Numerical Estimation of Nonlinear Thermal Conductivity of SAE 1020 Steel
Abstract
1. Introduction
2. Materials and Methods
2.1. The Forward Model
2.2. The Inverse Problem
- Initialize the number of variables (κ), convergence rate (τ), search domain bounds, maximum number of interactions, and number of time steps of the FTR;
- First division: evaluate the search domain bounds to define the initial guess vector G of equally spaced guesses within the domain;
- Settling the pivot point Gp: evaluate the objective function for each guess. The guess that presents the minimum F is defined as Gp;
- Redistribution: evaluate τ and Gp to redefine G with guesses equally far from Gp.
- Convergence: repeat steps 3 and 4 to decrease the domain at each interaction until the maximum number of interactions is reached.
2.3. QOM Applied to the Thermal Conductivity Estimate
2.4. Input Data with Added Noise
3. Sensitivity Analysis
3.1. Sensitivity of the Thermal Conductivity Function Parameters (α, β, and γ)
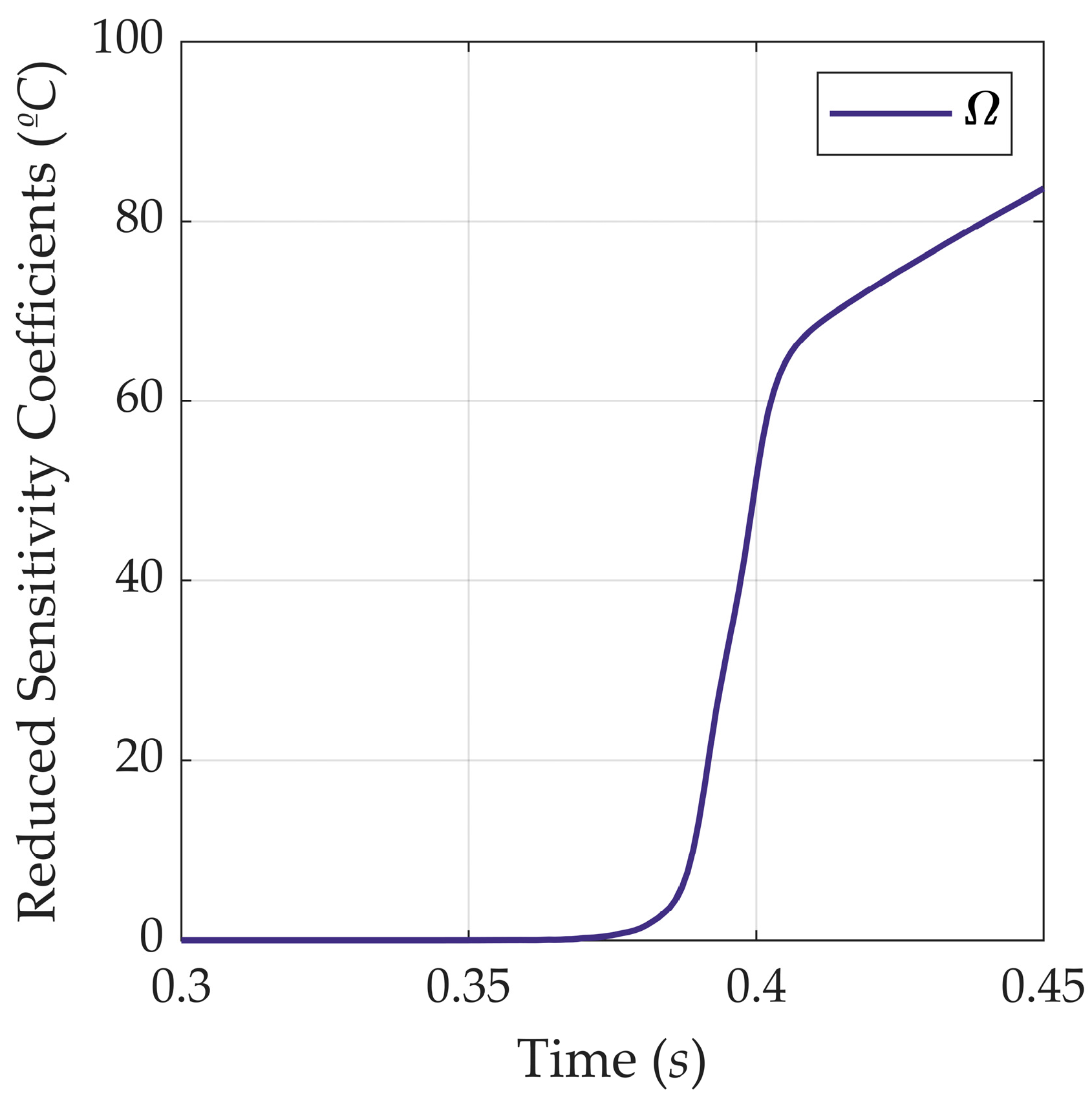
3.2. Sensitivity of the Gross Heat Rate (Ω)
4. Future Time Regularization (FTR) Analysis
5. Effect of Measurement Errors on the Estimated Results
6. Estimation Results
6.1. Case I: Nonlinear Thermal Conductivity Function
6.2. Case II: Nonlinear Thermal Conductivity Function and Gross Heat Rate
7. Conclusions
- The method is sensitive enough to provide precise estimates of the nonlinear thermal conductivity function and the gross heat rate simultaneously. The estimates consider nine points of temperature acquisition (see Table 2) during a 2.0 s experiment.
- The method sensitivity may be enhanced by calibrating the parameter r of the Future Time Regularization (FTR). The effect of r on the computational time and estimate accuracy was investigated. The optimum r that minimizes the computational time and presents considerable accuracy is 450.
- The comparison between the simulated temperature using reference and estimated values showed that the estimated parameters could be used as input data to calculate the heat transfer during SAE 1020 LBW. In Case I, the error remained lower than 3%. Case II presents more significant error percentages mainly due to the sensitivity of Ω. The values decrease from 11% with the sensor distance to the heat source.
- The computational time required for the estimates using 450 r is 46 1 min and 99 1 min for Cases I and II, respectively. In the former case, the direct model is calculated 432 times; in the latter case, the direct model is calculated 1296 times.
Author Contributions
Funding
Data Availability Statement
Acknowledgments
Conflicts of Interest
References
- Yan, S.; Meng, Z.; Chen, B.; Tan, C.; Song, X.; Wang, G. Prediction of Temperature Field and Residual Stress of Oscillation Laser Welding of 316LN Stainless Steel. Opt. Laser Technol. 2022, 145, 107493. [Google Scholar] [CrossRef]
- Zhao, S.; Sun, X.; Li, Z.; Xie, W.; Meng, S.; Wang, C.; Zhang, W. Simultaneous Retrieval of High Temperature Thermal Conductivities, Anisotropic Radiative Properties, and Thermal Contact Resistance for Ceramic Foams. Appl. Therm. Eng. 2019, 146, 569–576. [Google Scholar] [CrossRef]
- Belokon, Y.; Hrechanyi, O.; Vasilchenko, T.; Krugliak, D.; Bondarenko, Y. Development of New Composite Materials Based on TiN–Ni Cermets during Thermochemical Pressing. Results Eng. 2022, 16, 100724. [Google Scholar] [CrossRef]
- Panmanee, P.; Okhawilai, M.; Mora, P.; Jubsilp, C.; Karagiannidis, P.; Rimdusit, S. Development of a New Birthing Model Material Based on Silicone Rubber/Natural Rubber Blend. Polym. Test. 2023, 117, 107849. [Google Scholar] [CrossRef]
- Peng, G.; Sun, Y.; Zhang, Q.; Yang, Q.; Shen, W. A Collaborative Design Platform for New Alloy Material Development. Adv. Eng. Inform. 2022, 51, 101488. [Google Scholar] [CrossRef]
- Balandin, A.A.; Zaitsev-Zotov, S.V.; Grüner, G. Charge-Density-Wave Quantum Materials and Devices-New Developments and Future Prospects. Appl. Phys. Lett. 2021, 119, 17041. [Google Scholar] [CrossRef]
- Wardak, C.; Morawska, K.; Pietrzak, K. New Materials Used for the Development of Anion-Selective Electrodes—A Review. Materials 2023, 16, 5779. [Google Scholar] [CrossRef] [PubMed]
- Rottmann, M.; Beikircher, T.; Ebert, H.P. Thermal Conductivity of Evacuated Expanded Perlite Measured with Guarded-Hot-Plate and Transient-Hot-Wire Method at Temperatures between 295 K and 1073 K. Int. J. Therm. Sci. 2020, 152, 106338. [Google Scholar] [CrossRef]
- Jannot, Y.; Remy, B.; Degiovanni, A. Measurement of Thermal Conductivity and Thermal Resistance with a Tiny Hot Plate. High Temp. -High Press. 2010, 39, 11–31. [Google Scholar]
- Katz, M.D.; Katz, I.M. Evaluation of the Laser-Flash Method and Its Errors for Determining of Materials Thermal Diffusivity at High Temperatures. MATEC Web Conf. 2017, 110, 5. [Google Scholar] [CrossRef]
- Nishi, T.; Shibata, H.; Ohta, H.; Waseda, Y. Thermal Conductivities of Molten Iron, Cobalt, and Nickel by Laser Flash Method. Metall. Mater. Trans. A 2003, 34, 2801–2807. [Google Scholar] [CrossRef]
- Jannot, Y.; Meulemans, J.; Schick, V.; Capp, M.; Bargain, I. A Comparative Fluxmetric (CFM) Method for Apparent Thermal Conductivity Measurement of Insulating Materials at High Temperature. Int. J. Thermophys. 2020, 41, 94. [Google Scholar] [CrossRef]
- Lamien, B.; Le Maux, D.; Courtois, M.; Pierre, T.; Carin, M.; Le Masson, P.; Orlande, H.R.B.; Paillard, P. A Bayesian Approach for the Estimation of the Thermal Diffusivity of Aerodynamically Levitated Solid Metals at High Temperatures. Int. J. Heat Mass Transf. 2019, 141, 265–281. [Google Scholar] [CrossRef]
- Reddy, K.S.; Jayachandran, S. Investigations on Design and Construction of a Square Guarded Hot Plate (SGHP) Apparatus for Thermal Conductivity Measurement of Insulation Materials. Int. J. Therm. Sci. 2017, 120, 136–147. [Google Scholar] [CrossRef]
- El-Sharkawy, A.A.; Dessouky, M.T.; Abousehly, A.M.; Raafat, A. Thermal Properties Investigation of Inhomogeneous Ternary Alloy (Se–Te–S) Using Flash Method Technique. Int. J. Thermophys. 2020, 41, 25. [Google Scholar] [CrossRef]
- Farahani, S.D.; Kisomi, M.S. Experimental Estimation of Temperature-Dependent Thermal Conductivity Coefficient by Using Inverse Method and Remote Boundary Condition. Int. Commun. Heat Mass Transf. 2020, 117, 104736. [Google Scholar] [CrossRef]
- Mohebbi, F.; Sellier, M. Estimation of Functional Form of Time-Dependent Heat Transfer Coefficient Using an Accurate and Robust Parameter Estimation Approach: An Inverse Analysis. Energies 2021, 14, 5073. [Google Scholar] [CrossRef]
- Yue, K.; Zhang, X.; Yu, F. Simultaneous Estimation of Thermal Properties of Living Tissue Using Noninvasive Method. Int. J. Thermophys. 2007, 28, 1470–1489. [Google Scholar] [CrossRef]
- Ravula, S.R.; Arepally, D.; Datta, A.K. Estimation of the Energy Requirement of Bread during Baking by Inverse Heat Transfer Method. J. Therm. Anal. Calorim. 2023, 148, 13297–13311. [Google Scholar] [CrossRef]
- Cevoli, C.; Panarese, V.; Catalogne, C.; Fabbri, A. Estimation of the Effective Moisture Diffusivity in Cake Baking by the Inversion of a Finite Element Model. J. Food Eng. 2020, 270, 109769. [Google Scholar] [CrossRef]
- Łapka, P.; Pietrak, K.; Kujawińska, M.; Malesa, M. Development and Validation of an Inverse Method for Identification of Thermal Characteristics of a Short Laser Pulse. Int. J. Therm. Sci. 2020, 150, 106240. [Google Scholar] [CrossRef]
- Wan, S.; Xu, P.; Wang, K.; Yang, J.; Li, S. Real-Time Estimation of Thermal Boundary of Unsteady Heat Conduction System Using PID Algorithm. Int. J. Therm. Sci. 2020, 153, 106395. [Google Scholar] [CrossRef]
- Wan, S.; Wang, K.; Xu, P.; Huang, Y. Numerical and Experimental Verification of the Single Neural Adaptive PID Real-Time Inverse Method for Solving Inverse Heat Conduction Problems. Int. J. Heat Mass Transf. 2022, 189, 122657. [Google Scholar] [CrossRef]
- dos Santos Magalhães, E.; de Carvalho, S.R.; Silva, S.M.M.L.E. The Use of Non-Linear Inverse Problem and Enthalpy Method in GTAW Process of Aluminum. Int. Commun. Heat Mass Transf. 2015, 66, 114–121. [Google Scholar] [CrossRef]
- Magalhães, E.D.S.; Correa, E.O.; Silva, A.L.F.L.E.; Silva, S.M.M.L.E. Microstructural Analysis in GTA Aluminum Alloy Welding Using Inverse Problems. Appl. Therm. Eng. 2016, 100, 333–339. [Google Scholar] [CrossRef]
- Magalhães, E. dos S. A Quadrilateral Optimization Method for Non-Linear Thermal Properties Determination in Materials at High Temperatures. Int. J. Heat Mass Transf. 2021, 181, 121857. [Google Scholar] [CrossRef]
- de Oliveira, A.F.M.; Magalhães, E.D.S.; Paes, L.E.D.S.; Pereira, M.; da Silva, L.R. A Thermal Analysis of LASER Beam Welding Using Statistical Approaches. Processes 2023, 11, 25. [Google Scholar] [CrossRef]
- Çengel, Y.A.; Ghajar, A.J. Heat and Mass Transfer: Fundamentals and Applications, 4th ed.; McGraw-Hill Science/Engineering/Math: New York, NY, USA, 2010. [Google Scholar]
- Bergman, T.L.; Lavine, A.S.; Incropera, F.P.; Dewitt, D.P. Fundamentals of Heat and Mass Transfer, 7th ed.; John Wiley & Sons: Hoboken, NJ, USA, 2011. [Google Scholar]
- Clain, F.M.; Teixeira, P.R.D.F.; Araújo, D.B.D. Two Heat Source Models to Simulate Welding Processes with Magnetic Deflection. Soldag. E Insp. 2017, 22, 99–113. [Google Scholar] [CrossRef]
- Nascimento, E.; Magalhães, E.; Azevedo, A.; Paes, L.E.S.; Oliveira, A. An Implementation of LASER Beam Welding Simulation on Graphics Processing Unit Using CUDA. Computation 2024, 12, 83. [Google Scholar] [CrossRef]
- Magalhães, E.D.S.; Anselmo, B.D.C.S.; Lima e Silva, A.L.F.D.; Lima e Silva, S.M.M. Time Traveling Regularization for Inverse Heat Transfer Problems. Energies 2018, 11, 15. [Google Scholar] [CrossRef]
- Beck, J.V.; Blackwell, B.; Haji-Sheikh, A. Comparison of Some Inverse Heat Conduction Methods Using Experimental Data. Int. J. Heat Mass Transf. 1996, 39, 3649–3657. [Google Scholar] [CrossRef]
- Taktak, R.; Beck, J.V.; Scott, E.P. Optimal Experimental Design for Estimating Thermal Properties of Composite Materials. Int. J. Heat Mass Transf. 1993, 36, 2977–2986. [Google Scholar] [CrossRef]













| Parameter | Values |
|---|---|
| Temporal discretization | First-order scheme |
| Time-step (Δt) [s] | 1.0 × 10−3 |
| Solver convergence criterion | Energy residual |
| Residual threshold | 1.0 × 10−5 |
| Sensor | m1 | m2 | m3 | m4 | m5 | m6 | m7 | m8 | m9 |
|---|---|---|---|---|---|---|---|---|---|
| x (mm) | 20.0 | 20.0 | 20.0 | 20.0 | 20.0 | 20.0 | 20.0 | 20.0 | 20.0 |
| y (mm) | 10.0 | 9.0 | 8.0 | 7.0 | 6.0 | 5.0 | 4.0 | 3.0 | 2.0 |
| z (mm) | 0 | 0 | 0 | 0 | 0 | 0 | 0 | 0 | 0 |
| Variable | Lower Bound | Upper Bound | Reference |
|---|---|---|---|
| α | 2.0 × 10−5 | 3.0 × 10−5 | 2.5 × 10−5 |
| β | −6.0 × 10−2 | −5.0 × 10−2 | −5.3 × 10−2 |
| γ | 40 | 80 | 57.2 |
| Ω | 500 | 1500 | 1000 |
| α | β | γ | |||||
|---|---|---|---|---|---|---|---|
| Reference | 2.50 × 10−5 | −5.30 × 10−2 | 57.20 | ||||
| Value (×10−5) | Error (%) | Value (×10−2) | Error (%) | Value | Error (%) | ||
| r = 450 | 2.54 | −1.7 | −5.62 | −6.1 | 59.9 | −4.7 | 0.69 |
| r = 500 | 2.54 | −1.7 | −5.62 | −6.1 | 59.9 | −4.8 | 1.16 |
| r = 550 | 2.54 | −1.7 | −5.61 | −5.9 | 59.7 | −4.4 | 2.06 |
| r = 600 | 2.54 | −1.7 | −5.65 | −6.5 | 59.9 | −4.7 | 5.35 |
| r = 650 | 2.54 | −1.7 | −5.66 | −6.8 | 59.9 | −4.7 | 9.49 |
| r = 700 | 2.54 | −1.7 | −5.65 | −6.5 | 59.7 | −4.3 | 11.22 |
| r = 750 | 2.54 | −1.7 | −5.65 | −6.5 | 59.6 | −4.3 | 13.31 |
| r = 800 | 2.54 | −1.7 | −5.65 | −6.5 | 59.6 | −4.2 | 14.85 |
| r = 850 | 2.54 | −1.7 | −5.65 | −6.5 | 59.6 | −4.2 | 16.00 |
| r = 900 | 2.51 | −0.4 | −5.65 | −6.5 | 59.7 | −4.4 | 23.50 |
| Parameter | α | β | γ | Ω | |
|---|---|---|---|---|---|
| Goal value | 2.50 × 10−5 | −5.30 × 10−2 | 57.20 | 1000 | |
| Case I | QOM result | 2.54 × 10−5 | −5.62 × 10−2 | 59.9 | -- |
| Error (%) | 1.7 | 6.1 | 4.7 | -- | |
| Case II | QOM result | 2.50 × 10−5 | −5.44 × 10−2 | 62.2 | 1071 |
| Error (%) | 0.0 | 2.7 | 8.8 | 7.1 | |
| Parameter | Value | |
|---|---|---|
| Case I | Case II | |
| κ | 3 | 4 |
| Points in G | 27 | 81 |
| τ | 0.5 | 0.5 |
| Search domain bounds | See Table 3. | |
| Maximum number of interactions | 16 | 16 |
| r | 450 | 450 |
| Sensor | m1 | m2 | m3 | m4 | m5 | m6 | m7 | m8 | m9 |
|---|---|---|---|---|---|---|---|---|---|
| Error (%) | 2.19 | 2.78 | 2.88 | 2.84 | 2.74 | 2.46 | 2.29 | 2.00 | 1.97 |
| Reference | α | β | γ | Ω | ||||
|---|---|---|---|---|---|---|---|---|
| 2.50 × 10−5 | −5.30 × 10−2 | 57.20 | 1000 | |||||
| Value (×10−5) | Error (%) | Value (×10−2) | Error (%) | Value | Error (%) | Value | Error (%) | |
| r = 450 | 2.57 | 2.8 | −5.56 | 4.97 | 57.7 | 1.0 | 1071 | 7.1 |
| Sensor | m1 | m2 | m3 | m4 | m5 | m6 | m7 | m8 | m9 |
|---|---|---|---|---|---|---|---|---|---|
| Error (%) | 11.09 | 8.65 | 7.54 | 6.14 | 5.57 | 4.69 | 4.31 | 3.82 | 3.60 |
Disclaimer/Publisher’s Note: The statements, opinions and data contained in all publications are solely those of the individual author(s) and contributor(s) and not of MDPI and/or the editor(s). MDPI and/or the editor(s) disclaim responsibility for any injury to people or property resulting from any ideas, methods, instructions or products referred to in the content. |
© 2024 by the authors. Licensee MDPI, Basel, Switzerland. This article is an open access article distributed under the terms and conditions of the Creative Commons Attribution (CC BY) license (https://creativecommons.org/licenses/by/4.0/).
Share and Cite
de Oliveira, A.F.M.; Magalhães, E.d.S.; Zilnyk, K.D.; Le Masson, P.; Nascimento, E.J.G.d. Numerical Estimation of Nonlinear Thermal Conductivity of SAE 1020 Steel. Computation 2024, 12, 92. https://doi.org/10.3390/computation12050092
de Oliveira AFM, Magalhães EdS, Zilnyk KD, Le Masson P, Nascimento EJGd. Numerical Estimation of Nonlinear Thermal Conductivity of SAE 1020 Steel. Computation. 2024; 12(5):92. https://doi.org/10.3390/computation12050092
Chicago/Turabian Stylede Oliveira, Ariel Flores Monteiro, Elisan dos Santos Magalhães, Kahl Dick Zilnyk, Philippe Le Masson, and Ernandes José Gonçalves do Nascimento. 2024. "Numerical Estimation of Nonlinear Thermal Conductivity of SAE 1020 Steel" Computation 12, no. 5: 92. https://doi.org/10.3390/computation12050092
APA Stylede Oliveira, A. F. M., Magalhães, E. d. S., Zilnyk, K. D., Le Masson, P., & Nascimento, E. J. G. d. (2024). Numerical Estimation of Nonlinear Thermal Conductivity of SAE 1020 Steel. Computation, 12(5), 92. https://doi.org/10.3390/computation12050092

