Direct Cooling of Microsystems Using a Two-Phase Microfluidic Droplet
Abstract
1. Introduction
2. Numerical Methods
2.1. Governing Equation
2.2. Fluid Properties
2.3. Computational Domain and Boundary Conditions
2.4. Mesh Independence and Model Verification
3. Results and Discussion
3.1. Pressure Drop
3.1.1. Effect of Total Velocity on Pressure Drop
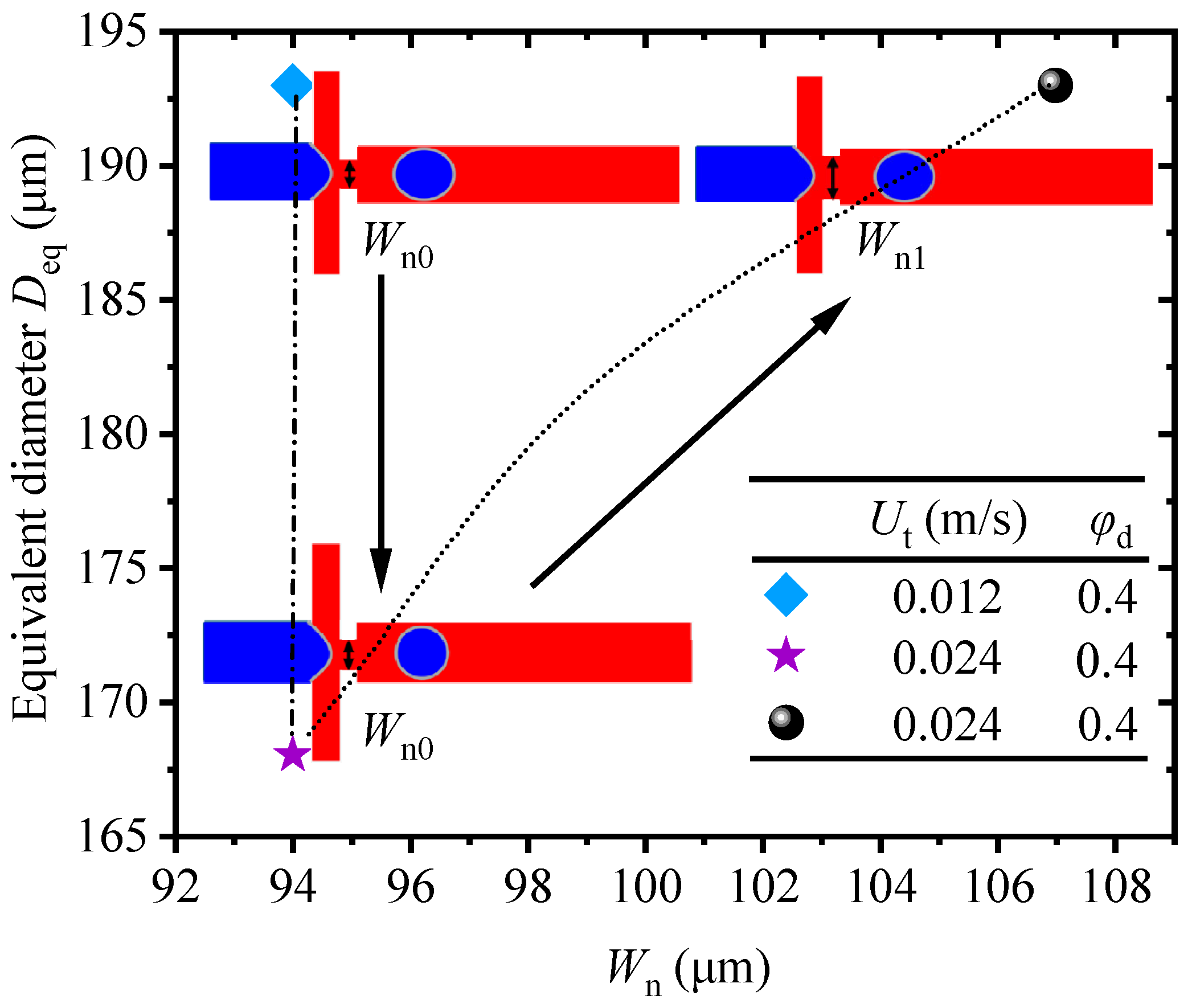
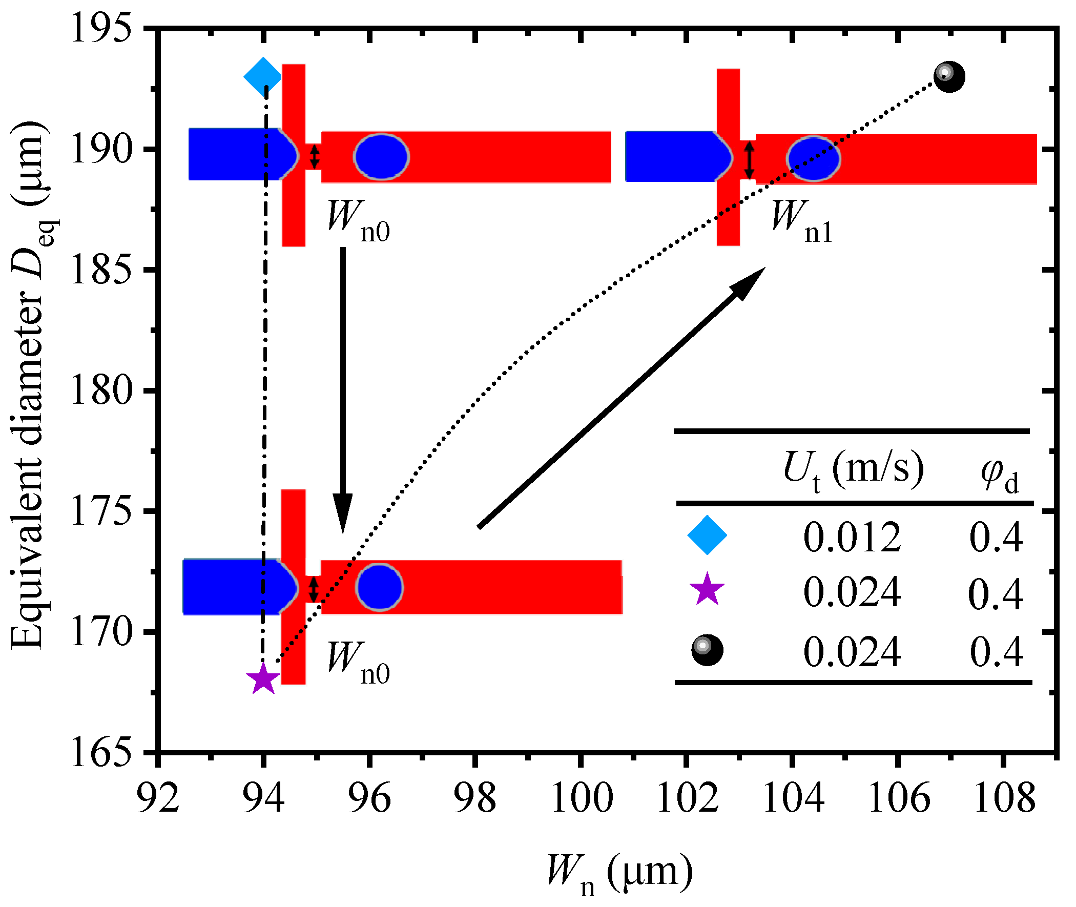
3.1.2. Effect of Droplet Size on Pressure Drop
3.2. Heat Transfer
3.2.1. Effect of Total Velocity on Heat Transfer
3.2.2. Effect of Droplet Size on Heat Transfer
4. Conclusions
- Two-phase droplet flow significantly enhances heat transfer compared with single-phase oil flow, with the local heat transfer coefficient markedly increasing at droplet locations. Heat transfer oscillations are synchronized with droplet passage, confirming the role of droplets in disrupting the thermal boundary layer.
- The pressure drop in two-phase flow is higher than in single-phase flow and increases approximately linearly with total velocity, due to increased wall shear and interfacial drag. In contrast, pressure drop decreases with increasing droplet size, owing to a reduction in the number of droplets.
- The average heat transfer coefficient increases with total velocity, as the intensity of internal recirculation within droplets outweighs the effect of increased film thickness.
- The effect of droplet size on heat transfer is non-linear: as the droplet size increases up to the channel width, the heat transfer coefficient rises due to a thinner liquid film. Beyond a point, further increases in droplet size reduce heat transfer performance due to weakened vorticity.
Author Contributions
Funding
Data Availability Statement
Conflicts of Interest
References
- Dangharalou, F.F.; Goharkhah, M. Effect of fluid properties on intensification of heat transfer process in oil-water droplet flow in a T-shaped microchannel. Chem. Eng. Process.—Process Intensif. 2024, 200, 109799. [Google Scholar] [CrossRef]
- Wang, K.; Lu, Y.; Shao, H.; Luo, G. Heat-transfer performance of a liquid-liquid microdispersed system. Ind. Eng. Chem. Res. 2008, 47, 9754–9758. [Google Scholar] [CrossRef]
- Talimi, V.; Muzychka, Y.S.; Kocabiyik, S. A review on numerical studies of slug flow hydrodynamics and heat transfer in microtubes and microchannels. Int. J. Multiph. Flow 2012, 39, 88–104. [Google Scholar] [CrossRef]
- Abdollahi, A.; Norris, S.E.; Sharma, R.N. Fluid flow and heat transfer of liquid-liquid Taylor flow in square microchannels. Appl. Therm. Eng. 2020, 172, 115123. [Google Scholar] [CrossRef]
- Urbant, P.; Leshansky, A.; Halupovich, Y. On the forced convective heat transport in a droplet-laden flow in microchannels. Microfluid. Nanofluidics 2007, 4, 533–542. [Google Scholar] [CrossRef]
- Fischer, M.; Juric, D.; Poulikakos, D. Large convective heat transfer enhancement in microchannels with a train of coflowing immiscible or colloidal droplets. J. Heat Transfer 2010, 132, 112402. [Google Scholar] [CrossRef]
- Che, Z.; Wong, T.N.; Nguyen, N. Heat transfer in plug flow in cylindrical microcapillaries with constant surface heat flux. Int. J. Therm. Sci. 2013, 64, 204–212. [Google Scholar] [CrossRef]
- Bandara, T.; Chandrashekar, M.; Rosengarten, G. CFD modelling of liquid-liquid slug flow heat transfer in microchannels. In Proceedings of the 28th International Symposium on Transport Phenomena, Kandy, Sri Lanka, 22–24 September 2017. [Google Scholar]
- Wang, R. Numerical investigation on the heat transfer of a droplet-laden flow in a microfluidic system. Int. J. Numer. Methods Heat Fluid Flow 2017, 27, 444–453. [Google Scholar] [CrossRef]
- Li, X.; He, L.; Qian, P.; Huang, Z.; Luo, C.; Liu, M. Heat transfer enhancement of droplet two-phase flow in cylindrical microchannel. Appl. Therm. Eng. 2021, 186, 116474. [Google Scholar] [CrossRef]
- Teixeira, V.C.; Forte Neto, F.S.; Guerra, G.M.; da Cruz, A.G.B. Heat transfer enhancement of two-phase droplet flow in microtube: A phase-field simulation study. J. Braz. Soc. Mech. Sci. Eng. 2022, 44, 113. [Google Scholar] [CrossRef]
- Mehboodi, D.; Kamali, R.; Ronizi, S.K.; Akbarabadi, S.A. Flow and Heat Transfer in Two-Phase Flow Immiscible Droplets in Microchannels. Nanoscale Microscale Thermophys. Eng. 2024, 28, 1–27. [Google Scholar] [CrossRef]
- Cao, W.; Yang, Q.; Tong, Y.; Li, S. Numerical simulation of liquid-liquid two-phase flow heat transfer in circular microchannels. Int. J. Heat Mass Transf. 2025, 238, 126483. [Google Scholar] [CrossRef]
- Asthana, A.; Zinovik, I.; Weinmueller, C.; Poulikakos, D. Significant Nusselt number increase in microchannels with a segmented flow of two immiscible liquids: An experimental study. Int. J. Heat Mass Transf. 2011, 54, 1456–1464. [Google Scholar] [CrossRef]
- Mac Giolla Eain, M.; Egan, V.; Punch, J. Local Nusselt number enhancements in liquid–liquid Taylor flows. Int. J. Heat Mass Transf. 2015, 80, 85–97. [Google Scholar] [CrossRef]
- Roccon, A. Boiling heat transfer by phase-field method. Acta Mech. 2024, 236, 5623–5638. [Google Scholar] [CrossRef]
- Li, J.; Zheng, D.; Zhang, W. Advances of Phase-Field Model in the Numerical Simulation of Multiphase Flows: A Review. Atmosphere 2023, 14, 1311. [Google Scholar] [CrossRef]
- Shah, R.K. Laminar flow friction and forced convection heat transfer in ducts of arbitrary geometry. Int. J. Heat Mass Transf. 1975, 18, 849–862. [Google Scholar] [CrossRef]
- Lienhard, J.H., IV; Lienhard, J.H., V. A Heat Transfer Textbook; Phlogiston Press: Cambridge, UK, 2006. [Google Scholar]
- Wu, L.; Tsutahara, M.; Kim, L.S.; Ha, M. Three-dimensional lattice boltzmann simulations of droplet formation in a cross-junction microchannel. Int. J. Multiph. Flow 2008, 34, 852–864. [Google Scholar] [CrossRef]













| Liquids | Water | HFE 7500 |
|---|---|---|
| (kg/m3) | 998 | 1600 |
| (Pa∙s) | 0.001 | 0.005 |
| (J/(kg∙K)) | 4180 | 1100 |
| (W/(m∙K)) | 0.6 | 0.06 |
| (N/m) | 0.007 |
| No. | Mesh Number | (µm) | (W/m2∙K) | (Pa) | Relative | Relative | Relative |
|---|---|---|---|---|---|---|---|
| 1 | 14,854 | 16.91 | 2140.41 | 89.04 | 44.53 | 5.71 | 2% |
| 2 | 20,628 | 11.70 | 2179.70 | 94.43 | 30.87 | 4.29 | 1% |
| 3 | 27,927 | 9.12 | 2203.76 | 98.66 | 8.31 | 2.34 | 1% |
| 4 | 34,009 | 8.42 | 2181.25 | 101.02 | - | - | - |
| Total velocity (m/s) | 0.006 | 0.009 | 0.012 | 0.015 | 0.018 | 0.021 | 0.024 |
| of multiphase (Pa) | 47.2 | 70.65 | 95.25 | 117.23 | 137.15 | 156.61 | 171.97 |
| ΔP of oil (Pa) | 20.85 | 31.28 | 41.7 | 52.13 | 62.55 | 72.98 | 83.4 |
| Relative change in multiphase vs. oil (%) | 126 | 126 | 128 | 125 | 119 | 115 | 106 |
| Droplet size (μm) | 193 | 215 | 240 | 275 |
| of multiphase (Pa) | 96.58 | 90.98 | 83.96 | 75.20 |
| of oil (Pa) | 41.7 | 41.7 | 41.7 | 41.7 |
| Relative change in multiphase vs. oil (%) | 132 | 118 | 101 | 83 |
| Total velocity (m/s) | 0.006 | 0.009 | 0.012 | 0.015 | 0.018 | 0.021 | 0.024 |
| of multiphase (W/(m2∙K)) | 1795 | 2018 | 2204 | 2398 | 2561 | 2691 | 2800 |
| Relative change in multiphase vs. oil (%) | 59 | 78 | 95 | 112 | 126 | 138 | 148 |
| Droplet size (μm) | 193 | 215 | 240 | 275 |
| of multiphase (W/(m2∙K)) | 2232 | 2256 | 2171 | 2088 |
| Relative change in multiphase vs. oil (%) | 97 | 99 | 92 | 85 |
Disclaimer/Publisher’s Note: The statements, opinions and data contained in all publications are solely those of the individual author(s) and contributor(s) and not of MDPI and/or the editor(s). MDPI and/or the editor(s) disclaim responsibility for any injury to people or property resulting from any ideas, methods, instructions or products referred to in the content. |
© 2025 by the authors. Licensee MDPI, Basel, Switzerland. This article is an open access article distributed under the terms and conditions of the Creative Commons Attribution (CC BY) license (https://creativecommons.org/licenses/by/4.0/).
Share and Cite
Lu, W.; El Abed, A.I.; Bennacer, R.; Ma, X. Direct Cooling of Microsystems Using a Two-Phase Microfluidic Droplet. Computation 2025, 13, 288. https://doi.org/10.3390/computation13120288
Lu W, El Abed AI, Bennacer R, Ma X. Direct Cooling of Microsystems Using a Two-Phase Microfluidic Droplet. Computation. 2025; 13(12):288. https://doi.org/10.3390/computation13120288
Chicago/Turabian StyleLu, Wenpei, Abdel Illah El Abed, Rachid Bennacer, and Xiaoyan Ma. 2025. "Direct Cooling of Microsystems Using a Two-Phase Microfluidic Droplet" Computation 13, no. 12: 288. https://doi.org/10.3390/computation13120288
APA StyleLu, W., El Abed, A. I., Bennacer, R., & Ma, X. (2025). Direct Cooling of Microsystems Using a Two-Phase Microfluidic Droplet. Computation, 13(12), 288. https://doi.org/10.3390/computation13120288

