Pd-C Catalytic Thin Films Prepared by Magnetron Sputtering for the Decomposition of Formic Acid
Abstract
:1. Introduction
2. Materials and Methods
2.1. Preparation of Samples
2.2. Characterization
2.3. Catalytic Tests
3. Results and Discussion
3.1. Catalysts Characterization
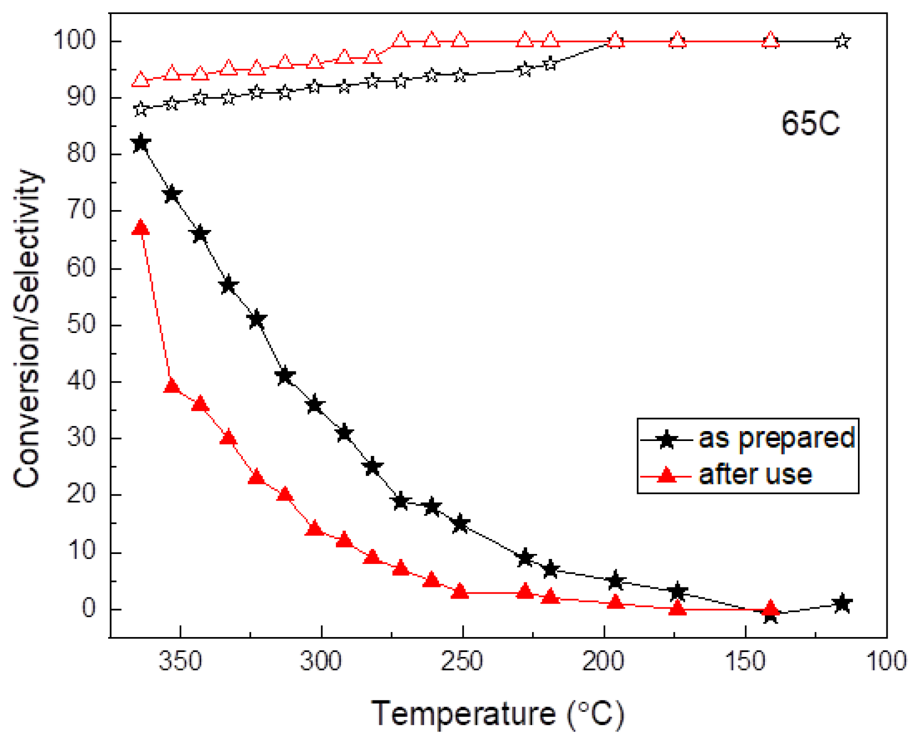
3.2. Catalytic Activity and Durability Tests
4. Conclusions
Supplementary Materials
Author Contributions
Funding
Data Availability Statement
Acknowledgments
Conflicts of Interest
References
- Hanley, E.S.; Deane, J.P.; Gallachóir, B.P.Ó. The role of hydrogen in low carbon energy futures-A review of existing perspectives. Renew. Sustain. Energy Rev. 2018, 82, 3027–3045. [Google Scholar] [CrossRef]
- Schlapbach, L.; Züttel, A. Hydrogen-storage materials for mobile applications. Nature 2001, 414, 353–358. [Google Scholar] [CrossRef] [PubMed]
- Bockris, J.O.M. The hydrogen economy: Its history. Int. J. Hydrog. Energy 2013, 38, 2579–2588. [Google Scholar] [CrossRef]
- Nikolaidis, P.; Poullikkas, A. A comparative overview of hydrogen production processes. Renew. Sustain. Energy Rev. 2017, 67, 597–611. [Google Scholar] [CrossRef]
- Veras, T.S.; Mozer, T.S.; Rubin Messender dos Santos, D.C.; Cesar, A.S. Hydrogen: Trends, production and characterization of the main process worldwide. Int. J. Hydrog. Energy 2017, 42, 2018–2033. [Google Scholar] [CrossRef]
- Jiang, H.; Singh, S.K.; Yan, J.; Zhang, X.; Xu, Q. Liquid-Phase Chemical Hydrogen Storage: Catalytic Hydrogen Generation under Ambient Conditions. ChemSusChem 2010, 3, 541–549. [Google Scholar] [CrossRef]
- Yadav, M.; Xu, Q. Liquid-phase chemical hydrogen storage materials. Energy Environ. Sci. 2012, 5, 9698–9725. [Google Scholar] [CrossRef]
- IEA. The Future of Hydrogen; IEA: Paris, France, 2019; Available online: https://www.iea.org/reports/the-future-of-hydrogen (accessed on 7 July 2021).
- Grasemann, M.; Laurenczy, G. Formic acid as a hydrogen source—Recent developments and future trends. Energy Environ. Sci. 2012, 5, 8171–8181. [Google Scholar] [CrossRef]
- Singh, A.K.; Singh, S.; Kumar, A. Hydrogen energy future with formic acid: A renewable chemical hydrogen storage system. Catal. Sci. Technol. 2016, 6, 12–40. [Google Scholar] [CrossRef]
- Kawanami, H.; Himeda, Y.; Laurenczy, G. Formic Acid as a Hydrogen Carrier for Fuel Cells Toward a Sustainable Energy System. Adv. Inorg. Chem. 2017, 70, 395–427. [Google Scholar] [CrossRef]
- Zhang, L.; Wu, W.; Jiang, Z.; Fang, T. A review on liquid-phase heterogeneous dehydrogenation of formic acid: Recent advances and perspectives. Chem. Pap. 2018, 72, 2121–2135. [Google Scholar] [CrossRef]
- Wang, X.; Meng, Q.; Gao, L.; Jin, Z.; Ge, J.; Liu, C.; Xing, X. Recent progress in hydrogen production from formic acid decomposition. Int. J. Hydrog. Energy 2018, 43, 7055–7071. [Google Scholar] [CrossRef]
- Zhong, H.; Iguchi, M.; Chatterjee, M.; Himeda, H.; Xu, Q.; Kawanami, H. Formic Acid-Based Liquid Organic Hydrogen Carrier System with Heterogeneous Catalysts. Adv. Sustain. Syst. 2018, 2, 1700161. [Google Scholar] [CrossRef]
- Bushuyev, O.S.; De Luna, P.; Dinh, C.T.; Tao, L.; Saur, G.; van de Lagemaat, J.; Kelley, S.O.; Sargent, E.H. What Should We Make with CO2 and How Can We Make It? Joule 2018, 2, 825–832. [Google Scholar] [CrossRef] [Green Version]
- Pan, H.; Heagy, M.D. Photons to Formate: A Review on Photocatalytic Reduction of CO2 to Formic Acid. Nanomaterials 2020, 10, 2422. [Google Scholar] [CrossRef] [PubMed]
- Sordakis, K.; Tang, C.; Vogt, L.K.; Junge, H.; Dyson, P.J.; Beller, M.; Laurenczy, G. Homogeneous Catalysis for Sustainable Hydrogen Storage in Formic Acid and Alcohols. Chem. Rev. 2018, 118, 372–433. [Google Scholar] [CrossRef] [PubMed]
- Reichert, J.; Albert, J. Detailed Kinetic Investigations on the Selective Oxidation of Biomass to Formic Acid (OxFA Process) Using Model Substrates and Real Biomass. ACS Sustain. Chem. Eng. 2017, 5, 7383–7392. [Google Scholar] [CrossRef]
- Tedsree, K.; Li, T.; Jones, S.; Chan, C.W.A.; Yu, K.M.K.; Bagot, P.A.J.; Marquis, E.A.; Smith, G.D.W.; Tsang, S.C.E. Hydrogen production from formic acid decomposition at room temperature using a Ag-Pd core-shell nanocatalyst. Nat. Nanotechnol. 2011, 6, 302–307. [Google Scholar] [CrossRef] [PubMed]
- Jiang, K.; Xu, K.; Zou, S.; Cai, W. B-Doped Pd Catalyst: Boosting Room-Temperature Hydrogen Production from Formic Acid − Formate Solutions. J. Am. Chem. Soc. 2014, 136, 4861–4864. [Google Scholar] [CrossRef]
- Bi, Q.Y.; Lin, J.D.; Liu, Y.M.; Du, X.L.; Wang, J.Q.; He, H.Y.; Cao, Y. An aqueous rechargeable formate-based hydrogen battery driven by heterogeneous Pd catalysis. Angew. Chem. Int. Ed. 2014, 53, 13583–13587. [Google Scholar] [CrossRef]
- Wang, Z.; Yan, J.; Ping, Y.; Wang, H.; Zheng, W.; Jiang, Q. An Efficient CoAuPd/C Catalyst for Hydrogen Generation from Formic Acid at Room Temperature. Angew. Chem. Int. Ed. 2013, 52, 4406–4409. [Google Scholar] [CrossRef] [PubMed]
- Jeon, H.; Chung, Y. Hydrogen production from formic acid dehydrogenation over Pd/C catalysts: Effect of metal and support properties on the catalytic performance. Appl. Catal. B Environ. 2017, 210, 212–222. [Google Scholar] [CrossRef]
- Chen, Y.; Li, X.; Wei, Z.; Mao, S.; Deng, J.; Cao, Y.; Wang, Y. Efficient synthesis of ultrafine Pd nanoparticles on an activated N-doping carbon for the decomposition of formic acid. Catal. Commun. 2018, 108, 55–58. [Google Scholar] [CrossRef]
- Masuda, S.; Mori, K.; Futamura, Y.; Yamashita, H. PdAg Nanoparticles Supported on Functionalized Mesoporous Carbon: Promotional Effect of Surface Amine Groups in Reversible Hydrogen Delivery/Storage Mediated by Formic Acid/CO2. ACS Catal. 2018, 8, 2277–2285. [Google Scholar] [CrossRef]
- Criado, J.M.; Gonzalez, F.; Trillo, J.M. Mechanism of Formic Acid Decomposition on 3d Metal Oxides. J. Catal. 1971, 23, 11–18. [Google Scholar] [CrossRef]
- Faroldi, B.; Paviotti, M.A.; Camino-Manjarrés, M.; González-Carrazán, S.; López-Olmos, C.; Rodríguez-Ramos, I. Hydrogen Production by Formic Acid Decomposition over Ca Promoted Ni/SiO2 Catalysts: Effect of the Calcium Content. Nanomaterials 2019, 9, 1516. [Google Scholar] [CrossRef] [Green Version]
- Marcinkowski, M.D.; Liu, J.; Murphy, C.J.; Liriano, M.L.; Natalie, A.; Lucci, F.R.; Flytzani-Stephanopoulos, M.; Sykes, E.C.H. Selective Formic Acid Dehydrogenation on Pt-Cu Single Atom Alloys. ACS Catal. 2016, 7, 413–420. [Google Scholar] [CrossRef]
- Yu, Z.; An, X.; Kurnia, I.; Yoshida, A.; Yang, Y.; Hao, X.; Abudula, A.; Fang, Y.; Guan, G. Full Spectrum Decomposition of Formic Acid over γ-Mo2N-Based Catalysts: From Dehydration to Dehydrogenation. ACS Catal. 2020, 10, 5353–5361. [Google Scholar] [CrossRef]
- Navlani-García, M.; Mori, K.; Salinas-Torres, D.; Kuwahara, Y.; Yamashita, H. New approaches toward the hydrogen production from formic acid dehydrogenation over Pd-based heterogeneous catalysts. Front. Mater. 2019, 6, 44. [Google Scholar] [CrossRef] [Green Version]
- Zhong, H.; Iguchi, M.; Chatterjee, M.; Ishizaka, T.; Kitta, M.; Xu, Q.; Kawanami, H. Interconversion between CO2 and HCOOH under Basic Conditions Catalyzed by PdAu Nanoparticles Supported by Amine-Functionalized Reduced Graphene Oxide as a Dual Catalyst. ACS Catal. 2018, 8, 5355–5362. [Google Scholar] [CrossRef]
- Simonov, P.A.; Troitskii, S.Y.; Likholobov, V.A. Preparation of the Pd/C Catalysts: A Molecular-Level Study of Active Site Formation. Kinet. Catal. 2000, 41, 255–269. [Google Scholar] [CrossRef]
- Agostini, G.; Groppo, E.; Piovano, A.; Pellegrini, R.; Leofanti, G.; Lamberti, C. Preparation of Supported Pd Catalysts: From the Pd Precursor Solution to the Deposited Pd2+ Phase. Langmuir 2010, 26, 11204–11211. [Google Scholar] [CrossRef]
- Zhu, Q.L.; Tsumori, N.; Xu, Q. Sodium hydroxide-assisted growth of uniform Pd nanoparticles on nanoporous carbon MSC-30 for efficient and complete dehydrogenation of formic acid under ambient conditions. Chem. Sci. 2014, 5, 195–199. [Google Scholar] [CrossRef]
- Suo, G.; Li, D.; Feng, L.; Hou, X.; Ye, X.; Zhang, L.; Yu, Q.; Yang, Y.; Wang, W. Construction of SnS2/SnO2 heterostructures with enhanced potassium storage performance. J. Mater. Sci. Technol. 2020, 55, 167–172. [Google Scholar] [CrossRef]
- Suo, G.; Zhang, J.; Li, D.; Yu, Q.; Wang, W.; He, M.; Feng, L.; Hou, X.; Yang, Y.; Ye, X.; et al. N-doped carbon/ultrathin 2D metallic cobalt selenide core/sheath flexible framework bridged by chemical bonds for high-performance potassium storage. Chem. Eng. J. 2020, 388, 124396. [Google Scholar] [CrossRef]
- Li, D.; Zhang, J.; Ahmed, S.M.; Suo, G.; Wang, W.; Feng, L.; Hou, X.; Yang, Y.; Ye, X.; Zhang, L. Amorpohous carbon coated SnO2 nanoshets on hard carbon hollow spheres to boost potassium storage with high surface capacitive contributions. J. Colloid Interface Sci. 2020, 574, 174–181. [Google Scholar] [CrossRef]
- Alexeeva, O.K.; Fateev, V.N. Application of magnetron sputtering for nanostructured electrocatalysts synthesis. Int. J. Hydrog. Energy 2016, 41, 3373–3386. [Google Scholar] [CrossRef]
- Paladini, M.; Arzac, G.M.; Godinho, V.; Jiménez de Haro, M.C.; Fernández, A. Supported Co catalysts prepared as thin films by magnetron sputtering for sodium borohydride and ammonia borane hydrolysis. Appl. Catal. B Environ. 2014, 158–159, 400–409. [Google Scholar] [CrossRef] [Green Version]
- Semiz, L.; Abdullayeva, N.; Sankir, M. Nanoporous Pt and Ru catalysts by chemical dealloying of Pt-Al and Ru-Al alloys for ultrafast hydrogen generation. J. Alloy. Compd. 2018, 744, 110–115. [Google Scholar] [CrossRef]
- Giarratano, F.; Arzac, G.M.; Godinho, V.; Hufschmidt, D.; Jiménez de Haro, M.C.; Montes, O.; Fernández, A. Nanoporous Pt-based catalysts prepared by chemical dealloying of magnetron-sputtered Pt-Cu thin films for the catalytic combustion of hydrogen. Appl. Catal. B Environ. 2018, 235, 168–176. [Google Scholar] [CrossRef]
- Arzac, G.M.; Fernández, A. Advances in the implementation of PVD-based techniques for the preparation of metal catalysts for the hydrolysis of sodium borohydride. Int. J. Hydrog. Energy 2020, 45, 33288–33309. [Google Scholar] [CrossRef]
- Hwu, H.H.; Chen, J.G. Surface Chemistry of Transition Metal Carbides. Chem. Rev. 2005, 105, 185–212. [Google Scholar] [CrossRef]
- Yudanov, I.V.; Neyman, K.M.; Rösch, N. Density functional study of Pd nanoparticles with subsurface impurities of light element atoms. Phys. Chem. Chem. Phys. 2004, 6, 116–123. [Google Scholar] [CrossRef]
- Simonov, A.N.; Simonov, P.A.; Parmon, V.N. Formic acid electrooxidation over carbon-supported nanoparticles of non-stoichiometric palladium carbide. J. Power Sources 2012, 217, 291–295. [Google Scholar] [CrossRef]
- Wasa, K.; Kanno, L.; Kotera, K. (Eds.) Handbook of Sputtered Deposition Technology, 2nd ed.; Elsevier-William Andrew: Amsterdam, The Netherlands, 2012. [Google Scholar]
- Patel, N.; Fernandes, R.; Guella, G.; Kale, A.; Miotello, A.; Patton, B.; Zanchetta, C.; Ossi, P.M.; Russo, V. Pulsed-laser deposition of nanostructured Pd/C thin films. A new entry into metal-supported catalysts for hydrogen producing reactions. Appl. Surf. Sci. 2007, 254, 1307–1311. [Google Scholar] [CrossRef]
- Sobczak, K.; Dluzewski, P.; Klepka, M.T.; Kurowska, B.; Czerwosz, E. Transmission electron microscopy studies of the Pd-C films obtained by physical and chemical vapor deposition. Int. J. Hydrog. Energy 2012, 37, 18556–18562. [Google Scholar] [CrossRef]
- Wagner, C.D. Sensitivity factors for XPS analysis of surface atoms. J. Electron. Spectros. 1983, 32, 99–102. [Google Scholar] [CrossRef]
- Han, Y.F.; Kumar, D.; Sivadinarayana, C.; Clearfield, A.; Goodman, D.W. The formation of PdCx over Pd-based catalysts in vapor-phase vinyl acetate synthesis: Does a Pd-Au alloy catalyst resist carbide formation? Catal. Lett. 2004, 94, 131–134. [Google Scholar] [CrossRef]
- Bieloshapka, I.; Jiticek, P.; Vorokhta, M.; Tomsik, E.; Rednyk, A.; Perekrestov, R.; Jurek, K.; Ukraintsev, E.; Hruska, K.; Romanyuk, O.; et al. Pd-catalysts for DFAFC prepared by magnetron sputtering. Appl. Surf. Sci. 2017, 419, 838–846. [Google Scholar] [CrossRef]
- Setiawan, A.; Kennedy, E.M.; Dlugogorski, B.Z.; Adesina, A.A.; Tkachenko, O.; Stockenhuber, M. Evidence of the Formation of Surface Palladium Carbide during the Catalytic Combustion of Lean Methane/Air Mixtures. Energy Technol. 2014, 2, 243–249. [Google Scholar] [CrossRef]
- Balmes, O.; Resta, A.; Wermeille, D.; Felici, R.; Messing, M.E.; Deppert, K.; Liu, Z.; Grass, M.E.; Bluhm, H.; Lundgren, E.; et al. Reversible formation of a PdCx phase in Pd nanoparticles upon CO and O2 exposure. Phys. Chem. Chem. Phys. 2012, 14, 4796–4801. [Google Scholar] [CrossRef] [PubMed]
- Brun, M.; Berthet, A.; Bertolini, J.C. XPS, AES and Auger parameter of Pd and PdO. J. Electron. Spectrosc. Relat. Phenom. 1999, 104, 55–60. [Google Scholar] [CrossRef]
- Goodman, E.D.; Schwalbe, J.A.; Cargnello, M. Mechanistic Understanding and the Rational Design of Sinter- Resistant Heterogeneous Catalysts. ACS Catal. 2017, 7, 7156–7173. [Google Scholar] [CrossRef]
- Wang, X.; Gorte, R.J.; Wagner, J.P. Deactivation mechanisms for Pd/Ceria during the water-gas-shift reaction. J. Catal. 2002, 212, 225–230. [Google Scholar] [CrossRef] [Green Version]
- Bieloshapka, I.; Jiricek, P.; Yakovlev, Y.; Hruska, K.; Tomsik, E.; Houdkova, J.; Malolepszy, A.; Malolepszy, A.; Mazurkiewicz, M.; Lesiak, B. Thermal and chemical activation methods applied to DFAFC anodes prepared by magnetron sputtering. Int. J. Hydrog. Energy 2020, 45, 14133–14144. [Google Scholar] [CrossRef]









| Catalyst | Magnetron 1 | DC Power (W) Magnetron 1 | Magnetron 2 Target 2 C | DC Power (W) Magnetron 2 | |
|---|---|---|---|---|---|
| Target-1a 5 Pd Strips/C | Target-1b 2 Pd Strips/C | ||||
| 7C | Yes | 70 | |||
| 12C | Yes | 200 | |||
| 65C | Yes | 200 | Yes | 500 | |
| Sample | Bulk at% Ratio Pd/C (EDX) | Surface at % Ratio Pd/C (XPS) | ICP Pd Content (mg·cm−2) | SEM Measurements | XRD Measurements | Activity Measurements | |||||||
|---|---|---|---|---|---|---|---|---|---|---|---|---|---|
| % Pd | %C | % Pd | %C | Thick-ness (nm) | Column Size (nm) | Peak Position (degrees) | Crystal Size (nm) | TOF (a) 300 °C | Activity (b) 300 °C | Selectivity to CO2 (%) 300 °C | AAE (kJ·mol−1) | ||
| 7C | 93 | 7 | - | - | 0.565 | 549 ± 15 | 64 ± 28 | 39.21 | 13.8 | 66 | 0.60 | 100 | 61 ± 4 |
| 12C | 88 | 12 | 60 | 40 | 1.15 | 1168 ± 6 | 51 ± 27 | 38.85 | 32.5 | 105 | 1.59 | 95 | 55 ± 1 |
| 65C | 35 | 65 | 12 | 88 | 0.492 | 435 ± 2 | 9 ± 4 | 38.97 | 10.2 | 534 | 5.04 | 92 | 42 ± 1 |
Publisher’s Note: MDPI stays neutral with regard to jurisdictional claims in published maps and institutional affiliations. |
© 2021 by the authors. Licensee MDPI, Basel, Switzerland. This article is an open access article distributed under the terms and conditions of the Creative Commons Attribution (CC BY) license (https://creativecommons.org/licenses/by/4.0/).
Share and Cite
Arzac, G.M.; Fernández, A.; Godinho, V.; Hufschmidt, D.; Jiménez de Haro, M.C.; Medrán, B.; Montes, O. Pd-C Catalytic Thin Films Prepared by Magnetron Sputtering for the Decomposition of Formic Acid. Nanomaterials 2021, 11, 2326. https://doi.org/10.3390/nano11092326
Arzac GM, Fernández A, Godinho V, Hufschmidt D, Jiménez de Haro MC, Medrán B, Montes O. Pd-C Catalytic Thin Films Prepared by Magnetron Sputtering for the Decomposition of Formic Acid. Nanomaterials. 2021; 11(9):2326. https://doi.org/10.3390/nano11092326
Chicago/Turabian StyleArzac, Gisela Mariana, Asunción Fernández, Vanda Godinho, Dirk Hufschmidt, Maria Carmen Jiménez de Haro, Beatriz Medrán, and Olga Montes. 2021. "Pd-C Catalytic Thin Films Prepared by Magnetron Sputtering for the Decomposition of Formic Acid" Nanomaterials 11, no. 9: 2326. https://doi.org/10.3390/nano11092326
APA StyleArzac, G. M., Fernández, A., Godinho, V., Hufschmidt, D., Jiménez de Haro, M. C., Medrán, B., & Montes, O. (2021). Pd-C Catalytic Thin Films Prepared by Magnetron Sputtering for the Decomposition of Formic Acid. Nanomaterials, 11(9), 2326. https://doi.org/10.3390/nano11092326

