Analysis of Timing Effect on Flow Field and Pulsation in Vertical Axial Flow Pump
Abstract
:1. Introduction
2. Numerical Calculation and Experimental Verification
2.1. Computation Model
2.2. Calculation Method and Boundary Conditions
2.3. Verification of Grid Number Independence and Convergence
2.4. Experimental Verification of Numerical Calculations
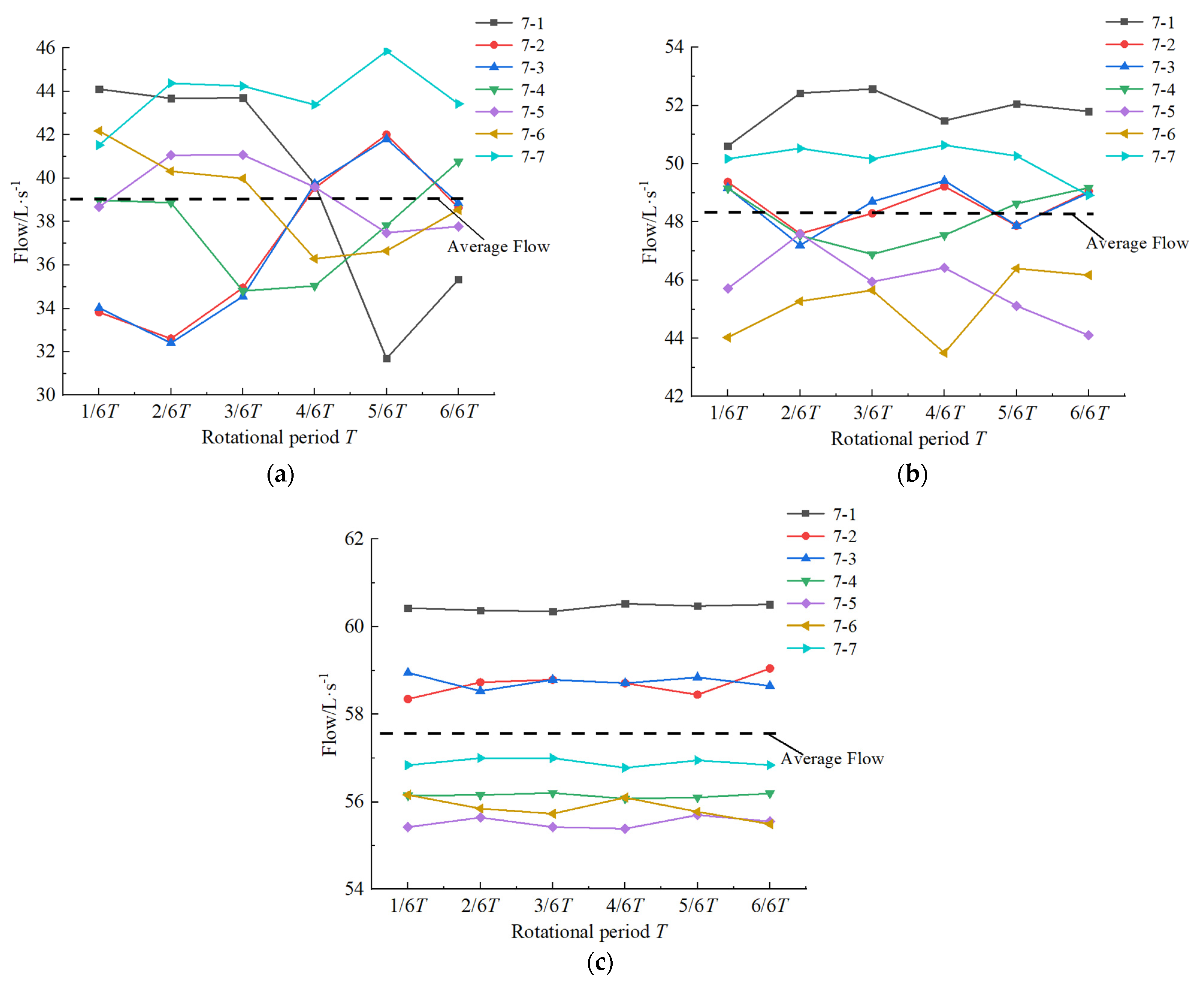
3. Effect of Time Series on Flow Characteristics in Blade Region
4. Pressure Pulsation Analysis Based on FFT Transform
4.1. Pressure Pulsation Monitoring Point Arrangement
4.2. Mechanism Analysis of Pressure Pulsation
4.3. Time Domain Analysis of Pressure Fluctuation
4.4. Frequency Domain Analysis of Pressure Pulsation
5. Conclusions
Author Contributions
Funding
Institutional Review Board Statement
Informed Consent Statement
Data Availability Statement
Conflicts of Interest
References
- Liu, C. Technical Innovation and Development Analysis of Axial Flow Pump System. Trans. Chin. Soc. Agric. Mach. 2015, 46, 49–59. [Google Scholar]
- Kan, K.; Yang, Z.; Lyu, P.; Zheng, Y.; Shen, L. Numerical study of turbulent flow past a rotating axial-flow pump based on a level-set immersed boundary method. Renew. Energy 2020, 168, 960–971. [Google Scholar] [CrossRef]
- Zhang, X.; Tang, F.; Liu, C.; Shi, L.; Liu, H.; Sun, Z.; Hu, W. Numerical Simulation of Transient Characteristics of Start-Up Transition Process of Large Vertical Siphon Axial Flow Pump Station. Front. Energy Res. 2021, 9, 382. [Google Scholar] [CrossRef]
- Wang, C.; Wang, F.; Tang, Y.; Zi, D.; Xie, L.; Chenglian, H.; Zhu, Q.; Huang, C. Investigation into the Phenomenon of Flow Deviation in the S-Shaped Discharge Passage of a Slanted Axial-Flow Pumping System. J. Fluids Eng. 2020, 142, 041205. [Google Scholar] [CrossRef]
- Kim, Y.S.; Shim, H.S.; Kim, K.Y. Effects of inlet guide vane and blade pitch angles on the performance of a submersible axial-flow pump. Proc. Inst. Mech. Eng. Part A J. Power Energy 2021, 235, 718–732. [Google Scholar] [CrossRef]
- Al-Obaidi, A.R.; Mohammed, A.A. Investigations of Transient Flow Characteristic in Axial Flow Pump and Pressure Fluctuation Analysis Based on the CFD Technique. J. Eng. Sci. Technol. Rev. 2019, 12, 70–79. [Google Scholar] [CrossRef]
- Shi, L.; Yuan, Y.; Jiao, H.; Tang, F.; Cheng, L.; Yang, F.; Jin, Y.; Zhu, J. Numerical investigation and experiment on pressure pulsation characteristics in a full tubular pump. Renew. Energy 2021, 163, 987–1000. [Google Scholar] [CrossRef]
- Zhou, Y.; Zheng, Y.; Kan, K.; Zhang, Y.; Wang, H.; Tang, W.; Zhao, M. Study on hydraulic characteristics of large vertical axial-flow pump used as constant frequency power generation. Proc. Inst. Mech. Eng. Part A J. Power Energy 2021, 235, 59–69. [Google Scholar] [CrossRef]
- Li, C.; Zheng, Y.; Zhang, Y.; Kan, K.; Xue, X.; Fernandez-Rodriguez, E. Stability Optimization and Analysis of a Bidirectional Shaft Extension Pump. J. Fluids Eng. 2020, 142, 071203. [Google Scholar] [CrossRef]
- Chikh, M.A.A.; Belaidi, I.; Khelladi, S.; Hamrani, A.; Bakir, F. Coupling of inverse method and cuckoo search algorithm for multiobjective optimization design of an axial flow pump. Proc. Inst. Mech. Eng. Part A J. Power Energy 2019, 233, 988–1006. [Google Scholar] [CrossRef]
- Zhou, Y.S.; Zhang, H.; Chen, B. Influence of double-inlet design on the flow-head characteristics of axial-flow pump. J. Hydrodyn. 2021, 33, 763–772. [Google Scholar] [CrossRef]
- Lin, P.; Xiang, L.; Hu, D.; Zhai, S.; Guo, P.; Wang, S. Effect of sand-containing cavitation on pressure pulsation characteristics in axial flow pump. J. Vib. Shock 2021, 40, 140–147. [Google Scholar]
- Zhang, D.; Shi, W.; Pan, D.; Dubuisson, M. Numerical and Experimental Investigation of Tip Leakage Vortex Cavitation Patterns and Mechanisms in an Axial Flow Pump. J. Fluids Eng. 2015, 137, 121103. [Google Scholar] [CrossRef]
- Yang, F.; Li, Z.; Yuan, Y.; Liu, C.; Zhang, Y.; Jin, Y. Numerical and Experimental Investigation of Internal Flow Characteristics and Pressure Fluctuation in Inlet Passage of Axial Flow Pump under Deflection Flow Conditions. Energies 2021, 14, 5245. [Google Scholar] [CrossRef]
- Song, X.; Liu, C. Experimental study of the floor-attached vortices in pump sump using V3V. Renew. Energy 2021, 164, 752–766. [Google Scholar] [CrossRef]
- Zhang, W.; Shi, L.; Tang, F.; Duan, X.; Liu, H.; Sun, Z. Analysis of inlet flow passage conditions and their influence on the performance of an axial-flow pump. Proc. Inst. Mech. Eng. Part A J. Power Energy 2021, 235, 733–746. [Google Scholar] [CrossRef]
- Yang, F.; Hu, W.Z.; Li, C.; Liu, C.; Jin, Y. Computational study on the performance improvement of axial-flow pump by inlet guide vanes at part loads. J. Mech. Sci. Technol. 2020, 34, 4905–4915. [Google Scholar] [CrossRef]
- Zhang, D.; Shi, W.; Zhang, H.; Yao, J.; Guan, X. Application of Different Turbulence Models in Performance Prediction of Axial Flow Pump. Trans. Chin. Soc. Agric. Eng. 2012, 28, 66–71+296. [Google Scholar]
- Jin, Y.; He, X.; Zhang, Y.; Zhou, S.; Chen, H.; Liu, C. Numerical and Experimental Investigation of External Characteristics and Pressure Fluctuation of a Submersible Tubular Pumping System. Processes 2019, 7, 949. [Google Scholar] [CrossRef] [Green Version]
- Izmaylov, R.A.; Lopulalan, H.D.; Norimarna, G.S. Unsteady Flow Modeling Using Transient Rotor–Stator Interface//ASME Turbo Expo 2013: Turbine Technical Conference and Exposition. Am. Soc. Mech. Eng. Digit. Collect. 2013, 6, 1–8. [Google Scholar]
- Li, Y.; Zheng, Y.; Meng, F.; Osman, M.K. The Effect of Root Clearance on Mechanical Energy Dissipation for Axial Flow Pump Device Based on Entropy Production. Processes 2020, 8, 1506. [Google Scholar] [CrossRef]
- Zhao, B.; Xie, Y.; Liao, W.; Han, L.; Fu, Y.; Huang, Z. Applicability Analysis of Second Generation Vortex Identification Method in Internal Flow Field of Mixed Flow Pump. J. Mech. Eng. 2020, 56, 216–223. [Google Scholar]
- Daniels, S.J.; Rahat, A.A.M.; Tabor, G.R.; Fieldsend, J.E.; Everson, R.M. Shape optimisation of the sharp-heeled Kaplan draft tube: Performance evaluation using Computational Fluid Dynamics. Renew. Energy 2020, 160, 112–126. [Google Scholar] [CrossRef]
- Roache, P.J. Method for Uniform Reporting of Grid Refinement Studies. J. Fluids Eng. 1994, 116, 405–413. [Google Scholar] [CrossRef]
- Wang, F. Flow Analysis Methods of Water Pumps and Pumping Stations; China Water Conservancy and Hydropower Publishing House: Beijing, China, 2020. [Google Scholar]
- Yang, F. Internal Flow Characteristics and Hydraulic Stability of Low-Lift Pump Device; China Water Conservancy and Hydropower Publishing House: Beijing, China, 2020. [Google Scholar]
- Mu, T.; Zhang, R.; Xu, H.; Zheng, Y.; Fei, Z.; Li, J. Study on improvement of hydraulic performance and internal flow pattern of the axial flow pump by groove flow control technology. Renew. Energy 2020, 160, 756–769. [Google Scholar] [CrossRef]
- Chalghoum, I.; Elaoud, S.; Kanfoudi, H.; Akrout, M. The effects of the rotor-stator interaction on unsteady pressure pulsation and radial force in a centrifugal pump. J. Hydrodyn. 2018, 30, 672–681. [Google Scholar] [CrossRef]
- Li, W.; Ji, L.; Zhang, Y.; Shi, W.; Yang, Y. Vortex dynamics analysis of transient flow field in start-up process of mixed-flow pump. J. Cent. South Univ. (Sci. Technol.) 2018, 49, 2480–2489. [Google Scholar]
- Levy, Y.; Degani, D.; Seginer, A. Graphical Visualization of Vortical Flows by Means of Helicity. AIAA J. 1990, 28, 1347–1352. [Google Scholar] [CrossRef]
- Tong, B.; Yin, X.; Zhu, K. Vortex Dynamics; Press of University of Science and Technology of China: Hefei, China, 2009. [Google Scholar]
- Yang, F.; Chang, P.; Hu, W.; Mao, B.; Liu, C.; Li, Z. Numerical Study on Pressure Pulsation in a Slanted Axial-Flow Pump Device under Partial Loads. Processes 2021, 9, 1404. [Google Scholar] [CrossRef]
- Song, X.; Liu, C.; Yang, F.; Chao, Z.; Chu, C.; Zhang, C. Experimental study on pressure pulsation of axial flow pump induced by inflow swirl. J. Vib. Shock 2018, 37, 25–31+62. [Google Scholar]
- Bai, L.; Zhou, L.; Han, C.; Zhu, Y.; Shi, W. Numerical Study of Pressure Fluctuation and Unsteady Flow in a Centrifugal Pump. Processes 2019, 7, 354. [Google Scholar] [CrossRef] [Green Version]
- Wang, C.; He, X.; Shi, W.; Wang, X.; Wang, X.; Qiu, N. Numerical study on pressure fluctuation of a multistage centrifugal pump based on whole flow field. AIP Adv. 2019, 9, 035118. [Google Scholar] [CrossRef] [Green Version]






























| Grid Scheme | Average Grid Spacing hi (mm) | Grid Encryption Ratio r | Head | Grid Convergence Error | GCI (%) |
|---|---|---|---|---|---|
| 1 | 1.29 | 1.04 | 7.71 | 0.0038 | 5.91 |
| 2 | 1.24 | 1.07 | 7.68 | 0.0052 | 4.56 |
| 3 | 1.16 | 1.06 | 7.64 | 0.0039 | 4.01 |
| 4 | 1.09 | 1.05 | 7.61 | 0.0026 | 3.22 |
| 5 | 1.04 | 1.08 | 7.59 | −0.0026 | 1.99 |
| 6 | 0.96 | 1.07 | 7.60 | 0.0013 | 1.14 |
| 7 | 0.90 | — | 7.59 | — | — |
Publisher’s Note: MDPI stays neutral with regard to jurisdictional claims in published maps and institutional affiliations. |
© 2021 by the authors. Licensee MDPI, Basel, Switzerland. This article is an open access article distributed under the terms and conditions of the Creative Commons Attribution (CC BY) license (https://creativecommons.org/licenses/by/4.0/).
Share and Cite
Yang, F.; Chang, P.; Yuan, Y.; Li, N.; Xie, R.; Zhang, X.; Lin, Z. Analysis of Timing Effect on Flow Field and Pulsation in Vertical Axial Flow Pump. J. Mar. Sci. Eng. 2021, 9, 1429. https://doi.org/10.3390/jmse9121429
Yang F, Chang P, Yuan Y, Li N, Xie R, Zhang X, Lin Z. Analysis of Timing Effect on Flow Field and Pulsation in Vertical Axial Flow Pump. Journal of Marine Science and Engineering. 2021; 9(12):1429. https://doi.org/10.3390/jmse9121429
Chicago/Turabian StyleYang, Fan, Pengcheng Chang, Yao Yuan, Na Li, Rongsheng Xie, Xiaowen Zhang, and Zhikang Lin. 2021. "Analysis of Timing Effect on Flow Field and Pulsation in Vertical Axial Flow Pump" Journal of Marine Science and Engineering 9, no. 12: 1429. https://doi.org/10.3390/jmse9121429
APA StyleYang, F., Chang, P., Yuan, Y., Li, N., Xie, R., Zhang, X., & Lin, Z. (2021). Analysis of Timing Effect on Flow Field and Pulsation in Vertical Axial Flow Pump. Journal of Marine Science and Engineering, 9(12), 1429. https://doi.org/10.3390/jmse9121429
