The Occurrence of Microplastics in Sediment Cores from Two Mangrove Areas in Southern Thailand
Abstract
:1. Introduction
2. Materials and Methods
2.1. Study Area
2.2. Sediment Sampling
2.3. Sediment Preparation and Extraction
2.3.1. Experimental Control
2.3.2. Microplastic Extraction from Sediment
2.3.3. Microplastic Identification
2.4. Data Analysis
3. Results and Discussion
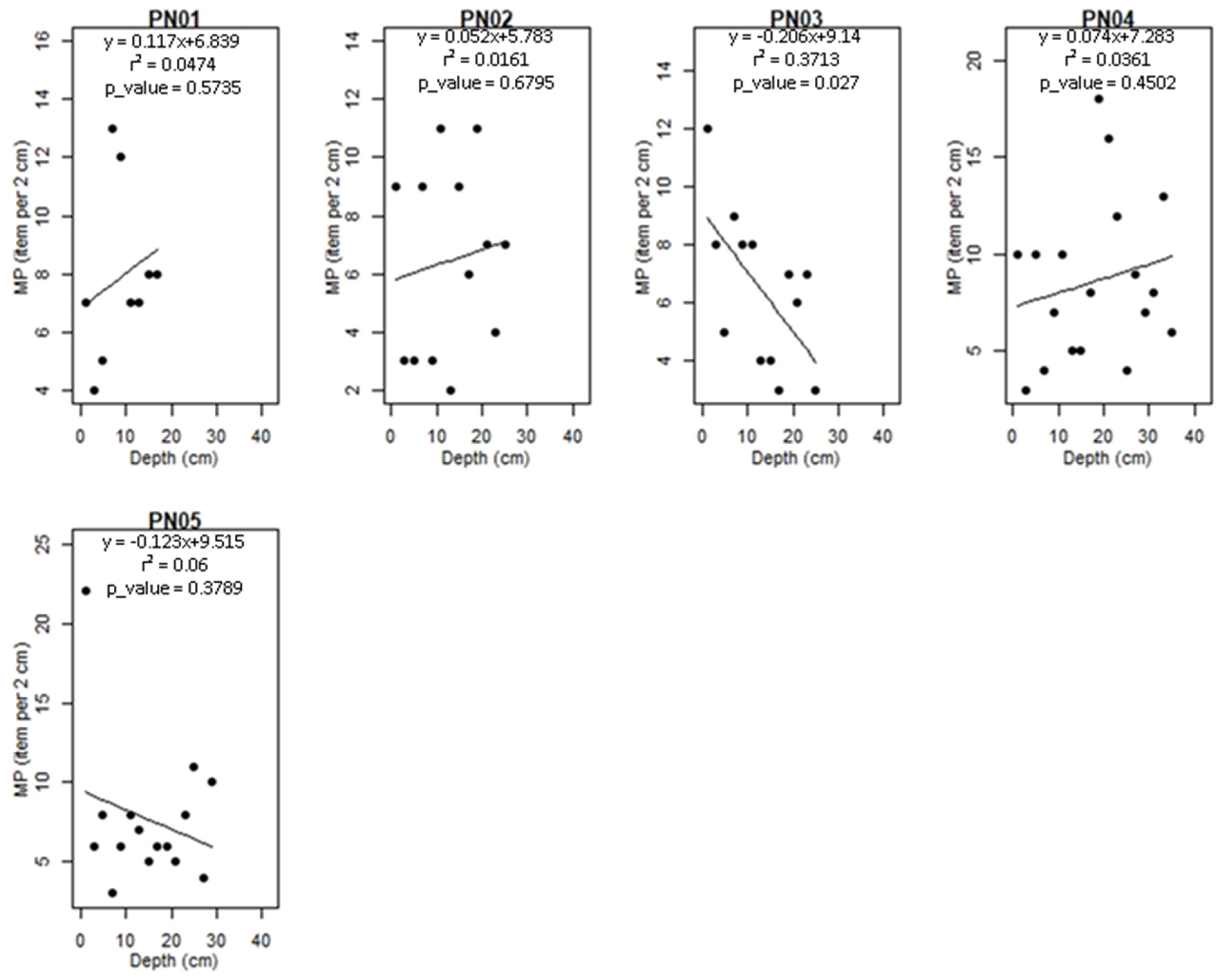
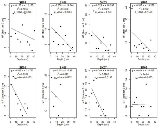
3.1. Vertical Accumulation of MPs
3.2. Horizontal Accumulation of MPs
3.3. Microplastic Identification
4. Conclusions
Author Contributions
Funding
Institutional Review Board Statement
Informed Consent Statement
Acknowledgments
Conflicts of Interest
References
- Statista. Annual Production of Plastics Worldwide from 1950 to 2020. Available online: https://www.statista.com/statistics/282732/global-production-of-plastics-since-1950 (accessed on 11 November 2020).
- Thailand Development Research Institute. Disparity Worsens Ocean Pollution. Available online: https://tdri.or.th/en/2021/06/disparity-worsens-ocean-pollution (accessed on 9 June 2021).
- Wang, J.; Zheng, L.; Li, J. A critical review on the sources and instruments of marine microplastics and prospects on the relevant management in China. Waste Manag. Res. 2018, 36, 898–911. [Google Scholar] [CrossRef] [PubMed] [Green Version]
- Wayman, C.; Nieman, H. The fate of plastic in the ocean environment—A mini review. Environ. Sci. Processes Impacts 2021, 23, 198–212. [Google Scholar] [CrossRef]
- Willis, K.A.; Eriksen, R.; Wilcox, C.; Hardesty, B.D. Microplastic distribution at different sediment depths in an urban estuary. Front. Mar. Sci. 2017, 4, 419. [Google Scholar] [CrossRef] [Green Version]
- Suisyo, E.N.; Rahmawati, S.; Putri, R.A.; Arya, N.; Eryan, Y.A. Identification of the existence and type of microplastic in code river fish, special region of Yogyakarta. J. Data Sci. Anal. 2020, 1, 85–91. [Google Scholar]
- Kosore, C.; Ojwang, L.; Maghanga, J.; Kamau, J.; Kimei, A.; Omukoto, K.; Ngisiag’e, N.; Mwaluma, J.; Ong’ada, H.; Magori, C.; et al. Occurrence and ingestion of microplastics by zooplankton in Kenya’s marine environment: First documented evidence. Afr. J. Mar. Sci. 2018, 40, 225–234. [Google Scholar] [CrossRef]
- Klangnurak, W.; Chunniyom, S. Screening for microplastics in marine fish of Thailand: The accumulation of microplastics in the gastrointestinal tract of different foraging preferences. Environ. Sci. Pollut. Res. 2020, 27, 27161–27168. [Google Scholar] [CrossRef] [PubMed]
- Abidli, S.; Lahbib, Y.; El Menif, N.T. Microplastics in commercial molluscs from the lagoon of Bizerte (Northern Tunisia). Mar. Pollut. Bull. 2019, 142, 243–252. [Google Scholar] [CrossRef] [PubMed]
- Sharma, S.; Chatterjee, S. Microplastic pollution, a threat to marine ecosystem and human health: A short review. Environ Sci Pollut Res. 2017, 24, 21530–21547. [Google Scholar] [CrossRef] [PubMed]
- Frias, J.P.G.L.; Sobral, P.; Ferreira, A.M. Organic pollutants in microplastics from two beaches of the Portuguese coast. Mar. Pollut. Bull. 2010, 60, 1988–1992. [Google Scholar] [CrossRef]
- Liu, S.; Shi, J.; Wang, J.; Dai, Y.; Li, H.; Li, J.; Liu, X.; Chen, X.; Wang, Z.; Zhang, P. Interactions between microplastics and heavy metals in aquatic environments: A review. Front. Microbiol. 2021, 12, 652520. [Google Scholar] [CrossRef]
- Bayo, J.; Guille’n, M.; Olmos, S.; Jimenez, P.; Sanchez, E.; Roca, M.J. Microplastics as vector for persistent organic pollutants in urban effluents: The role of Polychlorinated biphenyls. Int. J. Sus. Dev. Plan. 2018, 13, 671–682. [Google Scholar] [CrossRef]
- Law, K.L. Plastics in the marine environment. Ann. Rev. Mar. Sci. 2017, 9, 205–229. [Google Scholar] [CrossRef] [Green Version]
- Choy, C.A.; Robinson, B.H.; Gagne, T.O.; Erwin, B.; Firl, E.; Halden, R.U.; Hamilton, J.A.; Katija, K.; Lisin, S.E.; Rolsky, C.; et al. The vertical distribution and biological transport of marine microplastics across the epipelagic and mesopelagic water column. Sci. Rep. 2019, 9, 7843. [Google Scholar] [CrossRef] [Green Version]
- Schröder, K.; Kossel, E.; Lenz, M. Microplastic abundance in beach sediments of the Kiel Fjord, Western Baltic Sea. Environ. Sci. Pollut. Res. 2012, 28, 26515–26528. [Google Scholar] [CrossRef]
- Van Emmerik, T.; Mellink, Y.; Hauk, R.; Waldschläger, K.; Schreyers, L. Rivers as Plastic Reservoirs. Front. Water 2022, 3, 1–8. [Google Scholar] [CrossRef]
- Martin, C.; Baalkhuyur, F.; Valluzzi, L.; Saderne, V.; Cusack, M.; Almahasheer, H.; Krishnakumar, P.K.; Rabaoui, L.; Qurban, M.; Arias-Ortiz, A.; et al. Exponential increase of plastic burial in mangrove sediments as a major plastic sink. Sci. Adv. 2020, 6, eaaz5593. [Google Scholar] [CrossRef]
- Luo, Y.Y.; Not, C.; Cannicci, S. Mangroves as unique but understudied traps for anthropogenic marine debris: A review of present information and the way forward. Environ. Pollut. 2021, 271, 116291. [Google Scholar] [CrossRef] [PubMed]
- Perera, K.A.R.S.; Amarasinghe, M.D. Carbon sequestration capacity of mangrove soils in micro tidal estuaries and lagoons: A case study from Sri Lanka. Geoderma 2019, 347, 80–89. [Google Scholar] [CrossRef]
- Maiti, S.K.; Chowdhury, A. Effects of Anthropogenic Pollution on Mangrove Biodiversity: A Review. J. Environ. Prot. 2013, 4, 1428–1434. [Google Scholar] [CrossRef] [Green Version]
- Veettil, B.K.; Ward, R.D.; Quang, N.X.; Trang, N.T.T.; Giang, T.H. Mangroves of Vietnam: Historical development, current state of research and future threats. Estuar. Coast. Shelf Sci. 2019, 218, 212–236. [Google Scholar] [CrossRef]
- Vanegas, C.A.; Osorio, A.F.; Urrego, L.E. Wave dissipation across a Rhizophora mangrove patch on a Colombian Caribbean Island: An experimental approach. Ecol. Eng. 2019, 130, 271–281. [Google Scholar] [CrossRef]
- Castillo, J.A.A.; Apan, A.A.; Maraseni, T.N.; Salmo, S.G., III. Estimation and mapping of above-ground biomass of mangrove forests and their replacement land uses in the Philippines using Sentinel imagery. ISPRS J. Photogramm. Remote Sens. 2017, 134, 70–85. [Google Scholar] [CrossRef]
- Besset, M.; Gratiot, N.; Anthony, E.J.; Bouchette, F.; Goichot, M.; Marchesiello, P. Mangroves and shoreline erosion in the Mekong River delta, Vietnam. Estuar. Coast. Shelf Sci. 2019, 226, 106263. [Google Scholar] [CrossRef]
- Ghosh, S.; Bakshi, M.; Bhattacharyya, S.; Nath, B.; Chaudhuri, P. A Review of threats and vulnerabilities to mangrove habitats: With special emphasis on east coast of India. J. Earth Sci. Clim Chang. 2015, 6, 1000270. [Google Scholar] [CrossRef] [Green Version]
- Kumar, V.; Parihar, R.D.; Sharma, A.; Bakshi, P.; Sidhu, G.P.S.; Bali, A.S.; Karaouzas, I.; Bhardwaj, R.; Thukral, A.K.; Gyasi-Agyei, Y.; et al. Global evaluation of heavy metal content in surface water bodies: A meta-analysis using heavy metal pollution indices and multivariate statistical analyses. Chemosphere 2019, 236, 124364. [Google Scholar] [CrossRef] [PubMed]
- Toosi, N.B.; Soffianian, A.R.; Fakheran, S.; Pourmanafi, S.; Ginzler, C.; Waser, L.T. Comparing different classification algorithms for monitoring mangrove cover changes in southern Iran. Glob. Ecol. Conserv. 2019, 19, e00662. [Google Scholar] [CrossRef]
- Goh, P.B.; Pradit, S.; Towatana, P.; Khokkiatiwong, S.; Kongket, B.; Moh, J.H.Z. Microplastics abundance in blood cockles and shrimps from fishery market, Songkhla Province, Southern Thailand. Sains Malays. 2021, 50, 2899–2911. [Google Scholar] [CrossRef]
- Viet Dung, L.; Huu Duc, T.; Thi Khanh Linh, L.; Thi Dieu Ly, T.; Anh Duong, H.; Thi My Hao, N. Depth Profiles of Microplastics in sediment cores from two mangrove forests in northern Vietnam. J. Mar. Sci. Eng. 2021, 9, 1381. [Google Scholar] [CrossRef]
- Cordova, M.R.; Ulumuddin, Y.I.; Purbonegoro, T.; Shiomoto, A. Characterization of microplastics in mangrove sediment of Muara Angke Wildlife Reserve, Indonesia. Mar. Pollut. Bull. 2021, 163, 112012. [Google Scholar] [CrossRef] [PubMed]
- Nor, N.H.M.; Obbard, J.P. Microplastics in Singapore’s coastal mangrove ecosystems. Mar. Pollut. Bull. 2014, 79, 278–283. [Google Scholar] [CrossRef] [PubMed]
- Ibrahim, Y.S.; Hamzah, S.R.; Khalik, W.M.A.W.M.; Yusof, K.M.K.K.; Anuar, S.T. Spatiotemporal microplastic occurrence study of Setiu Wetland, South China Sea. Sci. Total Environ. 2021, 788, 147809. [Google Scholar] [CrossRef] [PubMed]
- Li, J.; Zhang, H.; Zhang, K.; Yang, R.; Li, R.; Li, Y. Characterization, source, and retention of microplastic in sandy beaches and mangrove wetlands of the Qinzhou Bay, China. Mar. Pollut. Bull. 2018, 136, 401–406. [Google Scholar] [CrossRef] [PubMed]
- Thushari, G.G.N.; Chavanich, S.; Yakupitiyage, A. Coastal debris analysis in beaches of Chonburi Province, eastern of Thailand as implications for coastal conservation. Mar. Pollut. Bull. 2017, 116, 121–129. [Google Scholar] [CrossRef] [PubMed]
- Azad, S.M.O.; Towatana, P.; Pradit, S.; Goh, P.B.; Hue, H.T.T.; Jualaong, S. First evidence of existence of microplastics in stomach of some commercial fishes in the lower Gulf of Thailand. Appl. Ecol. Environ. Res. 2018, 16, 7345–7360. [Google Scholar] [CrossRef]
- Pradit, S.; Noppradit, P.; Goh, B.P.; Sornplang, K.; Ong, M.C.; Towatana, P. Occurrence of microplastics and trace metals in fish and shrimp from Songkhla lake, Thailand during the COVID-19 pandemic. Appl. Ecol. Environ. Res. 2021, 19, 1085–1106. [Google Scholar] [CrossRef]
- Pradit, S.; Towatana, P.; Nitiratsuwan, T.; Jualaong, T.; Jirajarus, M.; Sornplang, K.; Noppradit, P.; Darakai, Y.; Weerawong, C. Occurrence of microplastics on beach sediment at Libong, a pristine island in Andaman Sea, Thailand. Sci. Asia 2020, 46, 336–343. [Google Scholar] [CrossRef]
- Pradit, S.; Nitiratsuwan, T.; Towatana, P.; Jualaong, T.; Sornplang, K.; Noppradit, P.; Jirajarus, M.; Darakai, Y.; Weerawon, C. Marine debris accumulation on the beach in Libong, a small island in Andaman Sea, Thailand. Appl. Ecol. Environ. Res. 2020, 18, 5461–5474. [Google Scholar] [CrossRef]
- Akkajit, P.; Tipmanee, D.; Cherdsukjai, P.; Suteerasak, T.; Thongnonghin, S. Occurrence and distribution of microplastics in beach sediments along Phuket coastline. Mar. Pollut. Bull. 2021, 169, 112496. [Google Scholar] [CrossRef] [PubMed]
- Pradit, S.; Wattayakorn, G.; Angsupanich, S.; Baeyens, W.; Leermakers, M. Distribution of trace element in sediment and biota of Songkhla Lake, Southern Thailand. Water Air Soil Pollut. 2010, 206, 155–174. [Google Scholar] [CrossRef]
- Sompongchaiyakul, P.; Sirinawin, W. Arsenic, Chromium and Mercury in surface sediment of Songkhla Lake system, Thailand. Asian J. Water Environ. Pollut. 2007, 4, 17–24. [Google Scholar]
- Jahan, S.; Strezov, V.; Weldekidan, H.; Kumar, R.; Kanm, T.; Sarkodie, S.A.; He, J.; Dastjerdi, B.; Wilson, S.P. Interrelationship of microplastic pollution in sediments and oysters in a seaport environment of the eastern coast of Australia. Sci. Total Environ. 2019, 695, 133924. [Google Scholar] [CrossRef] [PubMed]
- Loring, D.H.; Rantala, R.T.T. Manual for the geochemical analyses of marine sediments and suspended particulate matter. Earth Sci. Rev. 1992, 32, 235–283. [Google Scholar] [CrossRef]
- Chinfak, N.; Sompongchaiyakul, P.; Charoenpong, C.; Shi, H.; Yeemin, T.; Zhang, J. Abundance, Composition, and Fate of Microplastics in Water, Sediment, and Shellfish in the Tapi-Phumduang River System and Bandon Bay, Thailand. Sci. Total Environ. 2021, 781, 146700. [Google Scholar] [CrossRef] [PubMed]
- Wang, Y.; Zou, X.; Peng, C.; Qiao, S.; Wang, T.; Yu, W.; Khokiattiwong, S.; Kornkanitnan, N. Occurrence and Distribution of Microplastics in Surface Sediments from the Gulf of Thailand. Mar. Pollut. Bull. 2020, 152, 110916. [Google Scholar] [CrossRef] [PubMed]
- Jiwarungrueangkul, T.; Phaksopa, J.; Sompongchaiyakul, P.; Tipmanee, D. Seasonal Microplastic Variations in Estuarine Sediments from Urban Canal on the West Coast of Thailand: A Case Study in Phuket Province. Mar. Pollut. Bull. 2021, 168, 112452. [Google Scholar] [CrossRef]
- De Witte, B.; Devriese, L.; Bekaert, K.; Hoffman, S.; Vandermeersch, G.; Cooreman, K.; Robbens, J. Quality assessment of the blue mussel (Mytilus edulis): Comparison between commercial and wild types. Mar. Pollut. Bull. 2014, 85, 146–155. [Google Scholar] [CrossRef] [PubMed]
- Hidalgo-Ruz, V.; Gutow, L.; Thompson, R.C.; Thiel, M. Microplastics in the marine environment: A Review of the methods used for identification and quantification. Environ. Sci. Technol. 2012, 46, 3060–3075. [Google Scholar] [CrossRef]
- Naji, A.; Esmaili, Z.; Khan, F.R. Plastic debris and microplastics along the beaches of the Strait of Hormuz, Persian Gulf. Mar. Pollut. Bull. 2017, 114, 1057–1062. [Google Scholar] [CrossRef]
- Li, R.; Zhang, L.; Xue, B.; Wang, Y. Abundance and characteristics of microplastics in the mangrove sediment of the semi-enclosed Maowei Sea of the south China sea: New implications for location, rhizosphere, and sediment compositions. Environ. Pollut. 2019, 244, 685–692. [Google Scholar] [CrossRef] [PubMed]
- Zuo, L.; Sun, Y.; Li, H.; Hu, Y.; Lin, L.; Peng, J.; Xu, X. Microplastics in mangrove sediments of the Pearl River Estuary, South China: Correlation with halogenated flame retardants’levels. Sci. Total Environ. 2020, 725, 138344. [Google Scholar] [CrossRef]
- Deng, J.; Guo, P.; Zhang, X.; Su, H.; Zhang, Y.; Wu, Y.; Li, Y. Microplastics and accumulated heavy metals in restored mangrove wetland surface sediments at Jinjiang Estuary (Fujian, China). Mar. Pollut. Bull. 2020, 159, 111482. [Google Scholar] [CrossRef] [PubMed]
- Huang, Y.; Xiao, X.; Effiong, K.; Xu, C.; Su, Z.; Hu, J.; Jiao, S.; Holmer, M. New Insights into the Microplastic Enrichment in the Blue Carbon Ecosystem: Evidence from Seagrass Meadows and Mangrove Forests in Coastal South China Sea. Environ. Sci. Technol. 2021, 55, 4804–4812. [Google Scholar] [CrossRef]
- Zamprogno, G.C.; Caniçali, F.B.; Cozer, C.D.R.; Otegui, M.B.P.; Graceli, J.B.; da Costa, M.B. Spatial distribution of microplastics in the superficial sediment of a mangrove in Southeast Brazil: A comparison between fringe and basin. Sci. Total Environ. 2021, 784, 146963. [Google Scholar] [CrossRef] [PubMed]
- Hashim, A.M.; Catherine, S.M.P. A laboratory study on wave reduction by mangrove forest. APCBEE Procedia 2013, 5, 27–32. [Google Scholar] [CrossRef] [Green Version]
- Jualaong, S.; Pransilpa, M.; Pradit, S.; Towatana, P. Type and Distribution of microplastics in beach sediment along the coast of the Eastern Gulf of Thailand. J. Mar. Sci. Eng. 2021, 9, 1405. [Google Scholar] [CrossRef]
- Li, N. Study on Preparation Process and Properties of Polyethylene Terephthalate (PET). Appl. Mech. Mater. 2013, 312, 406–410. [Google Scholar]
- Jang, Y.C.; Lee, J.; Hong, S.; Lee, J.S.; Shim, W.J.; Song, Y.K. Sources of plastic marine debris on beaches of Korea: More from the ocean than the land. Ocean Sci. J. 2014, 49, 151–162. [Google Scholar] [CrossRef]









| Station | Zone | Latitude N | Longitude | Sediment Depth (cm) |
|---|---|---|---|---|
| SK1 | Inside | 7.1996945 | 100.5773295 | 42 |
| SK2 | Inside | 7.2006720 | 100.5770522 | 38 |
| SK3 | Inside | 7.2009051 | 100.5776506 | 34 |
| SK4 | Inside | 7.2011649 | 100.5783487 | 34 |
| SK5 | Inside | 7.2002687 | 100.5786262 | 30 |
| SK6 | Inside | 7.2020615 | 100.5779352 | 18 |
| SK7 | Outside | 7.2004212 | 100.5789980 | 26 |
| SK8 | Outside | 7.2018703 | 100.5783058 | 34 |
| PN1 | Inside | 6.8836973 | 101.2318894 | 18 |
| PN2 | Inside | 6.8842695 | 101.2312951 | 26 |
| PN3 | Inside | 6.8845326 | 101.2310883 | 26 |
| PN4 | Outside | 6.8845442 | 101.2305366 | 38 |
| PN5 | Outside | 6.8849661 | 101.2311807 | 30 |
| Locations | Size (mm) | Abundance of MPs (Items/kg d.w) | Dominate Shape | Polymer Types | Color | Ref. |
|---|---|---|---|---|---|---|
| Singapore’s coastline, Singapore | - | 12.0 ± 8.0–62.7 ± 27.2 | fiber (72.0%) | PP, PVC, Nylon | transparent, blue and red | [32] |
| films (23.3%) | ||||||
| Muara Angke Wildlife Reserve, Indonesia | 0.2–4.8 | 28.1 ± 10.3 | foam (13.3%) | PS (44.6%) | - | [31] |
| PP (29.2%) | ||||||
| fragment (10.1%) | PE (15.4%) | |||||
| Persian Gulf, Iran | <5.0 | 1258 ± 291 | fiber (83%) | PE, Nylon, PET | red, blue and transparent | [50] |
| film (11%) | ||||||
| fragment (6%) | ||||||
| Qinzhou Bay, China | 0.16–5.0 | 15–12,852 | fragment (94%) | PS (>98%), PP, PE | white (98%), transparent (1%), yellow, green, red, and blue (<1%) | [34] |
| fiber (0.5%) | ||||||
| sphere (5.2%) | ||||||
| Maowei Sea, China | <5.0 | 520 ± 8–2310 ± 29 | fragment | PP (47.5–79.2%) | white (64.6%) | [51] |
| PE (2.5–42.5%) | transparent (20.3%) | |||||
| PS (1.8–12.8%) | ||||||
| Pearl River Estuary, China | <5.0 | 100–7900 | fiber (70%) | PP, PE, PET, PS copolymer, LDPE, Cellophane | green (28.3–47.6%) | [52] |
| fragment (28–29%) | black (21.2–43.1%) | |||||
| Jinjiang Estuary, China | 0.03–5.0 | 980 ± 254.6–2340 ± 198 | fiber (68.6%) | PET, PE, PP | transparent (47.7%), white (25.3%), blue (15.3%) | [53] |
| film (15.3%) | ||||||
| particle (12.4%) | red, black and yellow(11.7%) | |||||
| fragment (15.3%) | ||||||
| Guangxi, Coastal South China Sea | <5.0 | 17.7 ± 8.1–611.8 ± 81.5 | fiber (74.7%) | PE, PP, PS Polyamide | blue (26.7%), black (22.3%) | [54] |
| fragment (14.9%) | ||||||
| the pellet (1.8%) | transparent (17.5%), purple (3.4%) | |||||
| foam (4.2%) | ||||||
| Southeast Brazil | <5.0 | 3080 | filament (88.7%) | - | blue (54%), transparent (21%) | [55] |
| fragment (11.3%) | black (10%), red and green (6%), yellow and white (1%) | |||||
| Thailand: Songkhla lagoon (SK) and Pattani (PN) coastal area | <5.0 | 108–180 (PN) 106–413 (SK) | fiber fragmentttani coastal areap organism. (n the inner lagoon. al rangeurnal tide with a low tidal range of 0.6 m atteh inlet | PE, rayon, rubber, styrene, paint, and poly (vinyl acetate) | white, yellow, pink, silver, purple, red, green, black, dark blue, light blue, and transparent | This work |
Publisher’s Note: MDPI stays neutral with regard to jurisdictional claims in published maps and institutional affiliations. |
© 2022 by the authors. Licensee MDPI, Basel, Switzerland. This article is an open access article distributed under the terms and conditions of the Creative Commons Attribution (CC BY) license (https://creativecommons.org/licenses/by/4.0/).
Share and Cite
Pradit, S.; Noppradit, P.; Loh, P.-S.; Nitiratsuwan, T.; Le, T.P.Q.; Oeurng, C.; Mohamed, C.A.R.; Lee, C.W.; Lu, X.; Anshari, G.Z.; et al. The Occurrence of Microplastics in Sediment Cores from Two Mangrove Areas in Southern Thailand. J. Mar. Sci. Eng. 2022, 10, 418. https://doi.org/10.3390/jmse10030418
Pradit S, Noppradit P, Loh P-S, Nitiratsuwan T, Le TPQ, Oeurng C, Mohamed CAR, Lee CW, Lu X, Anshari GZ, et al. The Occurrence of Microplastics in Sediment Cores from Two Mangrove Areas in Southern Thailand. Journal of Marine Science and Engineering. 2022; 10(3):418. https://doi.org/10.3390/jmse10030418
Chicago/Turabian StylePradit, Siriporn, Prakrit Noppradit, Pei-Sun Loh, Thongchai Nitiratsuwan, Thi Phuong Quynh Le, Chantha Oeurng, Che Abd Rahim Mohamed, Choon Weng Lee, Xixi Lu, Gusti Z. Anshari, and et al. 2022. "The Occurrence of Microplastics in Sediment Cores from Two Mangrove Areas in Southern Thailand" Journal of Marine Science and Engineering 10, no. 3: 418. https://doi.org/10.3390/jmse10030418
APA StylePradit, S., Noppradit, P., Loh, P.-S., Nitiratsuwan, T., Le, T. P. Q., Oeurng, C., Mohamed, C. A. R., Lee, C. W., Lu, X., Anshari, G. Z., Kandasamy, S., & Wang, J. (2022). The Occurrence of Microplastics in Sediment Cores from Two Mangrove Areas in Southern Thailand. Journal of Marine Science and Engineering, 10(3), 418. https://doi.org/10.3390/jmse10030418

