Extracting the Infrared Permittivity of SiO2 Substrates Locally by Near-Field Imaging of Phonon Polaritons in a van der Waals Crystal
Abstract
1. Introduction
2. Materials and Methods
2.1. Sample Fabrication
2.2. Fabrication of Gold Optical Nanoantennas
2.3. Scattering-Type Scanning Near-Field Optical Microscopy (s-SNOM)
2.4. Full-Wave Numerical Simulations
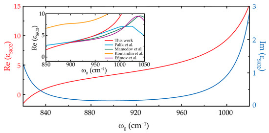
3. Results and Discussion
4. Conclusions
Author Contributions
Funding
Institutional Review Board Statement
Informed Consent Statement
Data Availability Statement
Acknowledgments
Conflicts of Interest
Appendix A

References
- Low, T.; Chaves, A.; Caldwell, J.D.; Kumar, A.; Fang, N.X.; Avouris, P.; Heinz, T.F.; Guinea, F.; Martin-Moreno, L.; Koppens, F. Polaritons in layered two-dimensional materials. Nat. Mater. 2017, 16, 182–194. [Google Scholar] [CrossRef] [PubMed]
- Basov, D.; Fogler, M.; de Abajo, F.G. Polaritons in van der Waals materials. Science 2016, 354, aag1992. [Google Scholar] [CrossRef] [PubMed]
- Dai, S.; Fei, Z.; Ma, Q.; Rodin, A.S.; Wagner, M.; McLeod, A.S.; Liu, M.K.; Gannett, W.; Regan, W.; Watanabe, K.; et al. Basov, Tunable phonon polaritons in atomically thin van der Waals crystals of boron nitride. Science 2014, 343, 1125–1129. [Google Scholar] [CrossRef]
- Giles, A.J.; Dai, S.; Vurgaftman, I.; Hoffman, T.; Liu, S.; Lindsay, L.; Ellis, C.T.; Assefa, N.; Chatzakis, I.; Reinecke, T.L.; et al. Ultralow-loss polaritons in isotopically pure boron nitride. Nat. Mater. 2018, 17, 134–139. [Google Scholar] [CrossRef] [PubMed]
- Caldwell, J.D.; Aharonovich, I.; Cassabois, G.; Edgar, J.H.; Gil, B.; Basov, D.N. Photonics with hexagonal boron nitride. Nat. Rev. Mater. 2019, 4, 552–567. [Google Scholar] [CrossRef]
- Ma, W.; Alonso-González, P.; Li, S.; Nikitin, A.Y.; Yuan, J.; Martín-Sánchez, J.; Taboada-Gutiérrez, J.; Amenabar, I.; Li, P.; Vélez, S.; et al. In-plane anisotropic and ultra-low-loss polaritons in a natural van der Waals crystal. Nature 2018, 562, 557–562. [Google Scholar] [CrossRef]
- Zheng, Z.; Xu, N.; Oscurato, S.L.; Tamagnone, M.; Sun, F.; Jiang, Y.; Ke, Y.; Chen, J.; Huang, W.; Wilson, W.L.; et al. A mid-infrared biaxial hyperbolic van der Waals crystal. Sci. Adv. 2019, 5, eaav8690. [Google Scholar] [CrossRef]
- Duan, J.; Capote-Robayna, N.; Taboada-Gutiérrez, J.; Álvarez-Pérez, G.; Prieto, I.; Martín-Sánchez, J.; Nikitin, A.Y.; Alonso-González, P. Twisted Nano-Optics: Manipulating Light at the Nanoscale with Twisted Phonon Polaritonic Slabs. Nano Lett. 2020, 20, 5323–5329. [Google Scholar] [CrossRef]
- Zheng, Z.; Sun, F.; Huang, W.; Jiang, J.; Zhan, R.; Ke, Y.; Chen, H.; Deng, S. Phonon Polaritons in Twisted Double-Layers of Hyperbolic van der Waals Crystals. Nano Lett. 2020, 20, 5301–5308. [Google Scholar] [CrossRef]
- Chen, M.; Lin, X.; Dinh, T.H.; Zheng, Z.; Shen, J.; Ma, Q.; Chen, H.; Jarillo-Herrero, P.; Dai, S. Configurable phonon polaritons in twisted α-MoO3. Nat. Mater. 2020, 19, 1307–1311. [Google Scholar] [CrossRef]
- Hu, G.; Ou, Q.; Si, G.; Wu, Y.; Wu, J.; Dai, Z.; Krasnok, A.; Mazor, Y.; Zhang, Q.; Bao, Q.; et al. Topological polaritons and photonic magic angles in twisted α-MoO3 bilayers. Nature 2020, 582, 209–213. [Google Scholar] [CrossRef] [PubMed]
- de Oliveira, T.V.A.G.; Nörenberg, T.; Álvarez-Pérez, G.; Wehmeier, L.; Taboada-Gutiérrez, J.; Obst, M.; Hempel, F.; Lee, E.J.H.; Klopf, J.M.; Errea, I.; et al. Nanoscale-confined Terahertz Polaritons in a van der Waals Crystal. Adv. Mater. 2020, 2005777. [Google Scholar] [CrossRef] [PubMed]
- Taboada-Gutiérrez, J.; Álvarez-Pérez, G.; Duan, J.; Ma, W.; Crowley, K.; Prieto, I.; Bylinkin, A.; Autore, M.; Volkova, H.; Kimura, K.; et al. Broad spectral tuning of ultra-low-loss polaritons in a van der Waals crystal by intercalation. Nat. Mater. 2020, 19, 964–968. [Google Scholar] [CrossRef] [PubMed]
- Duan, J.; Chen, R.; Li, J.; Jin, K.; Sun, Z.; Chen, J. Launching Phonon Polaritons by Natural Boron Nitride Wrinkles with Modifiable Dispersion by Dielectric Environments. Adv. Mater. 2017, 29, 1702494. [Google Scholar] [CrossRef] [PubMed]
- Fali, A.; White, S.T.; Folland, T.G.; He, M.; Aghamiri, N.A.; Liu, S.; Edgar, J.H.; Caldwell, J.D.; Haglund, R.F.; Abate, Y. Refractive Index-Based Control of Hyperbolic Phonon-Polariton Propagation. Nano Lett. 2019, 19, 7725–7734. [Google Scholar] [CrossRef] [PubMed]
- Shelby, J.E. Introduction to Glass Science and Technology, 2nd ed.; The Royal Society of Chemistry: Cambridge, UK, 2005; pp. 249–264. [Google Scholar]
- Komandin, G.A.; Nozdrin, V.S.; Pronin, A.A.; Porodinkov, O.E.; Anzin, V.B.; Spektor, I.E. Dielectric Loss of Thin-Film SiO2 Samples on Al in THz-IR range. Phys. Solid State 2020, 62, 267–272. [Google Scholar] [CrossRef]
- Palik, E.D. Handbook of Optical Constants of Solids, 1st ed.; Elsevier: New York, NY, USA, 1997; pp. 749–764. [Google Scholar]
- Mamedov, R.K.; Mansurov, G.M.; Dubovikov, N.I. Optical Constants of Quartz Glass in the IR Range. Sov. J. Opt. Technol. 1982, 49, 256. [Google Scholar]
- Efimov, A.M. Optical constants of Inorganic Glasses, 1st ed.; Taylor & Francis Group: Boca Raton, FL, USA, 2020; pp. 63–77. [Google Scholar]
- Ruta, F.L.; Sternbach, A.J.; Dieng, A.B.; McLeod, A.S.; Basov, D.N. Quantitative Nanoinfrared Spectroscopy of Anisotropic van der Waals Materials. Nano Lett. 2020, 20, 7933–7940. [Google Scholar] [CrossRef]
- Autore, M.; Mester, L.; Goikoetxea, M.; Hillenbrand, R. Substrate Matters: Surface-Polariton Enhanced Infrared Nanospectroscopy of Molecular Vibrations. Nano Lett. 2019, 19, 8066–8073. [Google Scholar] [CrossRef]
- Mester, L.; Govyadinov, A.A.; Chen, S.; Goikoetxea, M.; Hillenbrand, R. Subsurface chemical nanoidentification by nano-FTIR spectroscopy. Nat. Commun. 2020, 11, 3359. [Google Scholar] [CrossRef]
- Álvarez-Pérez, G.; Folland, T.G.; Errea, I.; Taboada-Gutiérrez, J.; Duan, J.; Martín-Sánchez, J.; Tresguerres-Mata, A.I.F.; Matson, J.R.; Bylinkin, A.; He, M.; et al. Infrared Permittivity of the Biaxial van der Waals Semiconductor α-MoO3 from Near- and Far-Field Correlative Studies. Adv. Mater. 2020, 32, 1908176. [Google Scholar] [CrossRef] [PubMed]
- Álvarez-Pérez, G.; Voronin, K.V.; Volkov, V.S.; Alonso-González, P.; Nikitin, A.Y. Analytical approximations for the dispersion of electromagnetic modes in slabs of biaxial crystals. Phys. Rev. B 2019, 100, 235408. [Google Scholar] [CrossRef]
- Schubert, M.; Tiwald, T.E.; Herzinger, C.M. Infrared dielectric anisotropy and phonon modes of sapphire. Phys. Rev. B 2000, 61, 8187. [Google Scholar] [CrossRef]
- Folland, T.G.; Nordin, L.; Wasserman, D.; Caldwell, J.D. Probing polaritons in the mid- to far-infrared. J. Appl. Phys. 2019, 125, 191102. [Google Scholar] [CrossRef]
- Woessner, A.; Lundeberg, M.B.; Gao, Y.; Principi, A.; Alonso-González, P.; Carrega, M.; Watanabe, K.; Taniguchi, T.; Vignale, G.; Polini, M.; et al. Highly confined low-loss plasmons in graphene–boron nitride heterostructures. Nat. Mater. 2015, 14, 421–425. [Google Scholar] [CrossRef] [PubMed]
- Alonso-González, P.; Nikitin, A.Y.; Golmar, F.; Centeno, A.; Pesquera, A.; Vélez, S.; Chen, J.; Navickaite, G.; Koppens, F.; Zurutuza, A. Controlling graphene plasmons with resonant metal antennas and spatial conductivity patterns. Science 2014, 344, 1369–1373. [Google Scholar] [CrossRef]
- Passler, N.C.; Paarmann, A. Generalized 4 × 4 matrix formalism for light propagation in anisotropic stratified media: Study of surface phonon polaritons in polar dielectric heterostructures. J. Opt. Soc. Am. B 2017, 34, 2128. [Google Scholar] [CrossRef]
- Huck, C.; Vogt, J.; Neuman, T.; Nagao, T.; Hillenbrand, R.; Aizpurua, J.; Pucci, A.; Neubrech, F. Strong coupling between phonon-polaritons and plasmonic nanorods. Opt. Express. 2016, 24, 25528–25539. [Google Scholar] [CrossRef]
- Wuttig, M.; Bhaskaran, H.; Taubner, T. Phase-change materials for non-volatile photonic applications. Nat. Photonics 2017, 11, 465–476. [Google Scholar] [CrossRef]
- Folland, T.G.; Fali, A.; White, S.T.; Matson, J.R.; Liu, S.; Aghamiri, N.A.; Edgar, J.H.; Haglund, R.F., Jr.; Abate, Y.; Caldwell, J.D. Reconfigurable infrared hyperbolic metasurfaces using phase change materials. Nat. Commun. 2018, 9, 4371. [Google Scholar] [CrossRef] [PubMed]




| Crystal Axis | |||
|---|---|---|---|
| 905 | 100 | ||
| 979 | 100 | ||
| 979 | 001 |
| Crystal Axis | |||
|---|---|---|---|
| 905 | 100 | ||
| 979 | 100 | ||
| 979 | 001 |
| (Phonon Index) | ||||
|---|---|---|---|---|
| 2 | 1 | 450 | 505 | 51 |
| 2 | 800 | 830 | 10 | |
| 3 | 1045 | 1240 | 10 |
Publisher’s Note: MDPI stays neutral with regard to jurisdictional claims in published maps and institutional affiliations. |
© 2021 by the authors. Licensee MDPI, Basel, Switzerland. This article is an open access article distributed under the terms and conditions of the Creative Commons Attribution (CC BY) license (http://creativecommons.org/licenses/by/4.0/).
Share and Cite
Aguilar-Merino, P.; Álvarez-Pérez, G.; Taboada-Gutiérrez, J.; Duan, J.; Prieto, I.; Álvarez-Prado, L.M.; Nikitin, A.Y.; Martín-Sánchez, J.; Alonso-González, P. Extracting the Infrared Permittivity of SiO2 Substrates Locally by Near-Field Imaging of Phonon Polaritons in a van der Waals Crystal. Nanomaterials 2021, 11, 120. https://doi.org/10.3390/nano11010120
Aguilar-Merino P, Álvarez-Pérez G, Taboada-Gutiérrez J, Duan J, Prieto I, Álvarez-Prado LM, Nikitin AY, Martín-Sánchez J, Alonso-González P. Extracting the Infrared Permittivity of SiO2 Substrates Locally by Near-Field Imaging of Phonon Polaritons in a van der Waals Crystal. Nanomaterials. 2021; 11(1):120. https://doi.org/10.3390/nano11010120
Chicago/Turabian StyleAguilar-Merino, Patricia, Gonzalo Álvarez-Pérez, Javier Taboada-Gutiérrez, Jiahua Duan, Iván Prieto, Luis Manuel Álvarez-Prado, Alexey Y. Nikitin, Javier Martín-Sánchez, and Pablo Alonso-González. 2021. "Extracting the Infrared Permittivity of SiO2 Substrates Locally by Near-Field Imaging of Phonon Polaritons in a van der Waals Crystal" Nanomaterials 11, no. 1: 120. https://doi.org/10.3390/nano11010120
APA StyleAguilar-Merino, P., Álvarez-Pérez, G., Taboada-Gutiérrez, J., Duan, J., Prieto, I., Álvarez-Prado, L. M., Nikitin, A. Y., Martín-Sánchez, J., & Alonso-González, P. (2021). Extracting the Infrared Permittivity of SiO2 Substrates Locally by Near-Field Imaging of Phonon Polaritons in a van der Waals Crystal. Nanomaterials, 11(1), 120. https://doi.org/10.3390/nano11010120

