 | 0.04906 |
| 0.65 | 0.07084 | 0.06438 | 0.06438 | −0.28459 | −0.28459 | 0.41454 | 0.41518 | 0.41518 | 0.01410 | 0.01410 |
| 0.70 | 0.05753 | 0.05146 | 0.05146 | −0.27380 | −0.27380 | 0.36030 | 0.36091 | 0.36091 | −0.01321 | −0.01321 |
| 0.75 | 0.04417 | 0.03886 | 0.03886 | −0.25145 | −0.25145 | 0.30451 | 0.30507 | 0.30507 | −0.03259 | −0.03259 |
| 0.80 | 0.03126 | 0.02704 | 0.02704 | −0.21799 | −0.21799 | 0.24711 | 0.24759 | 0.24759 | −0.04375 | −0.04375 |
| 0.85 | 0.01945 | 0.01654 | 0.01654 | −0.17434 | −0.17434 | 0.18804 | 0.18841 | 0.18841 | −0.04640 | −0.04640 |
| 0.90 | 0.00957 | 0.00799 | 0.00799 | −0.12193 | −0.12193 | 0.12721 | 0.12746 | 0.12746 | −0.04021 | −0.04021 |
| 0.95 | 0.00265 | 0.00217 | 0.00217 | −0.06285 | −0.06285 | 0.06456 | 0.06468 | 0.06468 | −0.02485 | −0.02485 |
| 1.00 | 0.00000 | 0.00000 | 0.00000 | 0.00000 | 0.00000 | 0.00000 | 0.00000 | 0.00001 | 0.00000 | 0.00000 |
| LSM [55] | NARX-BLM | FFNN-BLM | NARX-BLM | FFNN-BLM | LSM [55] | NARX-BLM | FFNN-BLM | NARX-BLM | FFNN-BLM | |
|---|---|---|---|---|---|---|---|---|---|---|
| 0.00 | 0 | 0 | ||||||||
| 0.05 | ||||||||||
| 0.10 | ||||||||||
| 0.15 | ||||||||||
| 0.20 | ||||||||||
| 0.25 | ||||||||||
| 0.30 | ||||||||||
| 0.35 | ||||||||||
| 0.40 | ||||||||||
| 0.45 | ||||||||||
| 0.50 | ||||||||||
| 0.55 | ||||||||||
| 0.60 | ||||||||||
| 0.65 | ||||||||||
| 0.70 | ||||||||||
| 0.75 | ||||||||||
| 0.80 | ||||||||||
| 0.85 | ||||||||||
| 0.90 | ||||||||||
| 0.95 | ||||||||||
| 1.00 | 0 | 0 | ||||||||
| MSE | MAD | TIC | ENSE | |||||||||
|---|---|---|---|---|---|---|---|---|---|---|---|---|
| Minimum | Mean | Std. Div. | Minimum | Mean | Std. Div. | Minimum | Mean | Std. Div. | Minimum | Mean | Std. Div. | |
Publisher’s Note: MDPI stays neutral with regard to jurisdictional claims in published maps and institutional affiliations. |
© 2022 by the authors. Licensee MDPI, Basel, Switzerland. This article is an open access article distributed under the terms and conditions of the Creative Commons Attribution (CC BY) license (https://creativecommons.org/licenses/by/4.0/).
Share and Cite
Nonlaopon, K.; Khan, N.A.; Sulaiman, M.; Alshammari, F.S.; Laouini, G. Heat Transfer Analysis of Nanofluid Flow in a Rotating System with Magnetic Field Using an Intelligent Strength Stochastic-Driven Approach. Nanomaterials 2022, 12, 2273. https://doi.org/10.3390/nano12132273
Nonlaopon K, Khan NA, Sulaiman M, Alshammari FS, Laouini G. Heat Transfer Analysis of Nanofluid Flow in a Rotating System with Magnetic Field Using an Intelligent Strength Stochastic-Driven Approach. Nanomaterials. 2022; 12(13):2273. https://doi.org/10.3390/nano12132273
Chicago/Turabian StyleNonlaopon, Kamsing, Naveed Ahmad Khan, Muhammad Sulaiman, Fahad Sameer Alshammari, and Ghaylen Laouini. 2022. "Heat Transfer Analysis of Nanofluid Flow in a Rotating System with Magnetic Field Using an Intelligent Strength Stochastic-Driven Approach" Nanomaterials 12, no. 13: 2273. https://doi.org/10.3390/nano12132273
APA StyleNonlaopon, K., Khan, N. A., Sulaiman, M., Alshammari, F. S., & Laouini, G. (2022). Heat Transfer Analysis of Nanofluid Flow in a Rotating System with Magnetic Field Using an Intelligent Strength Stochastic-Driven Approach. Nanomaterials, 12(13), 2273. https://doi.org/10.3390/nano12132273

