Nanosilicates in Compatibilized Mixed Recycled Polyolefins: Rheological Behavior and Film Production in a Circular Approach
Abstract
:1. Introduction
2. Materials and Methods
2.1. Materials
2.2. Compounding with the Compatibilizer and/or the Nanofiller and Film Blowing Extrusion
2.3. Characterization Techniques
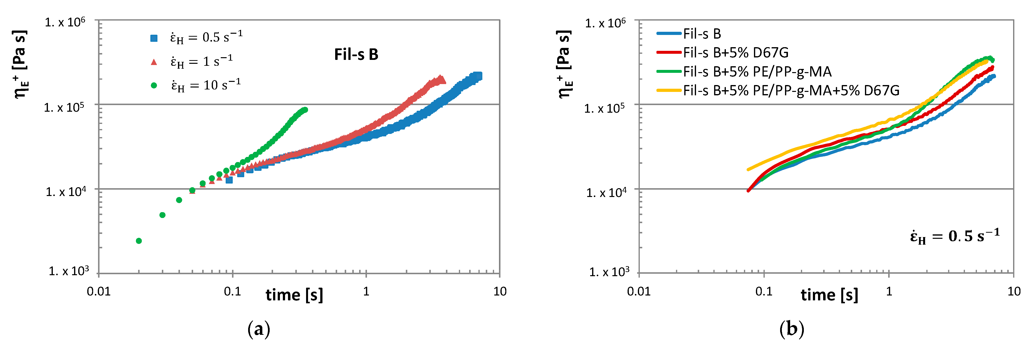
3. Results and Discussion
3.1. Main Differences between the Lots of Fil-s Selected for this Study
3.2. Compounding of Fil-s with the Nanofiller and/or the Compatibilizer
3.3. Processability by Film Blowing of Fil-s Based Systems
3.4. Production of Blown Films with Fil-s Based Systems
4. Conclusions
Author Contributions
Funding
Data Availability Statement
Acknowledgments
Conflicts of Interest
References
- European Parliament. Directive (EU) 2018/852 of the European Parliament and of the Council of 30 May 2018 Amending Directive 94/62/EC On Packaging and Packaging Waste. 2018. Available online: https://eur-lex.europa.eu/legal-content/EN/TXT/?uri=celex:32018L0852 (accessed on 1 July 2021).
- Nonclercq, A. Mapping Flexible Packaging in a Circular Economy—F.I.A.C.E; Delf University of Technology: Delft, The Netherlands, 2016. [Google Scholar]
- CEFLEX. A Circular Economy for Flexible Packaging. Available online: https://ceflex.eu/ (accessed on 14 November 2020).
- Grant, A.; Lugal, L.; Cordle, M. Flexible Films Market in Europe: State of Play, 2020. Eunomia. Available online: https://www.eunomia.co.uk/reports-tools/flexible-films-market-in-europe/ (accessed on 1 July 2021).
- Garofalo, E.; Claro, M.; Scarfato, P.; Di Maio, L.; Incarnato, L. Upgrading of recycled plastics obtained from flexible packaging waste by adding nanosilicates. AIP Conf. Proc. 2015, 1695, 020053. [Google Scholar] [CrossRef]
- Garofalo, E.; Di Maio, L.; Scarfato, P.; Di Gregorio, F.; Incarnato, L. Reactive compatibilization and melt compounding with nanosilicates of post-consumer flexible plastic packagings. Polym. Degrad. Stab. 2018, 152, 52–63. [Google Scholar] [CrossRef]
- Garofalo, E.; Di Maio, L.; Scarfato, P.; Di Gregorio, F.; Incarnato, L. Nanotechnology-based strategy to upgrade the performances of plastic flexible film waste. Polymers 2019, 11, 830. [Google Scholar] [CrossRef] [Green Version]
- Garofalo, E.; Scarfato, P.; Di Maio, L.; Protopapa, A.; Incarnato, L. Natural nanozeolite as desiccant and reinforcement additive in recycled polymer blends from post-consumer flexible packaging. Chem. Eng. Trans. 2021, 84, 229–234. [Google Scholar] [CrossRef]
- Garofalo, E.; Scarfato, P.; Di Maio, L.; Protopapa, A.; Incarnato, L. Zeolites as effective desiccants to solve hygroscopicity issue of post-consumer mixed polyolefin recyclates. J. Clean. Prod. 2021, 295, 126379. [Google Scholar] [CrossRef]
- Garofalo, E.; Di Maio, L.; Scarfato, P.; Pietrosanto, A.; Protopapa, A.; Incarnato, L. Study on Improving the processability and properties of mixed polyolefin post-consumer plastics for piping applications. Polymers 2020, 13, 71. [Google Scholar] [CrossRef]
- Ragaert, K.; Hubo, S.; Delva, L.; Veelaert, L.; Du Bois, E. Upcycling of contaminated post-industrial polypropylene waste: A design from recycling case study. Polym. Eng. Sci. 2018, 58, 528–534. [Google Scholar] [CrossRef]
- Radusin, T.; Nilsen, J.; Larsen, S.; Annfinsen, S.; Waag, C.; Eikeland, M.S.; Pettersen, M.K.; Fredriksen, S.B. Use of recycled materials as mid layer in three layered structures-new possibility in design for recycling. J. Clean. Prod. 2020, 259, 120876. [Google Scholar] [CrossRef]
- Starck, P.; Rajanen, K.; Löfgren, B. Comparative studies of ethylene-α-olefin copolymers by thermal fractionations and temperature-dependent crystallinity measurements. Thermochim. Acta 2002, 395, 169–181. [Google Scholar] [CrossRef]
- Van Der Wal, A.; Mulder, J.J.; Gaymans, R.J. Fracture of polypropylene: The effect of crystallinity. Polymer 1998, 39, 5477–5481. [Google Scholar] [CrossRef]
- Sentmanat, M.L. Miniature universal testing platform: From extensional melt rheology to solid-state deformation behavior. Rheol. Acta 2004, 43, 657–669. [Google Scholar] [CrossRef]
- Sentmanat, M.; Wang, B.N.; McKinley, G.H. Measuring the transient extensional rheology of polyethylene melts using the SER universal testing platform. J. Rheol. 2005, 49, 585–606. [Google Scholar] [CrossRef] [Green Version]
- Cran, M.J.; Bigger, S.W.; Scheirs, J. Characterizing blends of linear low-density and low-density polyethylene by DSC. J. Therm. Anal. Calorim. 2005, 81, 321–327. [Google Scholar] [CrossRef]
- Gala, A.; Guerrero, M.; Serra, J.M. Characterization of post-consumer plastic film waste from mixed MSW in Spain: A key point for the successful implementation of sustainable plastic waste management strategies. Waste Manag. 2020, 111, 22–33. [Google Scholar] [CrossRef]
- Hettema, R.; Van Tol, J.; Janssen, L.P.B.M. In-situ reactive blending of polyethylene and polypropylene in co-rotating and counter- rotating extruders. Polym. Eng. Sci. 1999, 39, 1628–1641. [Google Scholar] [CrossRef] [Green Version]
- Janssen, L.P.B.M. Reactive Extrusion Systems; CRC Press: Boca Raton, FL, USA, 2004; ISBN 9780203014172. [Google Scholar]
- Wang, Y.; Shi, Y.; Shao, W.; Ren, Y.; Dong, W.; Zhang, F.; Liu, L.Z. Crystallization, structures, and properties of different polyolefins with similar grafting degree of maleic anhydride. Polymers 2020, 12, 675. [Google Scholar] [CrossRef] [PubMed] [Green Version]
- Shabbir, A.; Goldansaz, H.; Hassager, O.; Van Ruymbeke, E.; Alvarez, N.J. Effect of hydrogen bonding on linear and nonlinear rheology of entangled polymer melts. Macromolecules 2015, 48, 5988–5996. [Google Scholar] [CrossRef] [Green Version]
- Garofalo, E.; Scarfato, P.; Di Maio, L.; Incarnato, L. Effect of nanocomposite composition on shear and elongational rheological behavior of PLA/MMT hybrids. AIP Conf. Proc. 2014, 1599, 422. [Google Scholar] [CrossRef]
- Di Maio, L.; Scarfato, P.; Garofalo, E.; Galdi, M.R.; D’Arienzo, L.; Incarnato, L. Processing-structure-properties relationships in PLA nanocomposite films. AIP Conf. Proc. 2014, 1593, 308–311. [Google Scholar] [CrossRef] [Green Version]
- Garofalo, E.; Galdi, M.R.; D’Arienzo, L.; Di Maio, L.; Incarnato, L. Effect of polymer/clay composition on processability of polylactide nanocomposites by film blowing. AIP Conf. Proc. 2015, 1695, 020054. [Google Scholar]
- Jönkkäri, I.; Poliakova, V.; Mylläri, V.; Anderson, R.; Andersson, M.; Vuorinen, J. Compounding and characterization of recycled multilayer plastic films. J. Appl. Polym. Sci. 2020, 137, 49101. [Google Scholar] [CrossRef]
- Vilaplana, F.; Karlsson, S. Quality concepts for the improved use of recycled polymeric materials: A review. Macromol. Mater. Eng. 2008, 293, 274–297. [Google Scholar] [CrossRef]
- Garofalo, E.; Incarnato, L.; Di Maio, L. Effect of short-chain branching on melt fracture behavior of metallocene and conventional poly(ethylene/α-olefin) copolymers. Polym. Eng. Sci. 2012, 52, 1968–1977. [Google Scholar] [CrossRef]
- Coppola, B.; Scarfato, P.; Incarnato, L.; Di Maio, L. Morphology development and mechanical properties variation during cold-drawing of polyethylene-clay nanocomposite fibers. Polymers 2017, 9, 235. [Google Scholar] [CrossRef] [PubMed] [Green Version]
- Münstedt, H. Extensional rheology and processing of polymeric materials. Int. Polym. Process. 2018, 33, 594–618. [Google Scholar] [CrossRef]
- Field, G.J.; Micic, P.; Bhattacharya, S.N. Melt strength and film bubble instability of LLDPE/LDPE blends. Polym. Int. 1999, 48, 461–466. [Google Scholar] [CrossRef]
- Steffi, T. Rheological and Film Blowing Properties of Various Low Density Polyethylenes and Their Blends; Shaker: Duren, Germany, 2004. [Google Scholar]
- Micic, P.; Bhattacharya, S.N. Rheology of LLDPE, LDPE and LLDPE/LDPE blends and its relevance to the film blowing process. Polym. Int. 2000, 49, 1580–1589. [Google Scholar] [CrossRef]
- Micic, P.; Bhattacharya, S.N.; Field, G. Transient elongational viscosity of LLDPE/LDPE blends and its relevance to bubble stability in the film blowing process. Polym. Eng. Sci. 1998, 38, 1685–1693. [Google Scholar] [CrossRef]
- Fang, Y.; Sadeghi, F.; Fleuret, G.; Carreau, P.J. Properties of blends of linearand branched polypropylenes in film blowing. Can. J. Chem. Eng. 2008, 86, 6–14. [Google Scholar] [CrossRef]
- Chang, A.; Tau, L.; Chum, S.P.; Hiltner, A.; Baer, E. Structure and properties of blown film from blends of polyethylene and high melt strength polypropylene. Am. Chem. Soc. Polym. Prepr. Div. Polym. Chem. 2002, 43, 299–300. [Google Scholar]
- Troisi, E.M.; Van Drongelen, M.; Caelers, H.J.M.; Portale, G.; Peters, G.W.M. Structure evolution during film blowing: An experimental study using in-situ small angle X-ray scattering. Eur. Polym. J. 2016, 74, 190–208. [Google Scholar] [CrossRef] [Green Version]
- Huang, Q.; Mangnus, M.; Alvarez, N.J.; Koopmans, R.; Hassager, O. A new look at extensional rheology of low-density polyethylene. Rheol. Acta 2016, 55, 343–350. [Google Scholar] [CrossRef] [Green Version]
- Micic, P.; Bhattacharya, S.N. Elongational behavior of polyethylene melts—Effect of deformation. Polym. Eng. Sci. 2000, 40, 1571–1580. [Google Scholar] [CrossRef]
- Garofalo, E.; Russo, G.M.; Scarfato, P.; Incarnato, L. Nanostructural modifications of polyamide/MMT hybrids under isothermal and nonisothermal elongational flow. J. Polym. Sci. Part B Polym. Phys. 2009, 47, 981–993. [Google Scholar] [CrossRef]
- Jurczuk, K.; Galeski, A.; Piorkowska, E. Strain hardening of molten thermoplastic polymers reinforced with poly(tetrafluoroethylene) nanofibers. J. Rheol. 2014, 58, 589–605. [Google Scholar] [CrossRef]
- Wagner, M.H.; Bastian, H.; Hachmann, P.; Meissner, J.; Kurzbeck, S.; Münstedt, H.; Langouche, F. The strain-hardening behaviour of linear and long-chain-branched polyolefin melts in extensional flows. Rheol. Acta 2000, 39, 97–109. [Google Scholar] [CrossRef]
- Dealy, J.M.; Wissbrun, K.F. Melt Rheology and Its Role in Plastics Processing; Springer: Dordrecht, The Netherlands, 1990; p. 551. ISBN 9780792358862. [Google Scholar]
- Bailey, E.J.; Winey, K.I. Dynamics of polymer segments, polymer chains, and nanoparticles in polymer nanocomposite melts: A review. Prog. Polym. Sci. 2020, 105, 101242. [Google Scholar] [CrossRef]












| Single screw extruder (GIMAC, Castronno-Italy) | L/D = 24, Dscrew = 12 mm |
| Blown film die TEACH-LINE (Dr. Collin GmbH, Munich-Germany) | Din = 30 mm, Dex = 32 mm |
| Film Blowing Unit BL50 TEACH-LINE (Dr. Collin GmbH, Munich-Germany) | Nip roll width 200 mm Take-off speed 1–12 m/min |
| Material | Temperature Profile from Hopper to Die (°C) | VCollection (m/min) | TUR | BUR |
|---|---|---|---|---|
| Fil-s A | 210–230–230–220 | 1.5 | 6 | 1.5 |
| Fil-s B | 185–190–200–185 | 3 | 13 | 1.5 |
| Wavenumbers (cm−1) | Assignment |
|---|---|
| 3500–3200 | −OH and −NH stretching |
| 1730 | C=O stretching |
| 1600–1565 | Conjugated (C=C) stretching, −NH stretching |
| 1260 | C−O stretching |
| 1100–1000 | Si−O stretching |
| 875 | C−O bending |
| Sample | G’ Slope | Sample | G’ Slope |
|---|---|---|---|
| Fil-s A | 0.62 | Fil-s B | 0.66 |
| Fil-s A + 5%D67G | 0.61 | Fil-s B + 5%D67G | 0.65 |
| Fil-s A + 5%PE/PP-g-MA | 0.58 | Fil-s B + 5%PE/PP-g-MA | 0.63 |
| Fil-s A + 5%PE/PP-g-MA + 5%D67G | 0.49 | Fil-s B + 5%PE/PP-g-MA + 5%D67G | 0.54 |
| Sample | Extensional Viscosity Index (EVI) |
|---|---|
| Fil-s B | 4.8 |
| Fil-s B + 5%D67G | 4.0 |
| Fil-s B + 5%PE/PP-g-MA | 7.7 |
| Fil-s B + 5%PE/PP-g-MA + 5%D67G | 5.8 |
| FILM | TmPE2 (°C) | * ΔHmPE (J/g) | XcPE (%) | TmPP (°C) | * ΔHmPP (J/g) | XcPP (%) |
|---|---|---|---|---|---|---|
| Fil-s A + 5%D67G | 125 | 92.0 | 31.4 | 160 | 61.3 | 29.6 |
| Fil-s A + 5%PE/PP-g-MA | 125 | 92.7 | 31.6 | 162 | 64.0 | 30.9 |
| Fil-s A + 5%PE/PP-g-MA + 5%D67G | 125 | 85.0 | 29.0 | 162 | 58.0 | 28.0 |
| Fil-s B + 5%D67G | 124 | 82.5 | 28.2 | 161 | 62.0 | 29.9 |
| Fil-s B + 5%PE/PP-g-MA | 123 | 79.7 | 27.2 | 161 | 64.0 | 30.9 |
| Fil-s B + 5%PE/PP-g-MA + 5%D67G | 123 | 81.6 | 27.8 | 160 | 70.0 | 33.8 |
| Section 1: Fil-s A Films (100 μm) | E (MPa) | εb (%) | σb (MPa) |
| Fil-s A + 5%D67G | 530 ± 30 b | 350 ± 60 ac | 13 ± 1 a |
| Fil-s A + 5%PE/PP-g-MA | 510 ± 20 b | 290 ± 30 a | 15 ± 1 b |
| Fil-s A + 5%PE/PP-g-MA + 5%D67G | 410 ± 20 a | 430 ± 90 bc | 16 ± 1 b |
| Section 2: Fil-s B Films (50 μm) | E (MPa) | εb (%) | σb (MPa) |
| Fil-s B + 5%D67G | 360 ± 30 c | 130 ± 10 a | 14 ± 1 a |
| Fil-s B + 5%PE/PP-g-MA | 270 ± 30 a | 140 ± 20 a | 15 ± 1 b |
| Fil-s B + 5%PE/PP-g-MA + 5%D67G | 330 ± 20 b | 120 ± 10 a | 13 ± 2 a |
| Section 3: Fil-s B Films with the Compatibilizer | E (MPa) | εb (%) | σb (MPa) |
| Fil-s B + 5%PE/PP-g-MA (50 μm) | 270 ± 30 a | 140 ± 20 a | 15 ± 1 a |
| Fil-s B + 5%PE/PP-g-MA (30 μm) | 390 ± 20 b | 130 ± 20 a | 27 ± 2 b |
Publisher’s Note: MDPI stays neutral with regard to jurisdictional claims in published maps and institutional affiliations. |
© 2021 by the authors. Licensee MDPI, Basel, Switzerland. This article is an open access article distributed under the terms and conditions of the Creative Commons Attribution (CC BY) license (https://creativecommons.org/licenses/by/4.0/).
Share and Cite
Garofalo, E.; Di Maio, L.; Scarfato, P.; Apicella, A.; Protopapa, A.; Incarnato, L. Nanosilicates in Compatibilized Mixed Recycled Polyolefins: Rheological Behavior and Film Production in a Circular Approach. Nanomaterials 2021, 11, 2128. https://doi.org/10.3390/nano11082128
Garofalo E, Di Maio L, Scarfato P, Apicella A, Protopapa A, Incarnato L. Nanosilicates in Compatibilized Mixed Recycled Polyolefins: Rheological Behavior and Film Production in a Circular Approach. Nanomaterials. 2021; 11(8):2128. https://doi.org/10.3390/nano11082128
Chicago/Turabian StyleGarofalo, Emilia, Luciano Di Maio, Paola Scarfato, Annalisa Apicella, Antonio Protopapa, and Loredana Incarnato. 2021. "Nanosilicates in Compatibilized Mixed Recycled Polyolefins: Rheological Behavior and Film Production in a Circular Approach" Nanomaterials 11, no. 8: 2128. https://doi.org/10.3390/nano11082128
APA StyleGarofalo, E., Di Maio, L., Scarfato, P., Apicella, A., Protopapa, A., & Incarnato, L. (2021). Nanosilicates in Compatibilized Mixed Recycled Polyolefins: Rheological Behavior and Film Production in a Circular Approach. Nanomaterials, 11(8), 2128. https://doi.org/10.3390/nano11082128

