Depth Profiles of Microplastics in Sediment Cores from Two Mangrove Forests in Northern Vietnam
Abstract
:1. Introduction
2. Materials and Methods
2.1. Study Area
2.2. Field Sampling
2.3. Sample Analysis
2.3.1. Sediment Grain Size Analysis
2.3.2. Microplastics Analysis
2.3.3. Chemical Characteristics of Microplastic by FTIR Analysis
2.3.4. Statistical Analysis
3. Results
3.1. Sediment Grain Size Distribution in Mangrove Forests
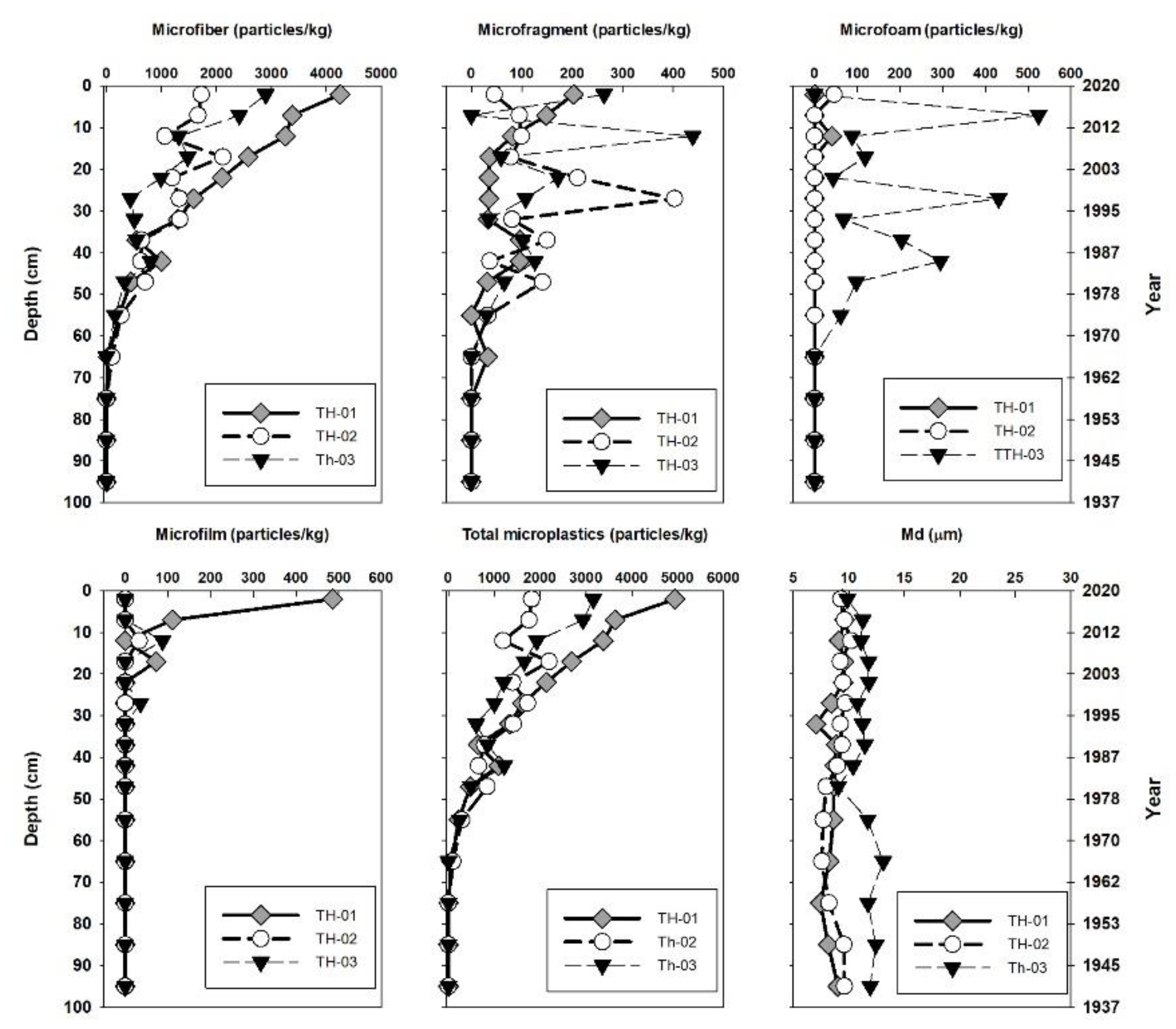
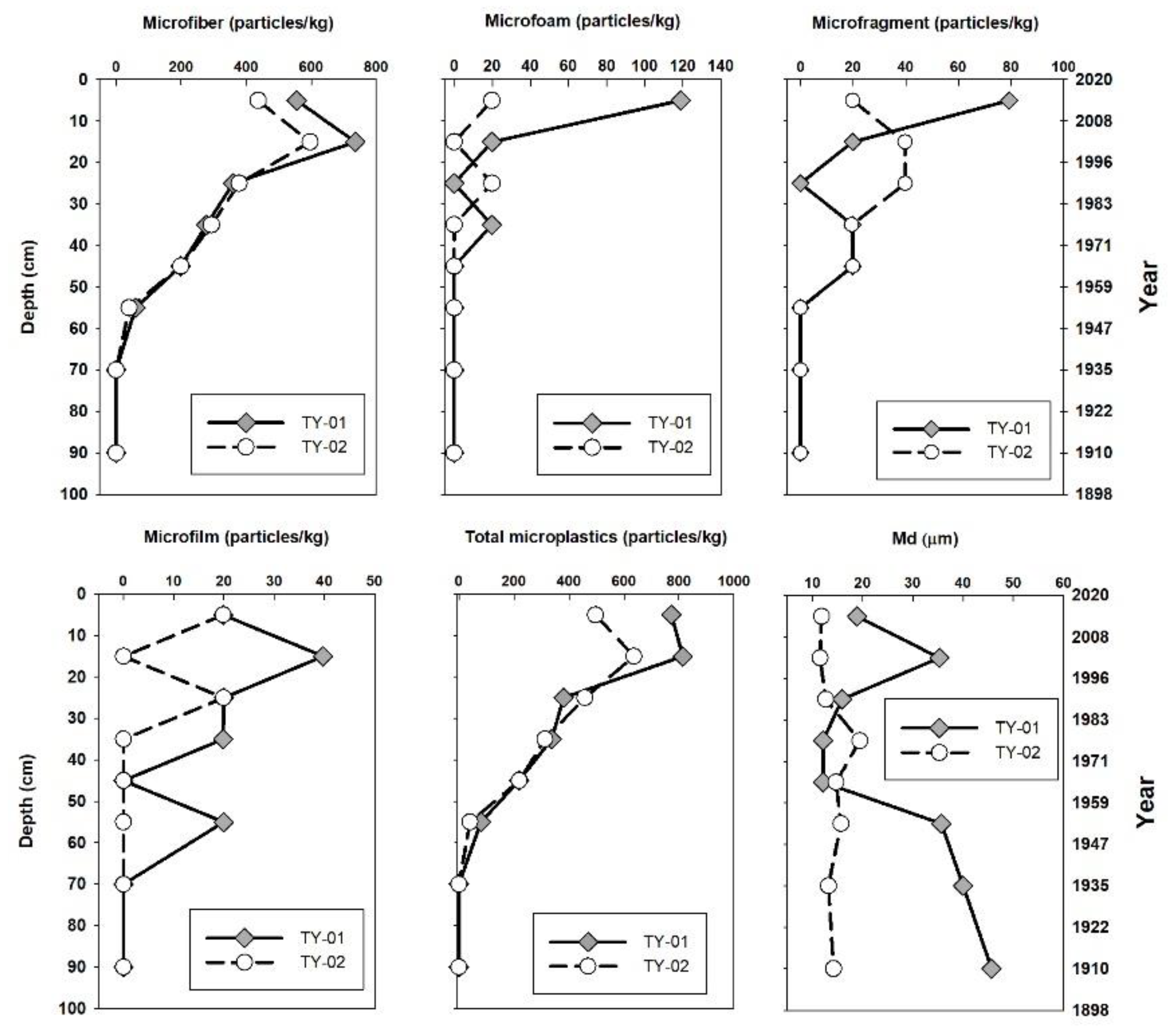
3.2. Microplastic Abundance in Sediment Core
3.2.1. Microplastic Types in Mangrove Sediment Cores
3.2.2. Total Microplastics in Mangrove Sediment Cores
3.3. Microplastic Polymer Type in Sediment Core
4. Discussion
5. Conclusions
Author Contributions
Funding
Institutional Review Board Statement
Informed Consent Statement
Data Availability Statement
Acknowledgments
Conflicts of Interest
References
- Thompson, R.C.; Swan, S.H.; Moore, C.J.; Vom Saal, F.S. Our plastics age. Philos. Trans. R. Soc. B 2009, 346, 1973–1976. [Google Scholar] [CrossRef] [Green Version]
- Henry, B.; Laitala, K.; Klepp, I.G. Microfibres from apparel and home textiles: Prospects for including microplastics in environmental sustainability assessment. Sci Total Environ. 2019, 652, 483–494. [Google Scholar] [CrossRef]
- Jambeck, J.R.; Geyer, R.; Wilcox, C.; Siegler, T.R.; Perryman, M.; Andrady, A.; Narayan, R.; Law, K.L. Plastic waste inputs from land into the ocean. Science 2015, 347, 768–771. [Google Scholar] [CrossRef]
- Masura, J.; Baker, J.; Foster, G.; Arthur, C. Laboratory Methods for the Analysis of Microplastics in the Marine Environment: Recommendations for Quantifying Synthetic Particles in Waters and Sediments. 2015. Available online: https://repository.oceanbestpractices.org/handle/11329/1076 (accessed on 18 October 2021).
- Thompson, R.C. Plastic debris in the marine environment: Consequences and solutions. Mar. Nat. Conserv. Eur. 2006, 193, 107–115. [Google Scholar]
- Carbery, M.; O’Connor, W.; Palanisami, T. Trophic transfer of microplastics and mixed contaminants in the marine food web and implications for human health. Environ. Int. 2018, 115, 400–409. [Google Scholar] [CrossRef] [Green Version]
- Duis, K.; Coors, A. Microplastics in the aquatic and terrestrial environment. Environ. Sci. Eur. 2016, 28, 2. [Google Scholar] [CrossRef] [Green Version]
- Van Cauwenberghe, L.; Vanreusel, A.; Mees, J.; Janssen, C.R. Microplastic pollution in deep-sea sediments. Environ. Pollut. 2013, 182, 495–499. [Google Scholar] [CrossRef]
- Uddin, S.; Fowler, S.W.; Uddin, M.F.; Behbehani, M.; Naji, A. A review of microplastic distribution in sediment profles. Mar. Pollut. Bull. 2021, 163. [Google Scholar] [CrossRef] [PubMed]
- La Daana, K.K.; Johansson, C.; Frias, J.; Gardfeldt, K.; Thompson, R.C.; O’Connor, I. Deep sea sediments of the Arctic Central Basin: A potential sink for microplastics. Deep Sea Res. Part I: Oceanogr. Res. Pap. 2019, 145, 137–142. [Google Scholar]
- Deng, J.; Guo, P.; Zhang, X.; Su, H.; Zhang, Y.; Wu, Y. Microplastics and accumulated heavy metals in restored mangrove wetland surface sediments at Jinjiang Estuary (Fujian, China). Mar. Pollut. Bull. 2020, 159, 111482. [Google Scholar] [CrossRef]
- Li, J.; Huang, W.; Xu, Y.; Jin, A.; Zhang, D.; Zhang, C. Microplastics in sediment cores as indicators of temporal trends in microplastic pollution in Andong salt marsh, Hangzhou Bay, China. Reg. Stud. Mar. Sci. 2020, 35, 101149. [Google Scholar] [CrossRef]
- Zhou, Q.; Tu, C.; Fu, C.; Li, Y.; Zhang, H.; Xiong, K.; Zhao, X.; Li, L.; Waniek, J.J.; Luo, Y. Characteristics and Distribution of Microplastics in the Coastal Mangrove Sediments of China. Sci. Total Environ. 2019, 703. [Google Scholar] [CrossRef]
- Sui, Q.; Zhang, L.; Xia, B.; Chen, B.; Sun, X.; Zhu, L.; Wang, R.; Qu, K. Spatiotemporal distribution, source identification and inventory of microplastics in surface sediments from Sanggou Bay, China. Sci Total Env. 2020, 723, 138064. [Google Scholar] [CrossRef]
- Wang, J.; Wang, M.; Ru, S.; Liu, X. High levels of microplastic pollution in the sediments and benthic organisms of the South Yellow Sea, China. Sci Total Env. 2019, 651, 1661–1669. [Google Scholar] [CrossRef]
- Derraik, J.G. The pollution of the marine environment by plastic debris: A review. Mar.Pollut.Bull 2002, 44, 842–852. [Google Scholar] [CrossRef]
- Cole, M.; Lindeque, P.; Fileman, E.; Halsband, C.; Goodhead, R.; Moger, J.; Galloway, T.S. Microplastic Ingestion by Zooplankton. Environ. Sci. Technol. 2013, 47. [Google Scholar] [CrossRef]
- Bour, A.; Haarr, A.; Keiter, S.; Hylland, K. Environmentally relevant microplastic exposure affects sediment-dwelling bivalves. Env. Pollut 2018, 236, 652–660. [Google Scholar] [CrossRef]
- Brennecke, D.; Duarte, B.; Paiva, F.; Caçador, I.; Canning-Clode, J. Microplastics as vector for heavy metal contamination from the marine environment. Estuar. Coast. Shelf Sci. 2016, 178, 189–195. [Google Scholar] [CrossRef]
- Charles, J.M. Synthetic polymers in the marine environment: A rapidly increasing, long-term threat, Synthetic polymers in the marine environment: A rapidly increasing, long-term threat. Environ. Res. 2008, 108, 131–139. [Google Scholar]
- Gallo, F.; Fossi, C.; Weber, R.; Santillo, D.; Sousa, J.; Ingram, I. Marine litter plastics and microplastics and their toxic chemicals components: The need for urgent preventive measures. Environ. Sci. Eur. 2018, 30, 13. [Google Scholar] [CrossRef]
- Tue, N.T.; Quy, T.D.; Amano, A.; Hamaoka, H.; Tanabe, S.; Nhuan, M.T.; Omori, K. Historical profiles of trace element concentrations in mangrove sediments from the Ba Lat Estuary, Red River, Vietnam. Waterairsoil Pollut. 2012, 223, 1315–1330. [Google Scholar] [CrossRef]
- Quy, T.D.; Tue, N.T. Spatial distribution of total organic carbon (TOC), total nitrogen (TN), TOC/TN ratio, and stable carbon isotopes value (δ13C) in surface sediments of Tien Yen Bay, northeast Vietnam (In Vietnamese). Vietnam J. Earth Sci. 2011, 33, 616–624. [Google Scholar]
- Hoai, N.D.; Duc, T.T.; Van, H.D.; Son, H.P.; Manh, H.N.; Dinh, L.T.; Xiaoyong, D.; Dac, V.N. Sedimentation rates and heavy metal concentrations in the tidal flats of North Vietnam. Pol. J. Environ. Stud. 2019, 28, 3721–3733. [Google Scholar] [CrossRef]
- Ryżak, M.; Bieganowski, A. Methodological aspects of determining soil particle-size distribution using the laser diffraction method. J. Plant Nutr. Soil Sci. 2011, 174, 624–633. [Google Scholar] [CrossRef]
- Fisher, P.; Aumann, C.; Chia, K.; O’Halloran, N.; Chandra, S. Adequacy of laser diffraction for soil particle size analysis. PLoS ONE 2017, 12, e0176510. [Google Scholar] [CrossRef] [Green Version]
- Renner, G.; Schmidt, T.; Schram, J. Characterization and Quantification of Microplastics by Infrared Spectroscopy. In Characterization and Analysis of Microplastics; Kruze, Z., Ed.; Comprehensive Analytical Chemistry, 2017; Volume 75, pp. 67–118. Available online: https://www.semanticscholar.org/paper/Chapter-4-Characterization-and-Quantification-of-by-Renner-Schmidt/a877410878a535cd57ae1d108484fa322f83b41c (accessed on 18 October 2021).
- Nor, N.H.M.; Obbard, J.P. Microplastics in Singapore’s coastal mangrove ecosystems. Mar. Pollut. Bull. 2014, 79, 278–283. [Google Scholar] [CrossRef]
- Matsuguma, Y.; Takada, H.; Kumata, H.; Kanke, H.; Sakurai, S.; Suzuki, T.; Itoh, M.; Okazaki, Y.; Boonyatumanond, R.; Zakaria, M.P.; et al. Microplastics in Sediment Cores from Asia and Africa as Indicators of Temporal Trends in Plastic Pollution. Arch. Environ. Contam. Toxicol. 2017, 73, 230–239. [Google Scholar] [CrossRef]
- Zhang, B.; Wu, D.; Yang, X.; Teng, J.; Liu, Y.; Zhang, C.; Zhao, J.; Yin, X.; You, L.; Liu, Y.; et al. Microplastic pollution in the surface sediments collected from Sishili Bay, North Yellow Sea, China. Mar Pollut Bull 2019, 141, 9–15. [Google Scholar] [CrossRef]
- Zuo, L.; Sun, Y.; Li, H.; Hu, Y.; Lin, L.; Peng, J.; Xu, X. Microplastics in mangrove sediments of the Pearl River Estuary, South China: Correlation with halogenated flame retardants’ levels. Sci. Total Environ. 2020, 725, 138344. [Google Scholar] [CrossRef]
- Willis, K.A.; Eriksen, R.; Wilcox, C.; Hardesty, B.D. Microplastic distribution at different sediment depths in an urban estuary. Front. Mar. Sci. 2017, 4, 419. [Google Scholar] [CrossRef] [Green Version]
- Sterl, M.F.; Delandmeter, P.; van Sebille, E. Influence of barotropic tidal currents on transport and accumulation of floating microplastics in the global open ocean. J. Geophys. Res. Ocean. 2020, 125, e2019JC015583. [Google Scholar] [CrossRef]
- Sereda, A.V.; Mikhaylichenko, Y.G.; Baklanov, P.Y.; Kachur, A.N.; Lappo, A.D.; Danilova, L.V. Contribution of an Integrated Maritime Policy to the Dialogue of Civilisations: The Asia-Pacific Case. J. Mar. Sci. Eng. 2021, 9, 610. [Google Scholar] [CrossRef]
- Dung, L.V.; Duc, T.H.; Ha, N.T.H.; Tung, N.D.; Tue, N.T.; Hieu, P.V.; Dinh, N.Q.; Nhuan, M.T. Method for the analysis of microplatics in the tidal flat sediments, case study of Da Loc Commune, Hau Loc District, Thanh Hoa Province (in Vietnamese). Vietnam J. Hydrometeorol. 2020, 715, 1–12. [Google Scholar] [CrossRef]
- Tsang, Y.Y.; Mak, C.W.; Liebich, C.; Lam, S.W.; Sze, E.T.; Chan, K.M. Microplastic pollution in the marine waters and sediments of Hong Kong. Mar.Pollut.Bull 2017, 115, 20–28. [Google Scholar] [CrossRef]
- Peng, G.; Zhu, B.; Yang, D.; Su, L.; Shi, H.; Li, D. Microplastics in sediments of the Changjiang Estuary, China. Environ. Pollut. 2017, 225, 283–290. [Google Scholar] [CrossRef]
- He, B.; Goonetilleke, A.; Ayoko, G.A.; Rintoul, L. Abundance, distribution patterns, and identification of microplastics in Brisbane River sediments, Australia. Sci. Total Environ. 2020, 700, 134467. [Google Scholar] [CrossRef]
- McEachern, K.; Alegria, H.; Kalagher, A.L.; Hansen, C.; Morrison, S.; Hastings, D. Microplastics in Tampa Bay, Florida: Abundance and variability in estuarine waters and sediments. Mar. Pollut. Bull. 2019, 148, 97–106. [Google Scholar] [CrossRef]
- Alves, V.E.; Figueiredo, G.M. Microplastic in the sediments of a highly eutrophic tropical estuary. Mar. Pollut. Bull. 2019, 146, 326–335. [Google Scholar] [CrossRef] [PubMed]
- Firdaus, M.; Trihadiningrum, Y.; Lestari, P. Microplastic pollution in the sediment of Jagir Estuary, Surabaya City, Indonesia. Mar. Pollut. Bull. 2020, 150, 110790. [Google Scholar] [CrossRef]
- Xu, Q.; Xing, R.; Sun, M.; Gao, Y.; An, L. Microplastics in sediments from an interconnected river-estuary region. Sci. Total Environ. 2020, 729, 139025. [Google Scholar] [CrossRef]
- Chen, M.; Jin, M.; Tao, P.; Wang, Z.; Xie, W.; Yu, X.; Wang, K. Assessment of microplastics derived from mariculture in Xiangshan Bay, China. Environ. Pollut. 2018, 242, 1146–1156. [Google Scholar] [CrossRef] [PubMed]
- Fan, Y.; Zheng, K.; Zhu, Z.; Chen, G.; Peng, X. Distribution, sedimentary record, and persistence of microplastics in the Pearl River catchment, China. Environ. Pollut. 2019, 251, 862–870. [Google Scholar] [CrossRef] [PubMed]
- Quy, T.D.; Tue, N.T.; Nhuan, M.T. Spatial distribution of trace elements in surface sediments of Tien Yen Bay, northeast Vietnam. Vietnam J. Earth Sci. 2012, 34, 10–17. [Google Scholar]
- Adame, M.F.; Neil, D.; Wright, S.F.; Lovelock, C.E. Sedimentation within and among mangrove forests along a gradient of geomorphological settings. Estuar. Coast. Shelf Sci. 2010, 86, 21–30. [Google Scholar] [CrossRef]
- van den Bergh, G.D.; Boer, W.; Schaapveld, M.A.S.; Duc, D.M.; van Weering, T.C.E. Recent sedimentation and sediment accumulation rates of the Ba Lat prodelta (Red River, Vietnam). J. Asian Earth Sci. 2007, 29, 545–557. [Google Scholar] [CrossRef]
- McCraith, B.J.; Gardner, L.R.; Wethey, D.S.; Moore, W.S. The effect of fiddler crab burrowing on sediment mixing and radionuclide profiles along a topographic gradient in a southeastern salt marsh. J. Mar. Res. 2003, 61, 359–390. [Google Scholar] [CrossRef]




| Sample Site | Location | Type of Mangrove Forest | Dominant Mangrove Species | Sedimentation Rate (cm/Year) |
|---|---|---|---|---|
| TH-01 | Red River Delta | Re-plantation mangrove forest | Aegiceras cornicudatum, Kandeliaobovata, and Sonneratia caseolaris | 1.2 cm [22] |
| TH-02 | Red River Delta | Re-plantation mangrove forest | Aegiceras cornicudatum and Kandeliaobovata | 1.2 cm [22] |
| TH-03 | Red River Delta | Re-plantation mangrove forest | Aegiceras cornicudatum, Kandeliaobovata, and Sonneratia caseolaris | 1.2 cm [22] |
| TY-01 | Tien Yen Bay | Natural mangrove forest | Bruguiera gymnorrhiza, Kandelia obovata, Avicenia marina, and Rhizophora stylosa | 0.82 cm [24] |
| TY-02 | Tien Yen Bay | Natural mangrove forest | Avicenia marina, Kandelia obovata, and Rhizophora stylosa | 0.82 cm [24] |
| Depth Zone | Md | Sand | Silt | Clay | MFB | MFA | MFO | MFI | MPs | |
|---|---|---|---|---|---|---|---|---|---|---|
| 0–50 cm | Chi-Square | 21.370 | 19.142 | 3.750 | 21.370 | 15.244 | 13.016 | 0.000 | 2.874 | 17.518 |
| p | <0.001 | <0.001 | 0.053 | <0.001 | <0.001 | <0.001 | 0.986 | 0.090 | <0.001 | |
| 50–100 cm | Chi-Square | 12.273 | 12.353 | 12.273 | 12.273 | 0.077 | 1.324 | 0.400 | 2.500 | 0.138 |
| p | <0.001 | <0.001 | <0.001 | 0.000 | 0.781 | 0.250 | 0.527 | 0.114 | 0.711 |
| Location | Type of Wetlands | Plastic Particle Size (mm) | Total Microplastics (Particles/kg) | Data Sources |
|---|---|---|---|---|
| Tien Yen Bay, Vietnam | Mangrove forest | 0.3–5 | 0–815 | This study |
| Red River Delta, Vietnam | Mangrove forest | 0.3–5 | 0–4941 | This study |
| Thanh Hoa, Vietnam | Tidal flats | 0.25–5 | 2921–5365 | [35] |
| Singapore | Mangrove forest | 0.02–5 | 12–62.8 | [28] |
| Gulf of Thailand | Bay | 0.3–5 | 83–165 | [29] |
| Andong salt marsh, Hangzhou Bay, China | Saltmarsh | 0.1–5 | 40–480 | [12] |
| Hong Kong | Bay | 0.1–5 | 44–458 | [36] |
| Changjiang Estuary, China | Estuary and tidal flats | <5 | 20–340 | [37] |
| Sishili Bay, North Yellow Sea, China | Estuary and bay | <5 | 140–1873 | [30] |
| Sanggou Bay, China | Bay and estuary | <5 | 699–2824 | [14] |
| Pearl River Estuary, South China | Mangrove forest | <5 | 100–7900 | [31] |
| Brisbane River, Australia | River | <5 | 10–520 | [38] |
| Southeast of China | Mangrove forest | 0.05–5 | 8.3–5738.3 | [13] |
| Tampay Bay, Florida | Bay | <5 | 30–790 | [39] |
| Guanabara Bay, Brazilian | Bay | 0.1–5 | 160–1000 | [40] |
| Jinjang Enstuary, China | Estuary | <5 | 980–2340 | [11] |
| Jagir Estuary, Indonesida | Estuary | 0.3–5 | 92–590 | [41] |
| Liaohe Estuary, china | Estuary | <5 | 80–220 | [42] |
| Xiangshan Bay, China | Bay | <5 | 1739–2153 | [43] |
| South Yellow Sea, China | Sea | <5 | 560–4205 | [15] |
| Pearl River, China | Estuary | 1–5 | 258 | [44] |
Publisher’s Note: MDPI stays neutral with regard to jurisdictional claims in published maps and institutional affiliations. |
© 2021 by the authors. Licensee MDPI, Basel, Switzerland. This article is an open access article distributed under the terms and conditions of the Creative Commons Attribution (CC BY) license (https://creativecommons.org/licenses/by/4.0/).
Share and Cite
Viet Dung, L.; Huu Duc, T.; Thi Khanh Linh, L.; Thi Dieu Ly, T.; Anh Duong, H.; Thi My Hao, N. Depth Profiles of Microplastics in Sediment Cores from Two Mangrove Forests in Northern Vietnam. J. Mar. Sci. Eng. 2021, 9, 1381. https://doi.org/10.3390/jmse9121381
Viet Dung L, Huu Duc T, Thi Khanh Linh L, Thi Dieu Ly T, Anh Duong H, Thi My Hao N. Depth Profiles of Microplastics in Sediment Cores from Two Mangrove Forests in Northern Vietnam. Journal of Marine Science and Engineering. 2021; 9(12):1381. https://doi.org/10.3390/jmse9121381
Chicago/Turabian StyleViet Dung, Luu, Truong Huu Duc, Le Thi Khanh Linh, Trinh Thi Dieu Ly, Hoang Anh Duong, and Nguyen Thi My Hao. 2021. "Depth Profiles of Microplastics in Sediment Cores from Two Mangrove Forests in Northern Vietnam" Journal of Marine Science and Engineering 9, no. 12: 1381. https://doi.org/10.3390/jmse9121381
APA StyleViet Dung, L., Huu Duc, T., Thi Khanh Linh, L., Thi Dieu Ly, T., Anh Duong, H., & Thi My Hao, N. (2021). Depth Profiles of Microplastics in Sediment Cores from Two Mangrove Forests in Northern Vietnam. Journal of Marine Science and Engineering, 9(12), 1381. https://doi.org/10.3390/jmse9121381

