Influence of Water on the Oxidation of NO on Pd/TiO2 Photocatalysts
Abstract
1. Introduction
2. Experimental
2.1. Synthesis of Photocatalysts
2.2. Dip Coating
2.3. Analysis Techniques
2.4. Photoactivity Study
3. Results
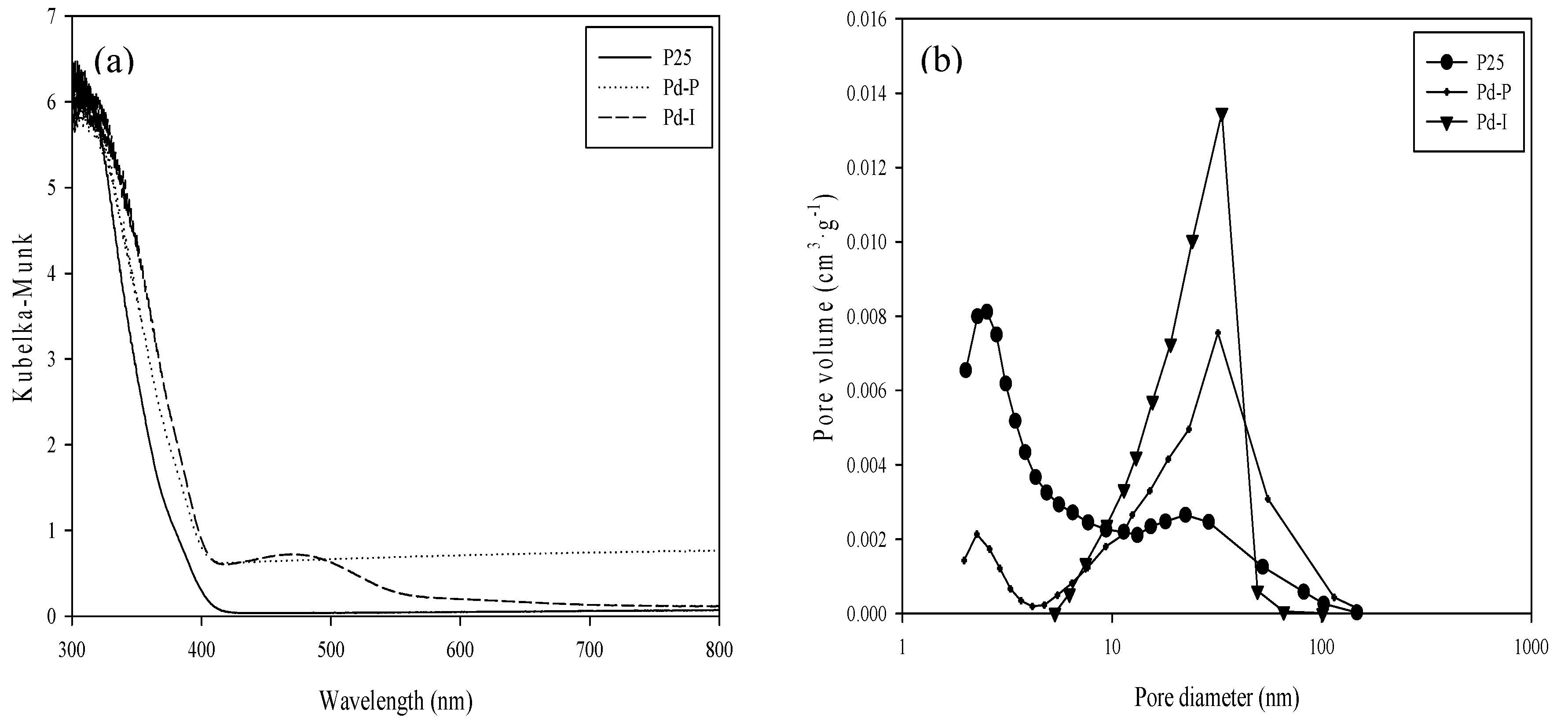
3.1. Characterization of the Modified Catalysts
3.2. Characterization of the Deposits
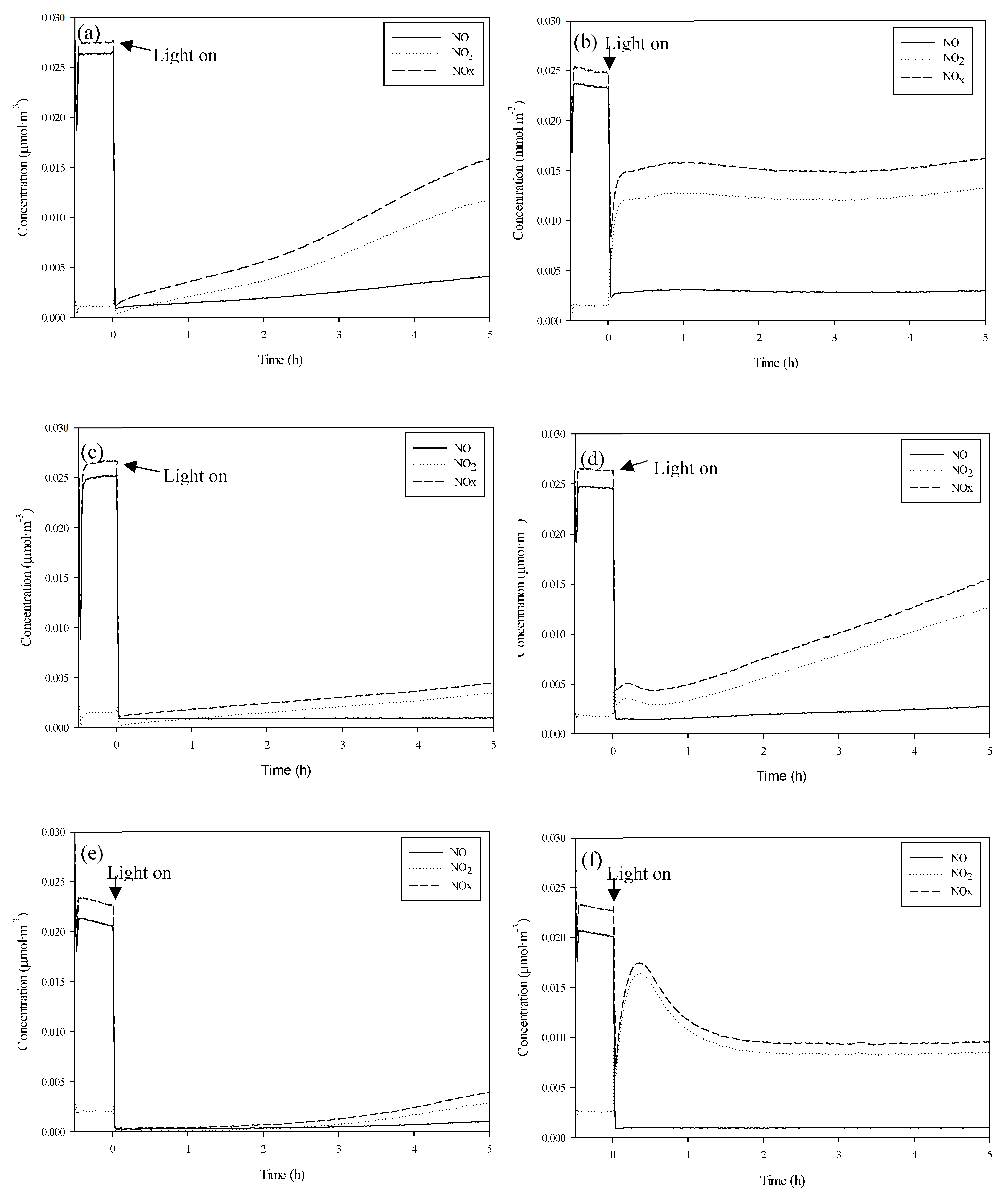
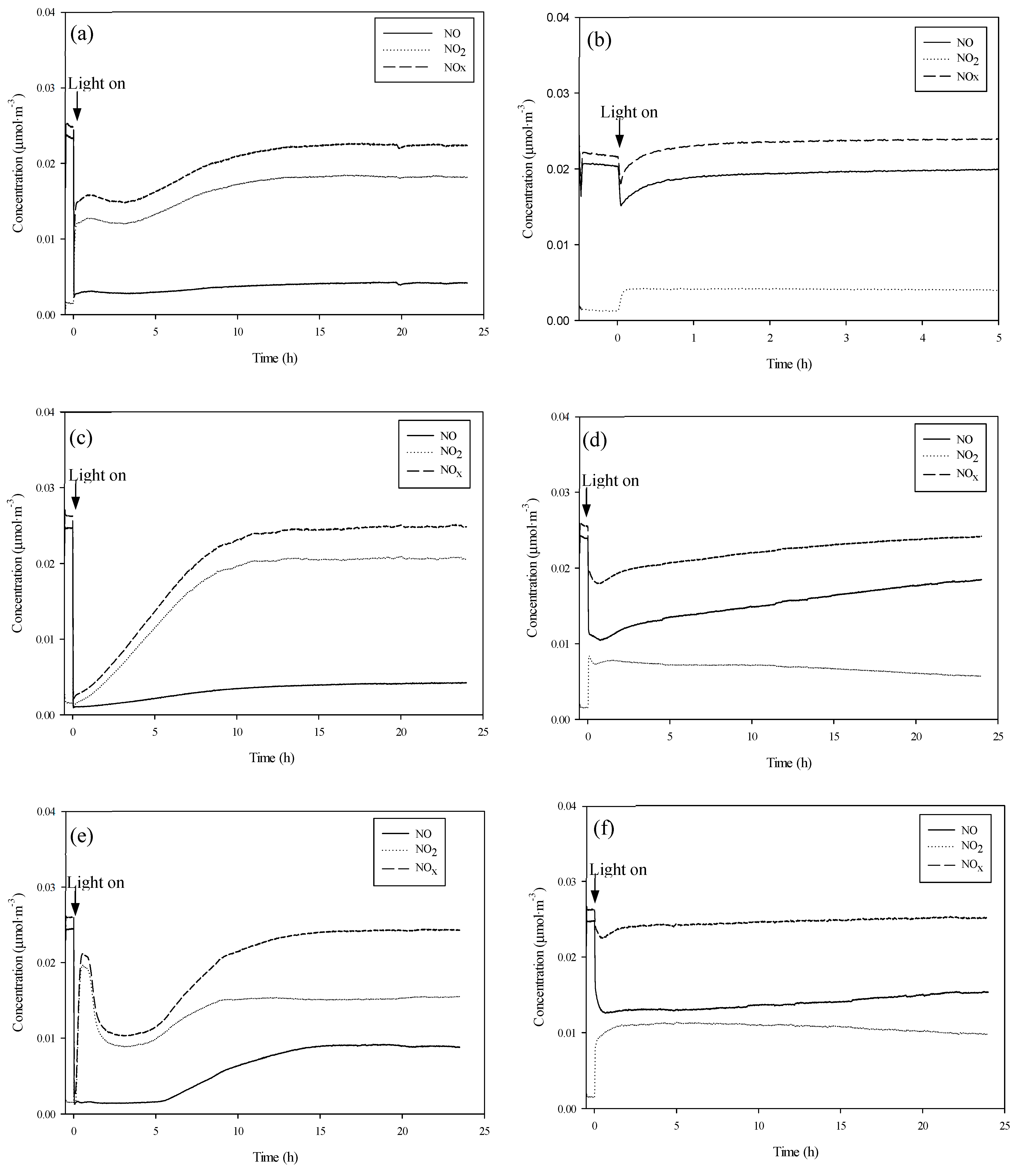
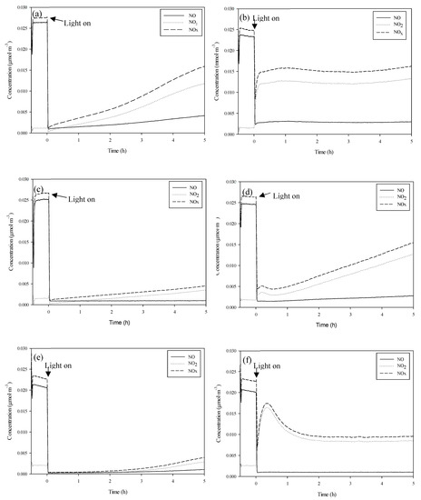
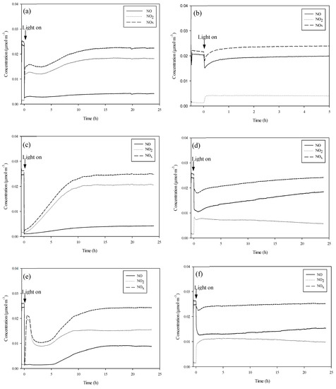
3.3. Comparison of Oxidation of the NOx
3.3.1. Influence of the Presence of Water on the Catalyst Surface on the Oxidation Mechanism
3.3.2. Influence of Palladium Oxidation State
4. Conclusions
Author Contributions
Funding
Acknowledgments
Conflicts of Interest
References
- Paz, Y. Application of TiO2 photocatalysis for air treatment: Patents’ overview. Appl. Catal. B 2010, 99, 448–460. [Google Scholar] [CrossRef]
- Roy, S.; Hegde, M.S.; Madras, G. Catalysis for NOx abatement. Appl. Energy 2009, 86, 2283–2297. [Google Scholar] [CrossRef]
- Lasek, J.; Yu, Y.H.; Wu, J.C.S. Removal of NOx by photocatalytic processes. J. Photochem. Photobiol. C 2013, 14, 29–52. [Google Scholar] [CrossRef]
- Skalska, K.; Miller, J.S.; Ledakowicz, S. Trends in NOx abatement: A review. Sciencie Total. Environ. 2010, 408, 3976–3989. [Google Scholar] [CrossRef] [PubMed]
- Engel, A.; Große, J.; Dillert, R.; Bahnemann, D.W. The influence of irradiance and humidity on the photocatalytic conversion of nitrogen (II) oxide. J. Adv. Oxid. Technol. 2015, 18, 195–203. [Google Scholar] [CrossRef]
- Ballari, M.M.; Hunger, M.; Hüsken, G.; Brouwers, H.J.H. Modelling and experimental study of the NOx photocatalytic degradation employing concrete pavement with titanium dioxide. Catal. Today 2010, 151, 71–76. [Google Scholar] [CrossRef]
- Ângelo, J.; Andrade, L.; Madeira, L.M.; Mendez, A. An overview of photocatalysis phenomena applied to NOx abatement. J. Environ. Manag. 2013, 129, 522–539. [Google Scholar] [CrossRef]
- Laufs, S.; Burgeth, G.; Duttlinger, W.; Kurtenbach, R.; Maban, M.; Thomas, C.; Wiesen, P.; Kleffmann, J. Conversion of nitrogen oxides on commercial photocatalytic dispersion paints. Atmos. Environ. 2010, 44, 2341–2349. [Google Scholar] [CrossRef]
- Pelaez, M.; Nolan, N.T.; Pillai, S.C.; Seery, M.K.; Falaras, P.; Kontos, A.G.; Dunlop, P.S.M.; Hamilton, J.W.J.; Byrne, J.A.; O’Shea, K. A review on the visible light active titanium dioxide photocatalysts for environmental applications. Appl. Catal. B 2012, 125, 331–349. [Google Scholar] [CrossRef]
- Sung-Suh, H.M.; Choi, J.R.; Hah, H.J.; Koo, S.M.; Bae, Y.C. Comparison of Ag deposition effects on the photocatalytic activity of nanoparticulate TiO2 under visible and UV light irradiation. J. Photochem. Photobiol. A 2004, 163, 37–44. [Google Scholar] [CrossRef]
- Rothenberger, G.; Moser, J.; Graetzel, M.; Serpone, N.; Sharma, D.K. Charge carrier trapping and recombination dynamics in small semiconductor particles. J. Am. Chem. 1985, 107, 8054–8059. [Google Scholar] [CrossRef]
- Maicu, M.; Hidalgo, M.C.; Colón, G.; Navío, J.A. Comparative study of the photodeposition of Pt, Au and Pd on pre-sulphated TiO2 for the photocatalytic decomposition of phenol. J. Photochem. Photobiol. A 2011, 217, 275–283. [Google Scholar] [CrossRef]
- Papp, J.; Shen, H.S.; Kershaw, R.; Dwight, K.; Wold, A. Titanium(IV) oxide photocatalysts with palladium. Chem. Mater. 1993, 5, 284–288. [Google Scholar] [CrossRef]
- Wu, Z.; Sheng, Z.; Wang, H.; Liu, Y. Relationship between Pd oxidation states on TiO2 and the photocatalytic oxidation behaviors of nitric oxide. Chemosphere 2009, 77, 264–268. [Google Scholar] [CrossRef] [PubMed]
- Lee, S.K.; Mills, A. Platinum and palladium in semiconductor photocatalytic systems. Platin. Metals Rev. 2003, 47, 61–72. [Google Scholar]
- Araña, J.; Doña-Rodríguez, J.M.; González Díaz, O.; Tello Rendón, E.; Herrera Melián, J.A.; Colón, G.; Navío, J.A.; Pérez Peña, J. Gas-phase ethanol photocatalytic degradation study with TiO2 doped with Fe, Pd and Cu. J. Mol. Catal. A Chem. 2004, 215, 153–160. [Google Scholar]
- Sano, T.; Neigishi, N.; Uchino, K.; Tanaka, J.; Matsuzawa, S.; Takeuchi, K. Photocatalytic degradation of gaseous acetaldehyde on TiO2 with photodeposited metals and metal oxides. J. Photochem. Photobiol. A 2003, 160, 93–98. [Google Scholar] [CrossRef]
- Su, I.H.; Jeffrey, J.C.S. Photo selective catalytic reduction of nitric oxide with propane at room temperature. Catal. Commun. 2009, 10, 1534–1537. [Google Scholar] [CrossRef]
- Yang, C.; Zhang, Q.; Li, J.; Gao, R.; Li, Z.; Huang, W. Catalytic activity and crystal structure modification of Pd/γ-Al2O3–TiO2 catalysts with different Al2O3 contents. J. Energy Chem. 2016, 25, 345–352. [Google Scholar] [CrossRef]
- Beck, A.; Horváth, A.; Schay, Z.; Stefler, G.Y.; Koppány, Z.S.; Sajó, I.; Geszti, O.; Guczi, L. Sol derived gold–palladium bimetallic nanoparticles on TiO2: Structure and catalytic activity in CO oxidation. Top. Catal. 2007, 44, 115–121. [Google Scholar] [CrossRef]
- Fujiwara, K.; Müller, U.; Pratsinis, S.E. Pd Subnano-Clusters on TiO2 for Solar-Light Removal of NO. ACS Catal. 2016, 6, 1887–1893. [Google Scholar] [CrossRef]
- Fujiwara, K.; Pratsinis, S.E. Atomically dispersed Pd on nanostructured TiO2 for NO removal by solar light. AIChE J. 2017, 63, 136–146. [Google Scholar] [CrossRef]
- Wu, Z.; Sheng, Z.; Liu, Y.; Wang, H.; Tang, N.; Wang, J. Characterization and activity of Pd-modified TiO2 catalysts for photocatalytic oxidation of NO in gas phase. J. Hazard. Mater. 2009, 164, 542–548. [Google Scholar] [CrossRef] [PubMed]
- Sheng, Z.; Wu, Z.; Liu, Y.; Wang, H. Gas-phase photocatalytic oxidation of NO over palladium modified TiO2 catalysts. Catal. Commun. 2008, 9, 1941–1944. [Google Scholar] [CrossRef]
- Tandon, S.P.; Gupta, J.P. Measurement of Forbidden Energy Gap of Semiconductors by Diffuse Reflectance Technique. Physica 1970, 1, 363–367. [Google Scholar] [CrossRef]
- Hernández Rodríguez, M.J.; Pulido Melián, E.; González Díaz, O.; Araña, J.; Macías, M.; González Orive, A.; Doña Rodríguez, J.M. Comparison of supported TiO2 catalysts in the photocatalytic degradation of NOx. J. Mol. Catal. A Chem. 2016, 413, 56–66. [Google Scholar]
- Zhang, Z.; Mestl, G.; Knözinger, H.; Sachtler, W.M.H. Effects of calcination program and rehydration on palladium dispersion in zeolites. Appl. Catal. A 1992, 89, 155–168. [Google Scholar] [CrossRef]
- Pulido Melián, E.; López, C.R.; Ortega Méndez, A.; González Díaz, O.; Suárez, M.N.; Doña Rodríguez, J.M.; Navío, J.A.; Fernández Hevia, D. Hydrogen production using Pt-loaded TiO2 photocatalysts. Int. J. Hydrogen Energy 2013, 38, 11737–11748. [Google Scholar] [CrossRef]
- Ortega Méndez, J.A.; López, C.R.; Pulido Melián, E.; González Díaz, O.; Doña Rodríguez, J.M.; Fernández Hevia, D.; Macías, M. Production of hydrogen by water photo-splitting over commercial and synthesised Au/TiO2 catalysts. Appl. Catal. B 2014, 147, 439–452. [Google Scholar] [CrossRef]
- Aramendía, M.A.; Borau, V.; Colmenares, J.C.; Marinas, A.; Marinas, J.M.; Navío, J.A.; Urbano, F.J. Modification of the photocatalytic activity of Pd/TiO2 and Zn/TiO2 systems through different oxidative and reductive calcination treatments. Appl. Catal. B 2008, 80, 88–97. [Google Scholar] [CrossRef]
- Hernández Rodríguez, M.J.; Pulido Melián, E.; García Santiago, D.; González Díaz, O.; Navío, J.A.; Doña Rodríguez, J.M. NO photooxidation with TiO2 photocatalysts modified with gold and platinum. Appl. Catal. B 2017, 205, 148–157. [Google Scholar] [CrossRef]
- Gniewek, A.; Trzeciak, A.M.; Ziółkowsk, J.J.; Kępiński, L.; Wrzyszcz, J.; Tylus, W. Pd-PVP colloid as catalyst for Heck and carbonylation reactions: TEM and XPS studies. J. Catal. 2005, 229, 332–343. [Google Scholar] [CrossRef]
- Mills, A.; Elouali, S. The nitric oxide ISO photocatalytic reactor system: Measurement of NOx removal activity and capacity. J. Photochem. Photobiol. A 2015, 305, 29–36. [Google Scholar] [CrossRef]
- Kantcheva, M. FT-IR spectroscopic investigation of the reactivity of NOx species adsorbed on Cu2+/ZrO2 and CuSO4/ZrO2 catalysts toward decane. Appl. Catal. B Environ. 2003, 42, 89–109. [Google Scholar] [CrossRef][Green Version]
- Long, S.R.Q.; Yang, R.T. Reaction mechanism of selective catalytic reduction of NO with NH3 over Fe-ZSM-5 catalyst. J. Catal. 2002, 207, 224–231. [Google Scholar] [CrossRef]
- Hixson, B.C.; Jordan, J.W.; Wagner, E.L.; Bevsek, H.M. Reaction products and kinetics of the reaction of NO2 with γ-Fe2O3. J. Phys. Chem. A 2011, 115, 13364–13369. [Google Scholar] [CrossRef]
- Goebbert, D.J.; Garand, E.; Wende, T.; Bergamann, R.; Meijer, G.; Asmis, K.R.; Neurma, D.M. Infrared Spectroscopy of the Microhidated Nitrate Ions NO3-(H2O)1-6. J. Phys. Chem. A 2009, 113, 7584–7592. [Google Scholar] [CrossRef]
- Ruggeri, P.; Selleri, T.; Colombo, M.; Nova, I.; Tronconi, E. Investigation of NO2 and NO interaction with an Fe-ZSM-5 catalyst by transient response methods and chemical trapping techniques. J. Catal. 2015, 328, 258–269. [Google Scholar] [CrossRef]
- Lignell, H.; Varner, M.E.; Finlayson-Pitts, B.J.; Gerber, R.B. Isomerization and ionization of N2O4 on model ice and silica surfaces. Chem. Physics 2012, 405, 52–59. [Google Scholar] [CrossRef]
- Soria, J.; Sanz, J.; Sobrados, I.; Coronado, J.M.; Maira, A.J.; Herández-Alonso, M.D.; Fresno, F. FTIR and NMR Study of the Adsorbed Water on Nanocrystalline Anatase. J. Phys. Chem. C 2007, 111, 10590–10596. [Google Scholar] [CrossRef]
- Araña, J.; Garzón Sousa, D.; González Díaz, O.; Pulido Melián, E.; Doña Rodríguez, J.M. Effect of NO2 and NO3-/HNO3 adsorption on NO photocatalytic conversión. Appl. Catal. B Environ. 2019, 244, 660–670. [Google Scholar] [CrossRef]
- Lei, G.; Mingxia, X. Influences of the Pd doping on the visible light photocatalytic activities of InVO4–TiO2 thin films. Mater. Sci. Eng. B 2006, 131, 222–229. [Google Scholar]
- Sakthivel, S.; Shankar, M.V.; Palanichamy, M.; Arabindoo, B.; Bahnemann, D.W.; Murugesan, V. Enhancement of photocatalytic activity by metal deposition: Characterisation and photonic efficiency of Pt, Au and Pd deposited on TiO2 catalyst. Water Res. 2014, 38, 3001–3008. [Google Scholar] [CrossRef] [PubMed]
- Dare-Edwards, M.P.; Goodenough, J.B.; Hamnett, A. Evaluation of p-type PdO as a photocathode in water photoelectrolysis. Mater. Res. Bull 1984, 19, 435–442. [Google Scholar] [CrossRef]
- Zhou, W.; Guan, Y.; Wang, D.; Zhang, X.; Liu, D.; Jiang, H.; Wang, J.; Liu, X.; Liu, J.; Chen, S. PdO/TiO2 and Pd/TiO2 heterostructured nanobelts with enhanced photocatalytic activity. Chem. Asian J. 2014, 9, 1648–1654. [Google Scholar] [CrossRef]










| Catalysts | % Anatase | Crystallite Size | Surface Area (m2∙g−1) | Pore Volume (cm3·g−1) | |
|---|---|---|---|---|---|
| Anatase (nm) | Rutile (nm) | ||||
| P25 | 82.0 | 23.0 | 33.0 | 48.6 | 0.18 |
| Pd-P | 79.4 | 21.2 | 35.4 | 49.8 | 0.41 |
| Pd-I | 81.7 | 18.9 | 33.1 | 52.7 | 0.33 |
| Catalysts | Binding Energy/eV (Ti) | % at. Ti | Binding Energy/eV (O) | % at. O | Binding Energy/eV Pd | % at. Pd | % wt. Pd | Olattice/Ti |
|---|---|---|---|---|---|---|---|---|
| Pd-P | 458.01 | 28.35 | 529.01 | 71.53 | 334.01 | 0.11 | 0.37 | 2.10 |
| Pd-I | 458.00 | 28.38 | 529.00 | 71.32 | 336.00 | 0.27 | 1.05 | 2.20 |
| NO Removed (%) | NO2 Generated (%) | NOx Removed (%) | NO Removed (%) | NO2 Generated (%) | NOx Removed (%) | ||
|---|---|---|---|---|---|---|---|
| Pd-P 0% RH | 96.23 | 1.17 | 95.06 | Pd-I 0% RH | 97.05 | 0.00 | 97.05 |
| Pd-P 25% RH | 95.04 | 3.61 | 91.43 | Pd-I 25% RH | 95.05 | 17.77 | 77.28 |
| Pd-P 40% RH | 89.69 | 20.74 | 68.95 | Pd-I 40% RH | 93.90 | 38.40 | 55.50 |
| Pd-P 65% RH | 91.27 | 21.19 | 70.08 | Pd-I 65% RH | 95.01 | 34.54 | 60.47 |
| P25 0% RH | 90.73 | 16.29 | 74.44 | P25 65% RH | 87.16 | 46.50 | 40.65 |
| NO Removed (%) | NO2 Generated (%) | NOx Removed (%) | |
|---|---|---|---|
| Cycle 1 | 95.01 | 34.54 | 60.47 |
| Cycle 2 | 92.18 | 20.53 | 71.65 |
| Cycle 3 | 92.33 | 9.18 | 83.14 |
| Cycle 4 | 94.16 | 8.11 | 86.05 |
Publisher’s Note: MDPI stays neutral with regard to jurisdictional claims in published maps and institutional affiliations. |
© 2020 by the authors. Licensee MDPI, Basel, Switzerland. This article is an open access article distributed under the terms and conditions of the Creative Commons Attribution (CC BY) license (http://creativecommons.org/licenses/by/4.0/).
Share and Cite
Hernández Rodríguez, M.J.; Pulido Melián, E.; Araña, J.; Navío, J.A.; González Díaz, O.M.; Santiago, D.E.; Doña Rodríguez, J.M. Influence of Water on the Oxidation of NO on Pd/TiO2 Photocatalysts. Nanomaterials 2020, 10, 2354. https://doi.org/10.3390/nano10122354
Hernández Rodríguez MJ, Pulido Melián E, Araña J, Navío JA, González Díaz OM, Santiago DE, Doña Rodríguez JM. Influence of Water on the Oxidation of NO on Pd/TiO2 Photocatalysts. Nanomaterials. 2020; 10(12):2354. https://doi.org/10.3390/nano10122354
Chicago/Turabian StyleHernández Rodríguez, M. J., E. Pulido Melián, J. Araña, J. A. Navío, O. M. González Díaz, Dunia E. Santiago, and J. M. Doña Rodríguez. 2020. "Influence of Water on the Oxidation of NO on Pd/TiO2 Photocatalysts" Nanomaterials 10, no. 12: 2354. https://doi.org/10.3390/nano10122354
APA StyleHernández Rodríguez, M. J., Pulido Melián, E., Araña, J., Navío, J. A., González Díaz, O. M., Santiago, D. E., & Doña Rodríguez, J. M. (2020). Influence of Water on the Oxidation of NO on Pd/TiO2 Photocatalysts. Nanomaterials, 10(12), 2354. https://doi.org/10.3390/nano10122354

