The Fluoride Ion Release from Ion-Releasing Dental Materials after Surface Loading by Topical Treatment with Sodium Fluoride Gel
Abstract
1. Introduction
2. Materials and Methods
3. Results
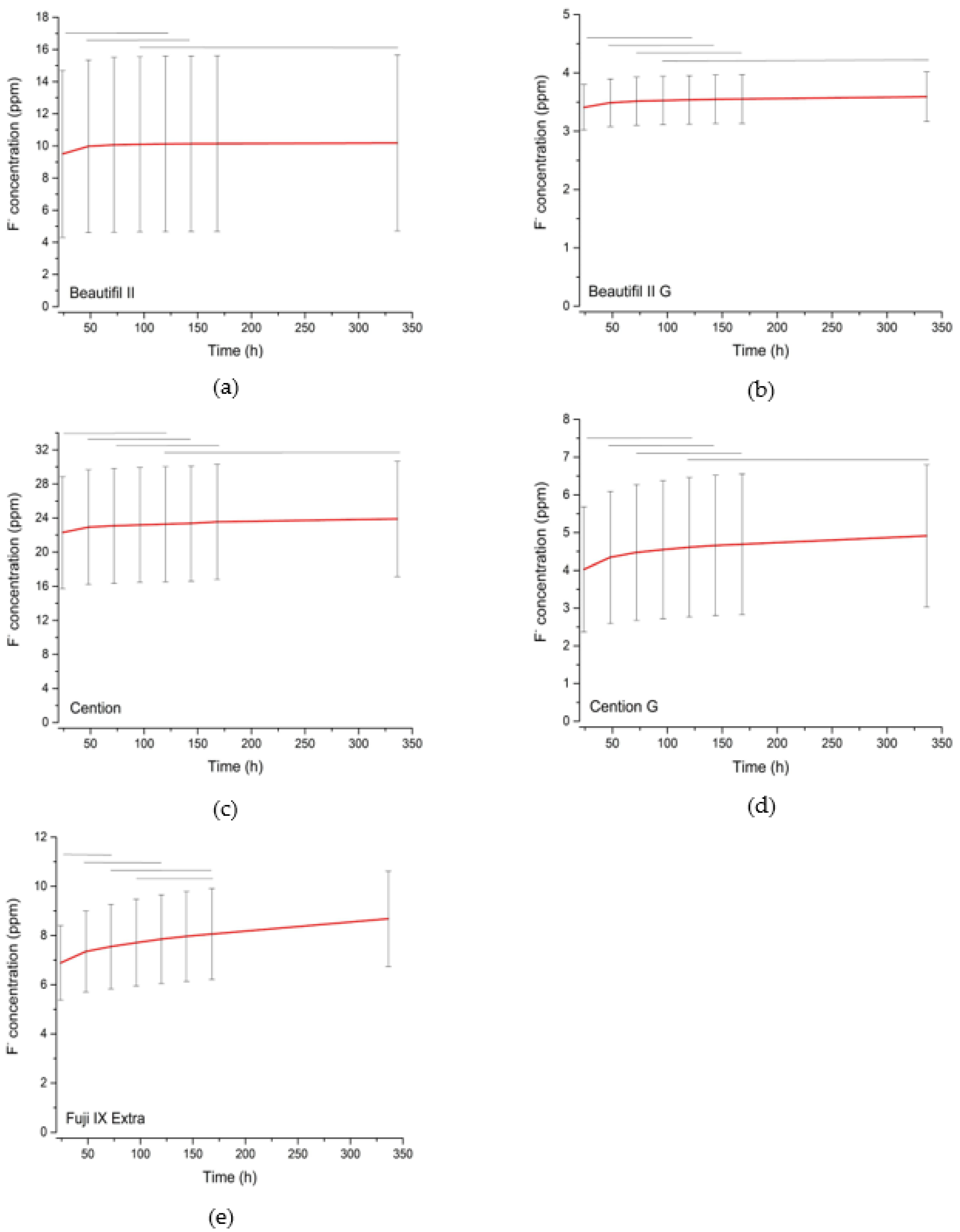
3.1. Re-Release of Fluoride Ions
3.2. The Effect of Adhesive/GIC Coating on Fluoride Re-Release
3.3. Changes in the Mass after the Fluoride Re-Release
4. Discussion
5. Conclusions
- Alkasite composite (Cention), Giomer (Beautiful II) and conventional glass-ionomer cement (Fuji IX Extra) can be recharged with fluoride ions by topically applied NaF gel. Conventional composite (Filtek Z250) showed no recharge ability;
- The alkasite composite had a better recharge potential than giomer and conventional glass-ionomer cement;
- Application of the dental adhesive systems and a GIC coating harmed fluoride recharge and re-release.
Author Contributions
Funding
Institutional Review Board Statement
Informed Consent Statement
Data Availability Statement
Acknowledgments
Conflicts of Interest
References
- Lennon, A.M.; Wiegand, A.; Buchalla, W.; Attin, T. Approximal caries development in surfaces in contact with fluoride-releasing and non-fluoride-releasing restorative materials: An in situ study. Eur. J. Oral Sci. 2007, 115, 497–501. [Google Scholar] [CrossRef] [PubMed]
- Ruengrungsom, C.; Burrow, M.F.; Parashos, P.; Palamara, J.E.A. Evaluation of F, Ca, and P release and microhardness of eleven ion-leaching restorative materials and the recharge efficacy using a new Ca/P containing fluoride varnish. J. Dent. 2020, 102, 103474. [Google Scholar] [CrossRef] [PubMed]
- Surintanasarn, A.; Siralertmukul, K.; Thamrongananskul, N. Synthesized mesoporous silica and calcium aluminate cement fillers increased the fluoride recharge and lactic acid neutralizing ability of a resin-based pit and fissure sealant. Dent. Mater. J. 2017, 36, 706–713. [Google Scholar] [CrossRef] [PubMed]
- Gui, Y.; Zhao, X.; Li, S.; Tang, L.; Gong, X. Fluoride release and recharge properties of six restorative materials. Zhonghua Kou Qiang Yi Xue Za Zhi 2015, 50, 28–32. [Google Scholar]
- Cildir, S.A.; Sandalli, N. Fluoride release/uptake of glass-ionomer cements and polyacid-modified composite resins. Dent. Mater. J. 2005, 24, 92–97. [Google Scholar] [CrossRef]
- Mousavinasab, S.M.; Meyers, I. Fluoride release and uptake by glass ionomer cements, compomers and giomers. Res. J. Biol. Sci. 2009, 6, 609–616. [Google Scholar]
- Forsten, L. Short- and long-term fluoride release from glass ionomers and other fluoride-containing filling materials in vitro. Scand. J. Dent. Res. 1990, 98, 179–185. [Google Scholar] [CrossRef]
- van Dijken, J.W.; Kalfas, S.; Litra, V.; Oliveby, A. Fluoride and mutans streptococci levels in plaque on aged restorations of resin-modified glass ionomer cement, compomer and resin composite. Caries Res. 1997, 31, 379–383. [Google Scholar] [CrossRef]
- Naoum, S.; Ellakwa, A.; Martin, F.; Swain, M. Fluoride release, recharge and mechanical property stability of various fluoride-containing resin composites. Oper. Dent. 2011, 36, 422–432. [Google Scholar] [CrossRef]
- Gao, W.; Smales, R.J. Fluoride release/uptake of conventional and resin-modifed glass ionomers, and compomers. J. Dent. 2001, 29, 301–306. [Google Scholar] [CrossRef]
- Braden, M.; Clarke, R.L. Water absorption characteristics of dental microfine composite filling materials. I. Proprietary materials. Biomaterials 1984, 5, 369–372. [Google Scholar] [CrossRef] [PubMed]
- Chu, C.H.; Mei, M.L.; Lo, E.C.M. Use of fluorides in dental caries management. Gen. Dent. 2010, 58, 79–80. [Google Scholar]
- Mousavinasab, S.M.; Meyers, I. Fluoride release by glass ionomer cements, compomer and giomer. Dent. Res. J. 2009, 6, 75–81. [Google Scholar]
- Bayrak, S.; Tunc, E.S.; Aksoy, A.; Ertas, E.; Guvenc, D.; Ozer, S. Fluoride release and recharge from different materials used as fissure sealants. Eur. J. Dent. 2010, 4, 245–250. [Google Scholar] [CrossRef]
- Williams, J.A.; Billington, R.W.; Pearson, G.J. A long term study of fluoride release from metal-containing conventional and resin-modified glass-ionomer cements. J. Oral Rehabil. 2001, 28, 41–47. [Google Scholar] [CrossRef]
- Naoum, S.; Martin, E.; Ellakwa, A. Long-term fluoride exchanges at restoration surfaces and effects on surface mechanical properties. ISRN Dent. 2013, 19, 1–8. [Google Scholar] [CrossRef]
- Wiegand, A.; Buchalla, W.; Attin, T. Review on fluoride-releasing restorative materials—Fluoride release and uptake characteristics, antibacterial activity and influence on caries formation. Dent. Mater. 2007, 23, 343–362. [Google Scholar] [CrossRef]
- Gupta, A.K.; Ayoob, S. Defluoridation techniques: An overview. In Fluoride in Drinking Water, 1st ed.; CRC Press: Boca Raton, Fl, USA, 2016. [Google Scholar]
- Rai, S.; Kumari, R.A.; Meena, N. Comparative assessment of fluoride release and recharge through newer fluoride releasing posterior restorative materials: An in vitro study. J. Conserv. Dent. 2019, 22, 544–547. [Google Scholar] [CrossRef]
- Bansal, R.; Bansal, T. A comparative evaluation of the amount of fluoride release and re- release after recharging from aesthetic restorative materials: An in vitro study. J. Clin. Diagn. Res. 2015, 9, 11–14. [Google Scholar] [CrossRef]
- Xu, X.; Burgess, J.O. Compressive strength, fluoride release and recharge of fluoride-releasing materials. Biomaterials 2003, 24, 2451–2461. [Google Scholar] [CrossRef]
- Kelic, K.; Par, M.; Peros, K.; Sutej, I.; Tarle, Z. Fluoride-releasing restorative materials: The effect of a resinous coat on ion release. Acta Stomatol. Croat. 2020, 54, 371–381. [Google Scholar] [CrossRef] [PubMed]
- Featherstone, J.D.B.; Glena, R.; Shariati, M.; Shields, C.P. Dependence of in vitro Demineralization of Apatite and Remineralization of Dental Enamel on Fluoride Concentration. J. Dent. Res. 1990, 69, 620–625. [Google Scholar] [CrossRef] [PubMed]
- Nicholson, J.W.; Czarnecka, B. Maturation affects fluoride uptake by glass-ionomer dental cements. Dent. Mater. 2012, 28, 1–5. [Google Scholar] [CrossRef]
- Marovic, D.; Par, M.; Posavec, K.; Marić, I.; Štajdohar, D.; Muradbegović, A.; Taubock, T.T.; Attin, T.; Tarle, Z. Long-term assessment of contemporary ion-releasing restorative dental materials. Materials 2022, 15, 4042. [Google Scholar] [CrossRef]
- Ferracane, J.L. Correlation between hardness and degree of conversion during the setting reaction of unfilled dental restorative resins. Dent. Mater. 1985, 1, 11–14. [Google Scholar] [CrossRef]
- Asmussen, E. Factors affecting the quantity of remaining double bonds in restorative resin polymers. Eur. J. Oral Sci. 1982, 90, 490–496. [Google Scholar] [CrossRef]
- Panpisut, P.; Toneluck, A. Monomer conversion, dimensional stability, biaxial flexural strength, and fluoride release of resin-based restorative material containing alkaline fillers. Dent. Mater. J. 2020, 30, 608–615. [Google Scholar] [CrossRef] [PubMed]
- Wang, L.; Buzalaf, M.A.R.; Atta, M.T. Effect of one-bottle adhesive systems on the fluoride release of a resin-modified glass ionomer. J. Appl. Oral Sci. 2004, 12, 12–17. [Google Scholar] [CrossRef] [PubMed]
- Par, M.; Gubler, A.; Attin, T.; Tarle, Z.; Tarle, A.; Prskalo, K.; Tauböck, T.T. Effect of adhesive coating on calcium, phosphate, and fluoride release from experimental and commercial remineralizing dental restorative materials. Sci. Rep. 2022, 12, 10272. [Google Scholar] [CrossRef] [PubMed]
- Tay, F.; Pashley, D.H.; Suh, B.; Carvalho, R.M. Single-step, self-etch adhesives behave as permeable membranes after polymerization. Part I. Bond strength and morphologic evidence. Am. J. Dent. 2004, 17, 271–278. [Google Scholar]
- Ito, S.; Hashimoto, M.; Wadgaonkar, B.; Svizero, N.; Carvalho, R.M.; Yiu, C.; Rueggeberg, F.A.; Foulger, S.; Saito, T.; Nishi, Y.; et al. Effects of resin hydrophilicity on water sorption and changes in modulus of elasticity. Biomaterials 2005, 26, 6449–6459. [Google Scholar] [CrossRef]
- Feitosa, V.P.; Leme, A.A.; Sauro, S.; Correr-Sobrinho, L.; Watson, T.F.; Sinhoreti, M.A.; Correr, A.B. Hydrolytic degradation of the resin–dentine interface induced by the simulated pulpal pressure, direct and indirect water ageing. J. Dent. 2012, 40, 1134–1143. [Google Scholar] [CrossRef] [PubMed]
- Yiu, C.K.Y.; King, N.M.; Pashley, D.H.; Suh, B.I.; Carvalho, R.M.; Carrilho, M.R.O.; Tay, F.R. Effect of resin hydrophilicity and water storage on resin strength. Biomaterials 2004, 25, 5789–5796. [Google Scholar] [CrossRef] [PubMed]
- Kuraray. Okayama: Kuraray Noritake Dental Inc; 2017. CLEARFIL UNIVERSAL BOND Quick: SDS USA; 2017. Available online: https://kuraraydental.com/wp-content/uploads/sds/chairside/usa/clearfil-universal-bond-quick-sds-usa.pdf (accessed on 19 December 2022).
- GC. Safety Data Sheet Gaenial Bond; GC America Inc.: Alsip, IL, USA, 2015; Available online: https://www.gcamerica.com/downloads/SDS_US/SDS_G-aenial%20Bond.pdf (accessed on 19 December 2022).
- Santerre, J.P.; Shajii, L.; Leung, B.W. Relation of Dental Composite Formulations to Their Degradation and the Release of Hydrolyzed Polymeric-Resin-Derived Products. Crit. Rev. Oral Biol. Med. 2001, 12, 136–151. [Google Scholar] [CrossRef]
- Frassetto, A.; Breschi, L.; Turco, G.; Marchesi, G.; Di Lenarda, R.; Tay, F.R.; Pashley, D.H.; Cadenaro, M. Mechanisms of degradation of the hybrid layer in adhesive dentistry and therapeutic agents to improve bond durability—A literature review. Dent. Mater. 2016, 32, 41–53. [Google Scholar] [CrossRef]
- Sideridou, I.D.; Achilias, D.S.; Karabela, M.M. Sorption kinetics of ethanol/water solution by dimethacrylate-based dental resins and resin composites. J. Biomed. Mater. Res. B Appl. Biomater. 2007, 81, 207–218. [Google Scholar] [CrossRef]
- Levallois, B.; Fovet, Y.; Lapeyre, L.; Gal, J.Y. In vitro fluoride release from restorative materials in water versus artificial saliva medium (SAGF). Dent. Mater. 1998, 14, 441–447. [Google Scholar] [CrossRef] [PubMed]
- Scholz, K.J.; Federlin, M.; Hiller, K.A.; Ebensberger, H.; Ferstl, G.; Buchalla, W. EDX-analysis of fluoride precipitation on human enamel. Sci. Rep. 2019, 9, 13442. [Google Scholar] [CrossRef]
- Thermo Scientific Orion. Thermo Scientific Orion Fluoride Ion Selective Electrode User Manual 254792-001, Revision B, September 2016. 2016. Available online: https://www.thermofisher.com/document-connect/document-connect.html?url=https://assets.thermofisher.com/TFS-Assets%2FLSG%2Fmanuals%2FD15872~.pdf (accessed on 3 February 2023).




| Material Class | Commercial Name | Composition | Color/LOT No. | Manufacturer | Curing Mechanism |
|---|---|---|---|---|---|
| (experimental) Alkasite composite | Cention | Powder: inert barium alumino-boro-silicate glass, ytterbium fluoride, calcium fluoro-alumino-silicate glass, calcium-barium-alumino-fluorosilicate glass Liquid: UDMA, DCP, aromatic-aliphatic-UDMA, PEG-400 DMA; Initiator system: hydroperoxide, Ivocerin and acyl phosphine oxide | A2/ XL7102 | Ivoclar Vivadent, Schaan, Lichtenstein | Dual-cure |
| Giomer | Beautifil II | Fillers: s-PRG (aluminofluoro-borosilicate glass); Resin: bis-GMA, TEGDMA Nano fillers 83.3 wt% | A2/051829 | Shofu Dental GmbH, Ratingen, Germany | Light-cure |
| Glass-ionomer cement | Fuji IX Extra | Powder: fluoro-alumino-silicate glass Liquid: 5–10% polybasic carboxylic acid (copolymer of acrylic and maleic acid), tartaric acid, water | A3/1801171 | GC Europe, Leuven, Belgium | Self-cure |
| Conventional composite | Filtek Z250 | Filler: zirconia and silica particles Resin: bis-GMA, TEGDMA, UDMA; 78.5 wt% 60% vol. | A2/N984652 | 3M Deutschland GmbH, Neuss, Germany | Light-cure |
| Universal adhesive | G-aenial Bond | acetone: 25–50%; dimethacrylate: 10–20%; phosphoric acid ester monomer: 5–10%; dimethacrylate component: 1–5%; photoinitiator: 1–5%; polymerization inhibitor: BHT < 1% | 1811281 | GC Europe, Leuven, Belgium | Light-cure |
| Universal fluoride- releasing adhesive | Clearfil Universal Bond Quick | ethanol 10–25% monomer: bis-GMA 10–25%, hydroxyethylmethacrylate 2.5–10%, methacryloyloxydecyl dihydrogen phosphate, hydrophilic amide monomers; colloidal silica, silane coupling agent; sodium fluoride; photoinitiator: camphorquinone; water | 3L0108 | Kuraray Europe, Hattersheim am Main, Germany | Light-cure |
| Glass-ionomer coat | GC Fuji Coat LC | Monomer: MMA 25–50%; Photoinitiator: 1–5%; polymerization inhibitor: BHT < 1% | 1804021 | GC Europe, Leuven, Belgium | Light-cure |
| Material | Time (Days) |
|---|---|
| Beautifil II | 4 |
| Beautifil II G-aenial | 4 |
| Cention | 5 |
| Cention G-aenial | 5 |
| Fuji IX Extra | >14 |
| Uncoated/Coated Specimens | Reduction Factor |
|---|---|
| B/BG | 2.83 |
| B/BC | 2431.30 |
| C/CG | 4.86 |
| C/CC | 8154.64 |
| Z/ZG | 0.07 |
| Z/ZC | 16.40 |
| F/FC | 16.82 |
Disclaimer/Publisher’s Note: The statements, opinions and data contained in all publications are solely those of the individual author(s) and contributor(s) and not of MDPI and/or the editor(s). MDPI and/or the editor(s) disclaim responsibility for any injury to people or property resulting from any ideas, methods, instructions or products referred to in the content. |
© 2023 by the authors. Licensee MDPI, Basel, Switzerland. This article is an open access article distributed under the terms and conditions of the Creative Commons Attribution (CC BY) license (https://creativecommons.org/licenses/by/4.0/).
Share and Cite
Kelić, M.; Kilić, D.; Kelić, K.; Šutej, I.; Par, M.; Peroš, K.; Tarle, Z. The Fluoride Ion Release from Ion-Releasing Dental Materials after Surface Loading by Topical Treatment with Sodium Fluoride Gel. J. Funct. Biomater. 2023, 14, 102. https://doi.org/10.3390/jfb14020102
Kelić M, Kilić D, Kelić K, Šutej I, Par M, Peroš K, Tarle Z. The Fluoride Ion Release from Ion-Releasing Dental Materials after Surface Loading by Topical Treatment with Sodium Fluoride Gel. Journal of Functional Biomaterials. 2023; 14(2):102. https://doi.org/10.3390/jfb14020102
Chicago/Turabian StyleKelić, Marija, Domagoj Kilić, Katarina Kelić, Ivana Šutej, Matej Par, Kristina Peroš, and Zrinka Tarle. 2023. "The Fluoride Ion Release from Ion-Releasing Dental Materials after Surface Loading by Topical Treatment with Sodium Fluoride Gel" Journal of Functional Biomaterials 14, no. 2: 102. https://doi.org/10.3390/jfb14020102
APA StyleKelić, M., Kilić, D., Kelić, K., Šutej, I., Par, M., Peroš, K., & Tarle, Z. (2023). The Fluoride Ion Release from Ion-Releasing Dental Materials after Surface Loading by Topical Treatment with Sodium Fluoride Gel. Journal of Functional Biomaterials, 14(2), 102. https://doi.org/10.3390/jfb14020102

