Diode-Like Current Leakage and Ferroelectric Switching in Silicon SIS Structures with Hafnia-Alumina Nanolaminates
Abstract
1. Introduction
2. Materials and Methods
3. Results
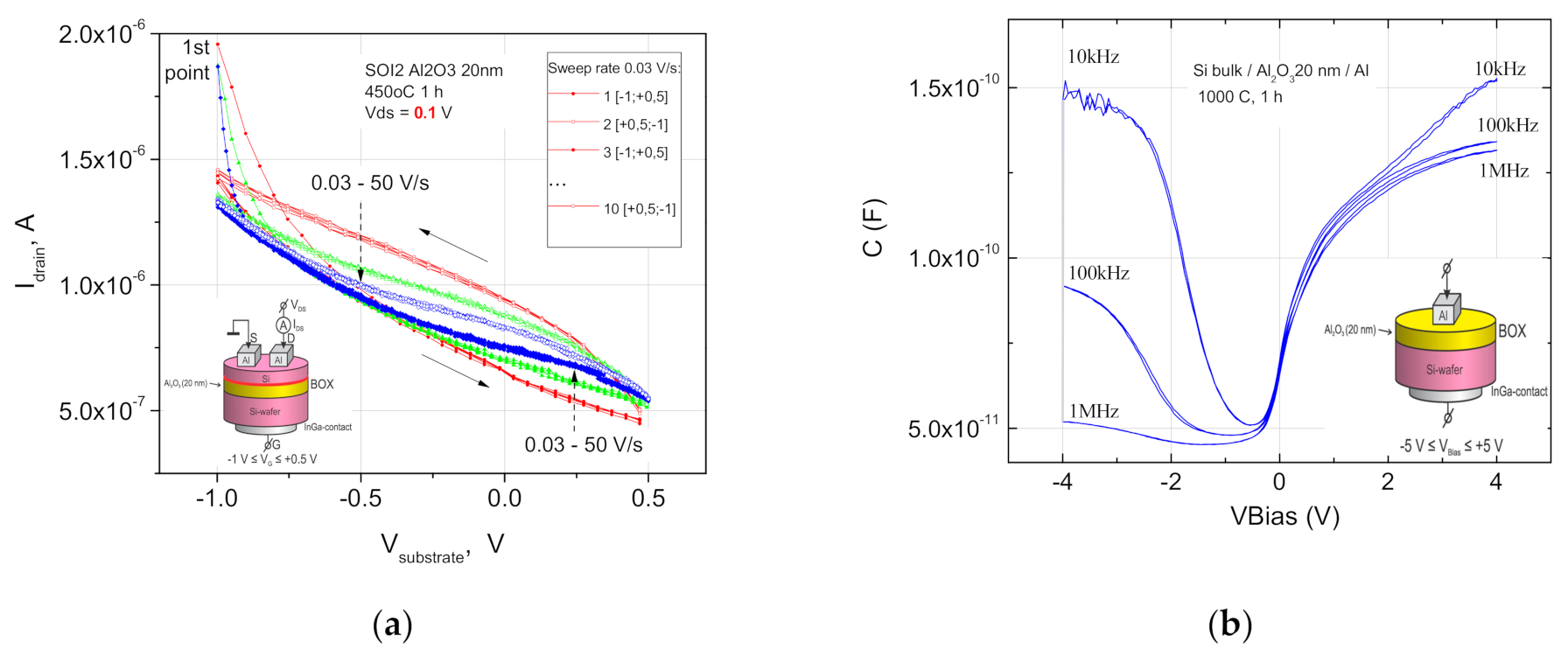
3.1. Symmetrical SIS with a 20-nm-Thick Alumina or Hafnia Built-In Insulator
3.2. Rectification and Hysteresis in the Symmetrical SIS with a 20 nm Stack HfO2/Al2O3/…/HfO2
4. Discussion
4.1. Random Shunts in the Built-in Insulator HfO2/Al2O3 Stacks
4.2. Possible Mechanisms of the Charge Transport through Built-In Insulator HfO2/Al2O3 Stacks
4.3. Normalized Differential Conductance Approach for the Separation of Charge Transport Mechanisms
4.4. Ferroelectricity in Nanolaminated Built-In Insulator HfO2/Al2O3/HfO2 Stacks
4.5. SFS Pseudo-MOSFET Characteristics
5. Conclusions
Supplementary Materials
Author Contributions
Funding
Data Availability Statement
Acknowledgments
Conflicts of Interest
References
- Kim, S.; Han, J.; Choi, W.J.; Song, J.D.; Kim, H.-J. Functionalized Bonding Materials and Interfaces for Heterogeneously Layer-Stacked Applications. J. Korean Phys. Soc. 2019, 74, 82–87. [Google Scholar] [CrossRef]
- Li, E.; Zhou, B.; Bo, Y.; Wang, A.X. High-Speed Femto-Joule per Bit Silicon-Conductive Oxide Nanocavity Modulator. arXiv 2020, arXiv:2004.00983. [Google Scholar] [CrossRef]
- Li, E.; Wang, A.X. High-Speed Atto-joule per Bit Photonic Crystal Nanocavity Modulator. In Proceedings of the 2019 IEEE Optical Interconnects Conference (OI), Santa Fe, NM, USA, 24–26 April 2019. [Google Scholar]
- Then, H.W.; Radosavljevic, M.; Jun, K.; Koirala, P.; Krist, B.; Talukdar, T.; Fischer, P. Gallium Nitride and Silicon Transistors on 300 mm Silicon Wafers Enabled by 3-D Monolithic Heterogeneous Integration. IEEE Trans. Electron Devices 2020, 67, 5306–5314. [Google Scholar] [CrossRef]
- Zhao, Q.; Miao, J.; Zhou, S.; Gui, C.; Tang, B.; Liu, M.; Wan, H.; Hu, J. High-Power GaN-Based Vertical Light-Emitting Diodes on 4-Inch Silicon Substrate. Nanomaterials 2019, 9, 1178. [Google Scholar] [CrossRef] [PubMed]
- Li, E.; Wang, A.X. Theoretical Analysis of Energy Efficiency and Bandwidth Limit of Silicon Photonic Modulators. J. Lightwave Technol. 2019, 37, 5801–5813. [Google Scholar] [CrossRef]
- Harris, N.C.; Ma, Y.; Mower, J.; Baehr-Jones, T.; Englund, D.; Hochberg, M.; Galland, C. Compact and Low Loss Thermo-optic Phase Shifter in Silicon. Opt. Express 2014, 22, 10487–10493. [Google Scholar] [CrossRef] [PubMed]
- Seok, T.J.; Quack, N.; Han, S.; Wu, M.C. Large-scale broadband digital silicon photonic switches with vertical adiabatic couplers. Optica 2016, 3, 64–70. [Google Scholar] [CrossRef]
- Shen, Y.; Harris, N.; Skirlo, S.; Prabhu, M.; Baehr-Jones, T.; Hochberg, M.; Sun, X.; Zhao, S.; Larochelle, H.; Englund, D.; et al. Deep learning with coherent nanophotonic circuits. Nat. Photonics 2017, 11, 441. [Google Scholar] [CrossRef]
- Saito, S.; Tomita, I.; Sotto, M.; Debnath, K.; Byers, J.; Al-Attili, A.Z.; Burt, D.; Husain, M.K.; Arimoto, H.; Ibukuro, K.; et al. Si photonic waveguides with broken symmetries: Applications from modulators to quantum simulations. Jpn. J. Appl. Phys. 2020, 59, SO0801. [Google Scholar] [CrossRef]
- Han, J.; Bidenko, P.; Song, J.; Kim, S. Feasibility study on negative capacitance SIS phase shifter for low-power optical phase modulation. In Proceedings of the 2018 IEEE 15th International Conference on Group IV Photonics (GFP), Cancun, Mexico, 29–31 August 2018; pp. 39–40. [Google Scholar]
- Han, J.-H.; Takenaka, M.; Takagi, S. Study on void reduction in direct wafer bonding using Al2O3/HfO2 bonding interface for high-performance Si high-k MOS optical modulators. Jpn. J. Appl. Phys. 2016, 55, 04EC06. [Google Scholar] [CrossRef]
- Li, Q.; Ho, C.P.; Takagi, S.; Takenaka, M. Optical phase modulators based on reverse-biased III-v/si hybrid metal-oxide-semiconductor capacitors. IEEE Photonics Tech. Lett. 2020, 32, 345–348. [Google Scholar] [CrossRef]
- Blom, P.W.M.; Wolf, R.M.; Cillessen, J.F.M.; Krijn, M.P.C.M. Ferroelectric Schottky diode. Phys. Rev. Lett. 1994, 73, 2107–2110. [Google Scholar] [CrossRef] [PubMed]
- Choi, T.; Lee, S.; Choi, Y.; Kiryukhin, V.; Cheong, S.-W. Switchable ferroelectric diode and photovoltaic effect in BiFeO3. Science 2009, 324, 63–66. [Google Scholar] [CrossRef] [PubMed]
- Huang, B.C.; Chen, Y.T.; Chiu, Y.P.; Huang, Y.C.; Yang, J.C.; Chen, Y.C.; Chu, Y.H. Direct observation of ferroelectric polarization-modulated band bending at oxide interfaces. Appl. Phys. Lett. 2012, 100, 122903. [Google Scholar] [CrossRef]
- Xu, H.; Liu, Y.; Xu, B.; Xia, Y.; Wang, G.; Yin, J.; Liu, Z. Polarization-controlled tunable rectifying behaviors in highly oriented (K,Na)NbO3/LaNiO3 heterostructures on silicon. J. Phys. D Appl. Phys. 2016, 49, 375105. [Google Scholar] [CrossRef]
- Dragoman, M.; Modreanu, M.; Povey, I.M.; Iordanescua, S.; Aldrigoa, M.; Dinescua, A.; Vasilachea, D.; Romanitan, C.; Dragoman, D. Current rectification effects in 6nm thick HfxZr1-xOy ferroelectrics/Si planar heterostructures. Phys. E Low-Dimens. Syst. Nanostruct. 2018, 104, 241–246. [Google Scholar] [CrossRef]
- Luo, Q.; Cheng, Y.; Yang, J.; Cao, R.; Ma, R.; Yang, Y.; Huang, R.; Wei, W.; Zheng, Y.; Gong, T.; et al. A highly CMOS compatible hafnia-based ferroelectric diode. Nat. Commun. 2020, 11, 1391. [Google Scholar] [CrossRef]
- Schenk, T.; Pešić, M.; Slesazeck, S.; Schroeder, U.; Mikolajick, T. Memory technology-A primer for material scientists. Rep. Prog. Phys. 2020, 83, 086501. [Google Scholar] [CrossRef]
- Sessi, V.; Simon, M.; Mulaosmanovic, H.; Pohl, D.; Loeffler, M.; Mauersberger, T.; Fengler, F.P.G.; Mittmann, T.; Richter, C.; Mikolajick, T.; et al. A Silicon Nanowire Ferroelectric Field-Effect Transistor. Adv. Electron. Mater. 2020, 6, 1901244. [Google Scholar] [CrossRef]
- Zhou, Y.; Wang, C.; Tian, S.; Yaoa, X.; Gea, C.; Guoa, E.; Hea, M.; Yang, G.; Jin, K. Switchable ferroelectric diode and photovoltaic effects in polycrystalline BiFeO3 thin films grown on transparent substrates. Thin Solid Films 2020, 698, 137851. [Google Scholar] [CrossRef]
- Tang, Y.-T.; Fan, C.-L.; Kao, Y.-C.; Modolo, N.; Cu, C.-J.; Kao, C.-H.; Wu, P.-J.; Hsaio, S.-W.; Yeh, W.-K.; Wang, Y.-H.; et al. A Comprehensive Kinetical Modeling of Polymorphic Phase Distribution of Ferroelectric-Dielectrics and Interfacial Energy Effects on Negative Capacitance FETs. In Proceedings of the 2019 Symposium on VLSI Technology, Kyoto, Japan, 9–14 June 2019; pp. T222–T223. [Google Scholar]
- Tyschenko, I.E.; Popov, V.P. Silicon-on-insulator structures produced by ion-beam synthesis and hydrogen transfer. In Advances in Semiconductor Nanostructures; Latyshev, A.V., Dvurechenskii, A.V., Aseev, A.L., Eds.; Elsevier: Amsterdam, The Netherlands, 2017; pp. 409–436. ISBN 978-0-12-810512-2. [Google Scholar]
- Popov, V.P.; Antonov, V.A.; Tyschenko, I.E.; Vdovin, V.I.; Gutakovskii, A.K.; Miakonkikh, A.V.; Rudenko, K.V. Hafnia and alumina stacks as UTBOXs in silicon-on insulator structures. Solid State Electron. 2020, 168, 107734. [Google Scholar] [CrossRef]
- Popov, V.P.; Antonov, V.A.; Vdovin, V.I. Positive Charge in SOS Heterostructures with Interlayer Silicon Oxide. Semiconductors. Semiconductors 2018, 52, 1341–1348. [Google Scholar] [CrossRef]
- Popov, V.; Ilnitsky, M.; Antonov, V.; Vdovin, V.; Tyschenko, I.; Miakonkikh, A.; Rudenko, K. Ferroelectric properties of SOS and SOI pseudo-MOSFETs with HfO2 interlayers. Solid-State Electron. 2019, 159, 63–70. [Google Scholar] [CrossRef]
- Hotta, Y.; Kawayama, I.; Miyake, S.; Saiki, I.; Nishi, S.; Yamahara, K.; Arafune, K.; Yoshida, H.; Satoh, S.; Sawamoto, N.; et al. Control of dipole properties in high-k and SiO2 stacks on Si substrates with tricolor superstructure. Appl. Phys. Lett. 2018, 113, 012103. [Google Scholar] [CrossRef]
- Popov, V.; Antonov, V.; Tikhonenko, F.; Miakonkikh, A.; Simakin, S.; Rudenko, K.; Lukichev, V. Modifying SOI Properties by the CO+ Molecular Ion Implantation. In EUROSOI-ULIS 2020; IEEE Express: Caen, France, 2020; in press. [Google Scholar]
- Ortiz-Conde, A.; Sucre-González, A.; Torres-Torres, R.; Molina, J.; Murphy-Arteaga, R.S.; García-Sánchez, F.J. Conductance-to-Current-Ratio-Based Parameter Extraction in MOS Leakage Current Models. IEEE Trans. Electron Devices 2016, 63, 3844–3850. [Google Scholar] [CrossRef]
- Nouibat, T.H.; Messai, Z.; Chikouch, D.; Ouennoughi, Z.; Rouag, N.; Rommel, M.; Frey, L. Normalized differential conductance to study current conduction mechanisms in MOS structures. Microelectron. Reliab. 2018, 91, 183–187. [Google Scholar] [CrossRef]
- Ranuárez, J.C.; Deen, M.J.; Chen, C.-H. A review of gate tunneling current in MOS devices. Microelectron. Reliab. 2006, 46, 1939–1956. [Google Scholar] [CrossRef]
- Yojo, L.S.; Rangel, R.C.; Sasaki, K.R.A.; Martino, J.A. Analytical modeling of the p-type BESOI MOSFET at linear region operation. In Proceedings of the 2019 34th Symposium on Microelectronics Technology and Devices (SBMicro), Sao Paulo, Brazil, 26–30 August 2019. [Google Scholar]
- Yojo, L.S.; Rangel, R.C.; Sasaki, K.R.A.; Ortiz-Conde, A.; Martino, J.A. Impact of Schottky contacts on p-type back enhanced SOI MOSFETs. Solid-State Electron. 2020, 169, 107815. [Google Scholar] [CrossRef]
- Liu, X.; Yao, L.; Cheng, Y.; Xiao, B.; Liu, M.; Wang, W. Observing large ferroelectric polarization in top-electrode-free Al:HfO2 thin films with Al-rich strip structures. Appl. Phys. Lett. 2019, 115, 152901. [Google Scholar] [CrossRef]
- Cristoloveanu, S.; Ionica, I.; Diab, A.; Liu, F. The pseudo-MOSFET: Principles and recent trends. ECS Trans. 2012, 50, 249–258. [Google Scholar] [CrossRef]
- Tarkov, M.S.; Leushin, A.N.; Tikhonenko, F.V.; Tyschenko, I.E.; Popov, V.P. Logic Elements and Crossbar Architecture Based on SOI Two-Gate Ferroelectric Transistors. In EUROSOI-ULIS 2020; IEEE Express: Caen, France, 2020; in press. [Google Scholar]









Publisher’s Note: MDPI stays neutral with regard to jurisdictional claims in published maps and institutional affiliations. |
© 2021 by the authors. Licensee MDPI, Basel, Switzerland. This article is an open access article distributed under the terms and conditions of the Creative Commons Attribution (CC BY) license (http://creativecommons.org/licenses/by/4.0/).
Share and Cite
Popov, V.P.; Tikhonenko, F.V.; Antonov, V.A.; Tyschenko, I.E.; Miakonkikh, A.V.; Simakin, S.G.; Rudenko, K.V. Diode-Like Current Leakage and Ferroelectric Switching in Silicon SIS Structures with Hafnia-Alumina Nanolaminates. Nanomaterials 2021, 11, 291. https://doi.org/10.3390/nano11020291
Popov VP, Tikhonenko FV, Antonov VA, Tyschenko IE, Miakonkikh AV, Simakin SG, Rudenko KV. Diode-Like Current Leakage and Ferroelectric Switching in Silicon SIS Structures with Hafnia-Alumina Nanolaminates. Nanomaterials. 2021; 11(2):291. https://doi.org/10.3390/nano11020291
Chicago/Turabian StylePopov, Vladimir P., Fedor V. Tikhonenko, Valentin A. Antonov, Ida E. Tyschenko, Andrey V. Miakonkikh, Sergey G. Simakin, and Konstantin V. Rudenko. 2021. "Diode-Like Current Leakage and Ferroelectric Switching in Silicon SIS Structures with Hafnia-Alumina Nanolaminates" Nanomaterials 11, no. 2: 291. https://doi.org/10.3390/nano11020291
APA StylePopov, V. P., Tikhonenko, F. V., Antonov, V. A., Tyschenko, I. E., Miakonkikh, A. V., Simakin, S. G., & Rudenko, K. V. (2021). Diode-Like Current Leakage and Ferroelectric Switching in Silicon SIS Structures with Hafnia-Alumina Nanolaminates. Nanomaterials, 11(2), 291. https://doi.org/10.3390/nano11020291

